Лабораторна робота № 3
Тема: Символьні обчислення в MATLAB|
Мета роботи: знайомство з основними положеннями пакету символьних обчислень Symbolic| Matli| Toolbox|; робота з символьними змінними, матрицями, математичними виразами; освоєння символьних аналітичних обчислень - спрощення виразів. вирішення рівнянь алгебри, вирішення системи лінійних рівнянь, обчислення суми ряду; освоєння символьної інтеграції і символьного диференціювання; отримання практичних навиків роботи в діалоговому режимі.
ТЕОРЕТИЧНИЙ МАТЕРІАЛ
В даний час існують десятки офіційно поширюваних пакетів розширення Матlав. які проводяться як фірмою The| Math-|Works| Inc-| виробником даного продукту, так і сторонніми виробниками програмного забезпечення, серед яких пакети:
Partial| Differential| Equation| Toolbox| (пакет для вирішення диференціальних рівнянь в приватних похідних, залежних від двох змінних):
Statistic| Toolbox| (вирішення завдань статистики):
Femlab| Toolbox| (вирішення тривимірних рівнянь математичної фізики):
Image| Processing| Toolbox| (вирішення завдань обробки зображень);
Fuzzy| Logic| Toolbox| (вирішення завдань методами нечіткої логіки):
Wavelet| Toolbox| (вирішення завдань обробки сигналів і зображень методом вэйвлет-претворень|);
Simulink| (пакет для моделювання динамічних систем) та ін.;
Symbolic| Math| Toolbox| призначений для виконання символьних обчислень;
Пакет Symbolic| Math| Toolbox| розроблений фірмою Waterloo| Maple| Software|. Канада:
Для отримання довідки по командах пакету Symbolic| Math| Toolbox| (рис.1) слід відкрити відповідний розділ Help|, або отримати допомогу по команді:
Help| <ім'я команди>

Мал. 1. Вікно допомоги в режимі перегляду інформації про функцію
2. Символьні обчислення в пакеті MATLAB|
Для створення символьних змінних використовується функція sym|, у якої наступний синтаксис:
ім'я змінної = sym|(' ім'я змінної’)
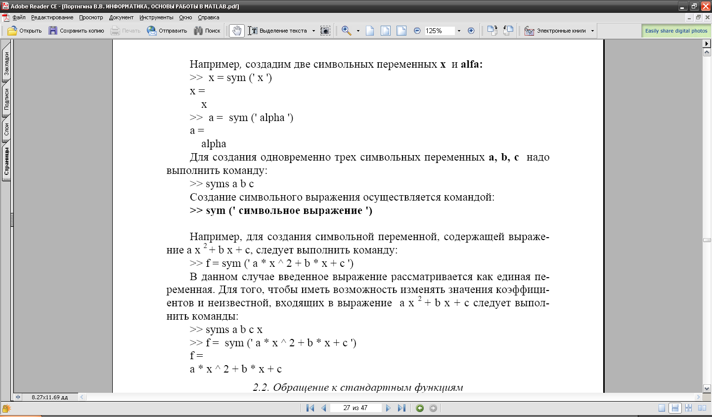
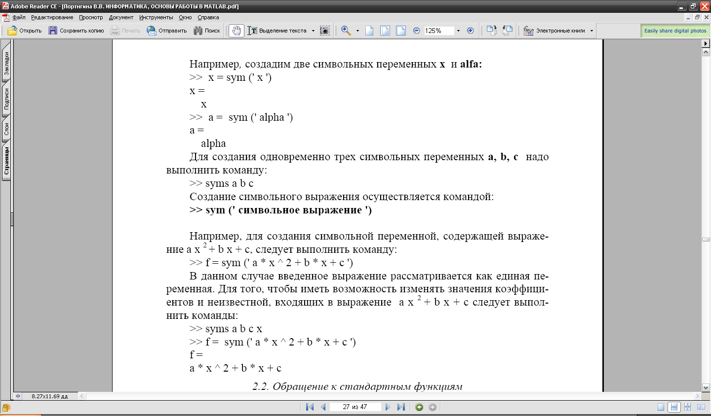
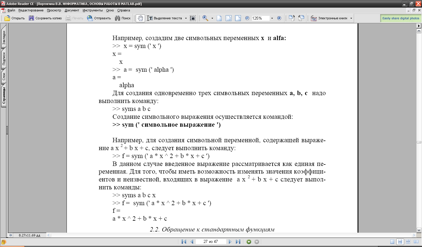
Наприклад, створимо дві символьних змінних х і alfa|:

Для створення одночасно трьох символьних змінних а, b, с треба виконати кохманду|:
>> syms| a b c
Створення символьного виразу здійснюється командою:
>> syms| (‘Символьний вираз’)
Наприклад,
для створення символьної змінної, що
містить вираз
слід виконати команду:
![]()
В даному
випадку введений вираз розглядається
як єдина змінна. Для того, щоб мати
можливість змінювати значення коефіцієнтів
і невідомою, що входять у вираз
слід
виконати команди:

2.2. Звернення до стандартних функцій
За допомогою функції sym| можна звертатися до стандартних функцій пакету MATLAB|. Наприклад, створимо функцію, що повертає значення факторіалу числа:
![]()
Для обчислення 6! або і ! треба виконати команди:

2.3. Створення символьної матриці
Для створення символьної матриці необхідно створити символьні змінні, матриці, що є елементами, і потім створити матрицю, явно задавши її рядки і стовпці.
![]()

Далі із створеною символьною матрицею можна виконувати різні арифметичні операції.
2.4. Вирішення алгебри рівнянні
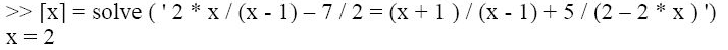
Для вирішення рівнянь алгебри використовується команда solve|
Приклад 1
Вирішити
рівняння:
![]()
![]()
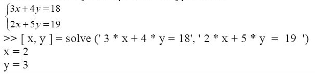
2.5. Вирішення системи рівнянь алгебри
Для вирішення системи рівнянь алгебри використовується команда solve|
Приклад 2
Вирішити систему рівнянь алгебри:

. Спрощення виразу алгебри
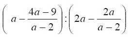
Для спрощення виразів використовується команда simplify|.
Приклад 3
Спростити
вираз
>> syms| x % описуємо| символьну змінну|
>> p=|(a-|(4*a-9))/(a-2|)/(2*a-2*a/(a-2|)) % задаємо| символьний| вираз|
>> simplify| (p)
ans| =
-3 / 2 / а
2.7. Обчислення сум рядів
Для вирішення рівнянь алгебри використовується команда symsum|.
Приклад 4
Обчислити
суму ряду
![]()
>> syms| х k
>> s = symsum| (1 / k ^ 4, l, inf|)
s =
1 / 90 * pi| ^ 4
Приклад 5
Обчислити
суму ряду
![]()
>> syms| x k
>> s = symsum|( l /k^4,1,l, 10)
s =
43635917056897/40327580160000
2.8. Символьне диференціювання
Для обчислення похідної функції f ( х ) необхідно:
- задати вираз, що описує функцію;
- звернутися до функції diff|.
Приклад 6
Обчислити похідну функції sin| (ах) по змінній х.
>> sym| а x % описуємо символьні змінні
>> у = sin| (а * х) % задаємо функцію, що диференціюється
>> diff| (у) % обчислюємо похідну в символьному вигляді
ans| =
cos| (а * х) * а
Приклад 7
Обчислити похідну функції sin| (ах)по параметру а.
>> sym| а у n % описуємо символьні змінні
>> у = x ^ n % задаємо функцію, що диференціюється
>> diff| (у, x) % обчислюємо похідну в символьному вигляді
ans| =
х ^ n*n| / x
Приклад 8
Обчислити
похідну функції
![]()
>> sym| х у n % описуємо символьні змінні
>>
у = x ^ n
% задаємо функцію
![]()
>>
diff|
(у. х) % обчислюємо похідну функції
у символьному вигляді
ans| =
x ^ n*n| / x
Дня обчислення інтегралів в символьному вигляді використовується функція int|. що має наступний синтаксис:
int| (f)
int| (f [u])
int| (f [u , а, b 1)
де f - символьна підінтегральна функція, необов'язкові змінні:
u — змінна інтеграції.
а - нижня межа інтеграції.
b - верхня межа інтеграції.
Продемонструємо прийоми обчислення інтегралів в MATLAB| на наступних прикладах:
Приклад 9
Обчислити інтеграл:
>> syms| а b с % задаємо символьні змінні
>> int| (1 / а ^ 2 + ( b * х) ^ 2) % обчислюємо інтеграл в символьному вигляді
ans| =
1 / а / b*| atan|(b * х / а)
Приклад 10
Обчислити інтеграл
>> syms| а b с % задаємо символьні змінні
>> int| (1 / а ^ 2 - (b * х) ^ 2, 0, а / b) % обчислюємо інтеграл в символьному вигляді
ans| =
l / 4*pi| / а / b
Ознайомитися з теоретичним матеріалом і відповісти на запитання.
Організувати введення даних і обчислення в інтерактивному режимі згідно завдання.
Оформити звіт лабораторної роботи|.
Відкрити вікно програми MATLAB|.
Виконати завдання згідно вказівкам, використовуючи у разі потреби help| програми MATLAB|.
Завдання № 1
Вирішити рівняння алгебри, використовуючи команду solve|:
![]()
![]()
![]()
![]()
![]()
![]()
![]()
![]()
![]()
![]()
![]()
![]()
![]()
![]()
![]()
![]()
Завдання № 2
Вирішити систему рівнянь алгебри, використовуючи команду solve|. Вибрати рівняння згідно своєму варіанту з табл.


Завдання № 3
Спростити вирази, використовуючи команду simplify|:
![]()
![]()
![]()
![]()
![]()
![]()
![]()
![]()
![]()
![]()
![]()
![]()
![]()
![]()
![]()
![]()
![]()
Завдання № 4
Обчислити суму ряду, використовуючи команду symsum|. Вибрати рівняння згідно своєму варіанту з табл.

