Министерство образования и науки Российской Федерации
Федеральное агентство по образованию
ГОУ ВПО Рыбинская государственная авиационная технологическая
академия им. П.А. Соловьева
КАФЕДРА ОБЩЕЙ И ТЕХНИЧЕСКОЙ ФИЗИКИ
на заседании методического
семинара кафедры ОиТФ
« » _________ 2007 г.
Зав.каф. Пиралишвили Ш.А.
ЛАБОРАТОРНАЯ РАБОТА № ВМ – 3
ОПРЕДЕЛЕНИЕ КОНЦЕНТРАЦИИ РАСТВОРОВ
С ПОМОЩЬЮ КРУГОВОГО ПОЛЯРИМЕТРА
|
Нормоконтроль |
Автор: к. т. н., доцент Суворова З. В. |
|
|
|
|
____________ |
___________________ |
|
|
|
|
|
Рецензент: к. ф–м. н., доцент Шалагина Е.В. |
|
|
___________________ |
ТРЕБОВАНИЯ ПО ТЕХНИКЕ БЕЗОПАСНОСТИ
Прибор имеет подключение к электрической сети. Соблюдайте формы электробезопасности и требования инструкции №170 по технике безопасности. Не включайте прибор в сеть, пока не ознакомитесь с его конструкцией и основными требованиями к работе с ним.
ЦЕЛЬ РАБОТЫ: исследование процесса поляризации света при прохождении его через растворы, определение концентрации оптически активного раствора по величине угла поворота плоскости поляризации.
ПРИБОРЫ И ОБОРУДОВАНИЕ: круговой поляриметр типа СМ-1, кюветы с исследуемыми растворами, осветитель.
Свет представляет собой сложное явления: в одних случаях он ведет себя как электромагнитная волна, в других – как поток особых частиц – фотонов. Волновая оптика рассматривает круг явлений, объясняемых волновой природой света.
В
электромагнитной волне колеблются два
вектора
и
,
причем физиологическое, фотохимическое,
фотоэлектрическое и другие действия
света обусловлены колебаниями
электрического вектора
.
Его называют световым вектором.
Модуль амплитуды светового вектора
обозначается, как правило, буквой
(иногда
).
Соответственно изменение во времени и
пространстве проекции светового вектора
на направление, вдоль которого он
колеблется, будет описываться уравнением
Рис.1
Рис. 1.

.
(1)
Здесь
– волновое число,
– расстояние, отсчитываемое вдоль
направления распространения световой
волны. Для плоской волны, распространяющейся
в непоглощающей среде,
,
для сферической волны
убывает как
,
и т. д.
Несмотря на то, что световые волны
поперечны, они обычно не обнаруживают
асимметрии относительно луча. Это
обусловлено тем,
что в естественном
свете (т. е. свете, испускаемом обычными
источниками) имеются колебания,
совершающиеся в самых
различных направлениях, перпендикулярных
к лучу (рис.1).
Излучение
светящегося тела слагается из волн,
испускаемых его
атомами. Процесс излучения отдельного
атома продолжается около
с. За это время успевает образоваться
последовательность
горбов и впадин ( цуг волн) протяженностью
примерно 3 м. «Погаснув», атом через
некоторое время «вспыхивает» вновь.
Одновременно
«вспыхивает» много атомов. Возбужденные
ими цуги волн, налагаясь друг на
друга, образуют испускаемую телом
световую
волну. Плоскость колебаний для каждого
цуга ориентирована случайным образом.
Поэтому в результирующей волне колебания
различных направлений представлены
с равной вероятностью.
Свет, в котором
направления колебаний упорядочены
каким-либо образом, называется
поляризованным.
Если колебания светового вектора
происходят только
в одной проходящей через луч плоскости,
свет называется плоско-
(или линейно) поляризованным.
Упорядоченность
может заключаться в том, что вектор
поворачивается
вокруг луча,
одновременно
пульсируя по величине. В результате
конец вектора
описывает эллипс. Такой свет называется
эллиптически-поляризованным. Если конец
вектора
описывает
окружность, свет называется поляризованным
по кругу.
Рассмотрим два взаимно перпендикулярных электрических колебания, совершающихся вдоль осей X и Y, и отличающихся по фазе на :
.
Результирующая
напряженность
,
угол
между векторами
и
(рис.1)
определяется выражением
![]()
Если
разность фаз
претерпевает
случайные хаотические изменения, то
угол ,
а значит, и направление вектора
,
будет испытывать скачкообразные
неупорядоченные изменения. В этом случае
естественный свет можно представить
как наложение двух некогерентных
электромагнитных волн, поляризованных
во взаимно перпендикулярных плоскостях
и имеющих одинаковую интенсивность.
Будем считать световые волны когерентными,
и
= 0
или
= .
Тогда
,
и
результирующее
колебание совершается в фиксированном
направлении – волна оказывается
плоскополяризованной.
Если
и
,
тогда
– плоскость
колебаний
поворачивается вокруг направления луча
с угловой скоростью, равной частоте
колебаний .
Свет
оказывается поляризованным по кругу.
В
случае произвольного значения
свет оказывается эллиптически
поляризованным, конец вектора
движется по эллипсу.
В
зависимости от направления вращения
вектора
различают правую и левую эллиптическую
и круговую поляризации. Если по отношению
к направлению, противоположному
направлению распространения луча,
вектор
вращается по часовой стрелке, поляризация
называется правой, в противном случае
– левой.
Плоскость, в которой колеблется световой вектор в плоскополяризованной волне, называют плоскостью колебаний. Перпендикулярная к ней плоскость называется плоскостью поляризации.
Плоскополяризованный свет можно получить из естественного с помощью поляризаторов. Это приборы, которые свободно пропускают колебания, параллельные плоскости поляризатора, и полностью или частично задерживают колебания, перпендикулярные его плоскости. Поляризатор, частично задерживающий перпендикулярные к его плоскости колебания, называют несовершенным. При выходе из такого поляризатора колебания одного направления преобладают над колебаниями других направлений в световой волне. Такой свет называют частично поляризованным.
Если
частично поляризованный свет пропустить
через поляризатор и поворачивать прибор
вокруг луча на угол
,
интенсивность прошедшего света будет
меняться от
до
.
Степень поляризации света
![]()
Рис.
2.
плоскость поляризатора

,
для естественного света
![]()
Колебания
амплитуды А,
совершающиеся
в плоскости, образующей с плоскостью
поляризатора угол ,
можно разложить на два колебания с
амплитудами
и
(рис.2). Первое колебание пройдет через
прибор, второе будет задержано.
Интенсивность прошедшей волны
пропорциональна
,
т.е.
,
колебание, параллельное плоскости
поляризатора, несет долю интенсивности
.
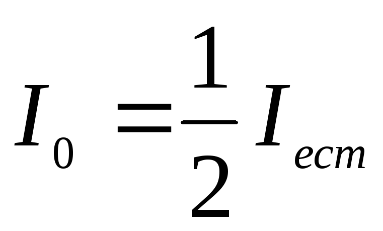
В естественном свете все значения
равновероятны, поэтому доля света,
прошедшего через поляризатор, равна
среднему значению
,
т.е.1/2. При вращении поляризатора вокруг
направления естественного луча
интенсивность прошедшего света остается
одной и той же, изменяется лишь ориентация
плоскости колебаний света, выходящего
из прибора.
Рис.
3.
плоскость поляризатораааааааа

и интенсивности
(рис.3). Сквозь прибор пройдет составляющая
колебания с амплитудой
,
где
– угол между плоскостью колебаний
падающего света и плоскостью поляризатора.
Тогда интенсивность прошедшего света
(1)
Это закон Малюса.
Если
на пути естественного луча поставить
два поляризатора, плоскости которых
образуют угол ,
то из первого поляризатора выйдет
плоскополяризованный свет с интенсивностью
,
где
– интенсивность естественного света,
а из второго поляризатора выйдет свет
с интенсивностью
,
и интенсивность света, прошедшего через
оба поляризатора, равна
![]()
Рис.
4

получается при
(плоскости поляризаторов параллельны),
минимальная интенсивность равна нулю
при
– скрещенные поляризаторы не пропускают.
Е
сли
на поляризатор падает эллиптически
поляризованный свет, поляризатор
пропускает составляющую
вектора
(рис.4). Максимальное значение этой
составляющей достигается в точках 1 и
2, и амплитуда вышедшего из прибора
плоскополяризованного света равна
длине отрезка 01`. При вращении поляризатора
вокруг направления луча интенсивность
меняется в пределах от
(при
совпадении плоскости поляризатора с
большой полуосью эллипса) до
(при совпадении плоскости поляризатора
с малой полуосью эллипса). Такой же
характер изменения интенсивности при
вращении поляризатора получается и в
случае частично поляризованного света.
Устройства, служащие для преобразования естественного света в линейно-поляризованный, называется поляризаторами.
Устройства,
служащие для анализа степени поляризации
света называются анализаторами.
Всякий анализатор можно условно
изобразить в виде решетки, прутья которой
параллельны направлению колебаний
вектора
a
проходяшего сквозь неё света.
Рис.
5