
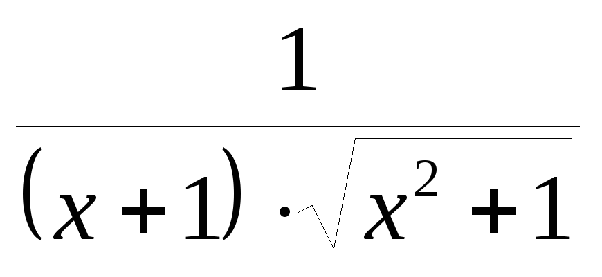
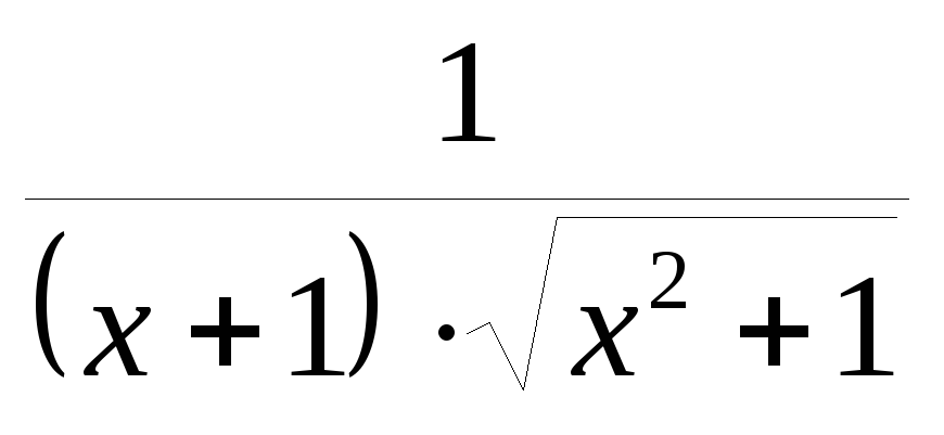
Завдання № 5
Обчислити похідну функції по х, використовуючи команду diff|. Вибрати функцію згідно своєму варіанту з табл.
|
Варіант |
Функція для знаходження похідної |
|
|
|
|
|
|
|
|
|
|
|
|
|
|
|
|
|
|
|
|
|
|
|
|
|
|
|
|
|
|
|
|
|
|
|
|
|
|
|
|
|
|
|
|
|
|
|
|
Завдання 6
Використовуючи функцію int підготувати і організувати обчислення певного інтеграла:
Підінтегральна функція f(х) визначена і безперервна на інтервалі а <= х <= b. Вид підінтегральної функції f(х), а також інтервал інтеграції [а b] визначається номером варіанту з табл.
|
Варіант |
Функція для знаходження похідної |
Межі інтегруванння |
|
|
a |
b |
||
|
|
|
1 |
3.5 |
|
|
|
1 |
4 |
|
|
|
0 |
1 |
|
|
|
0 |
2 |
|
|
|
1 |
2.5 |
|
|
|
0 |
3 |
|
|
|
1 |
3 |
|
|
|
1 |
2 |
|
|
|
0 |
2 |
|
|
|
0 |
1.5 |
|
|
|
1 |
1.5 |
|
|
|
0 |
0.75 |
|
|
|
0 |
1 |
|
|
|
1 |
2 |
|
|
|
|
2 |
|
|
|
2 |
3 |
Перерахуєте пакети розширення MATLAB.
Як отримати довідку по командах пакету.
Яка функція використовується для створення символьних змінних і служить для звернення до стандартних функцій?
Яка команда використовується для вирішення рівнянь алгебри?
Яка команда використовується для спрощення виразів алгебри?
Яка команда використовується для обчислення сум рядів?
Що необхідно зробити для обчислення похідної функції?
Перерахуєте функції, службовці для обчислення інтегралів в символьному вигляді.