Материал: Лаба №1 Проводниковые материалы

Внимание! Если размещение файла нарушает Ваши авторские права, то обязательно сообщите нам

НИЖЕГОРОДСКИЙ ГОСУДАРСТВЕННЫЙ ТЕХНИЧЕСКИЙ УНИВЕРСИТЕТ им. Р.Е. Алексеева

Кафедра «Промышленная электроника»

ЛАБОРАТОРНАЯ РАБОТА:

«Исследование проводниковых материалов»

Работу выполнили: подгруппа 2

группа 19-э-5

Работу принял: Охулков С.Н.

Нижний Новгород

2020 г.

Содержание работы

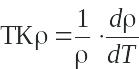
1. Определение зависимостей удельного электрического сопротивления и его температурного коэффициента проводниковых материалов от температуры.

2. Определение зависимостей удельного электрического сопротивления и его температурного коэффициента медно-никелевых сплавов от состава.

Описание лабораторной установки

Лабораторная установка состоит из измерительного блока и персонального компьютера (ПК).

Измерительный блок содержит термостат с установленными образцами (медь, никель, нихром, константан) и схему измерительных преобразователей. Индикатор термостата включается в режиме измерения температурных зависимостей сопротивления. Нагрев осуществляется в импульсном режиме с интервалом 1-2 секунды.

В ПК поступает информация о сопротивлениях всех четырех образцов. Программное обеспечение лабораторной установки осуществляет построение зависимости сопротивлений от температуры и расчет параметров материалов.

Теоретическая часть

1. Константан

Константантермостабильный электротехнический медно-никелевый сплав, состоящий из следующих элементов: никель (Ni), марганец (Mn), медь (Cu). Хорошо поддается обработке. Используется для изготовления термопар, реостатов и электронагревательных элементов с рабочей температурой до 400-500 °C, измерительных приборов. Впервые получен американским изобретателем Эдвардом Вестоном в 1888 году как материал для катушек электроизмерительных приборов, сопротивление которого не зависит от температуры. Изобретатель назвал его «Сплав № 2», но германские производители, у которых он разместил заказ на производство проволоки из нового материала, дали ему собственное наименование «Константан», под которым он получил известность.

Состав: Cu – 59%

Ni – 39-41%

Mn – 1-2%

Свойства:

  1. Высокое удельное электрическое сопротивление (около 0,5 мкОм·м);

  2. Минимальное значение температурного коэффициента электрического сопротивления;

  3. Высокую термоэлектродвижущую силу в паре с медью, железом, хромелем;

  4. Коэффициент теплового расширения 14,4⋅10-6 °C-1;

  5. Температурный коэффициент электрического сопротивления, °C-1: от -0,02·10-4 до +0,06·10-3;

  6. Плотность 8800-8900 кг/м3;

  7. Температура плавления около 1260 °C;

  8. Хорошо поддаётся обработке;

  9. Твердость, НВ 75-90 (после отжига), 155 (твердость по Бринеллю);

  10. Не магнитен.

Константан выпускается под маркой МНМц 40-1,5.

Достоинства:

  1. Имеет высокое электрическое сопротивление;

  2. Имеет малое значение температурного коэффициента электрического сопротивления;

  3. Обладает высокой термо-ЭДС в паре с некоторыми металлами и сплавами;

  4. Обладает хорошими технологическими свойствами.

Недостатки:

  1. Имеет сравнительно низкую температуру плавления.

Виды продукции:

Основными видами продукции, которые выпускает промышленность, являются проволока, нить (проволока малых диаметров) и лента (полоса). Константановая проволока, нить, а также константановая лента или полоса используются для изготовления проволочных и ленточных нагревателей электрических печей, а также резистивных элементов. Нить и проволока также применяются в электротехнике и приборах для измерения температуры.

2. Медь

Медь в чистом виде имеет красный цвет; чем больше в ней примесей, тем грубее и темнее излом. Температура плавления меди 1083 °С, плотность — 8,92 г/см3.

Выпускают медь следующих марок:

  1. катодная — МВ4к, МООк, МОку, М1к;

  2. бескислородная — МООб, МОб, М1б;

  3. катодная переплавленная — М 1у;

  4. раскисленная — М1р, М2р, МЗр, М3.

Примеси оказывают существенное влияние на физико-механические характеристики меди. По содержанию примесей различают марки меди: МОО (99,99% Си), МО (99,95% Си), Ml (99,9% Си), М2 (99,7% Си), М3 (99,50% Си).

Главными достоинствами меди как машиностроительного материала являются высокие тепло- и электропроводность, пластичность, коррозионная стойкость в сочетании с достаточно высокими механическими свойствами. К недостаткам меди относят низкие литейные свойства и плохую обрабатываемость резанием.

Легирование меди осуществляется с целью придания сплаву требуемых механических, технологических, антифрикционных и других свойств. Химические элементы, используемые при легировании, обозначают в марках медных сплавов следующими индексами: А — алюминий; Внм — вольфрам; Ви — висмут; В — ванадий; Км — кадмий; Гл — галлий; Г — германий; Ж — железо; Зл — золото; К — кобальт; Кр — кремний; Мг — магний; Мц — марганец; М — медь; Мш — мышьяк; Н — никель; О — олово; С — свинец; Сн — селен; Ср — серебро; Су — сурьма; Ти — титан; Ф — фосфор; Ц — цинк.

Медные сплавы классифицируют:

  • по химическому составу на:

  1. латуни,

  2. бронзы,

  3. медно-никелевые сплавы;

  • по технологическому назначению на:

  1. деформируемые,

  2. литейные;

  • по изменению прочности после термической обработки на:

  1. упрочняемые,

  2. неупрочняемые.

3. Никель

Никель — высокопрочный пластичный металл серебристо-белого цвета. Был открыт в 1751 году шведским химиком Акселем Кронстедтом. В периодической системе Д. И. Менделеева имеет номер 28 и символ Ni, атомная масса равна 58,71. По мимо этого никель- твердый и вязкий металл с ферромагнитными свойствами. Он хорошо поддается сварке, ковке, штамповке и прокатке. Отличается устойчивостью в химически активных средах, в том числе в щелочах. В атмосферных условиях покрывается защитной оксидной пленкой и не окисляется даже при температуре 800 ⁰С.

Никель выпускается 5 марок: Н0 (99,99% Ni), Н1 (99,93% Ni), Н2 (99,8% Ni), Н3 (98,6% Ni), Н4 (97,6% Ni). Допускаются примеси C, Mg, Si, P, S, Mn, Fe, Bi, Cu, Zn, Cd, Sn, Pb, Co – содержанием не более 0,01%.

Никель выпускается в виде проволоки, листов, фольги, лент, полос,трубок. Широко применяется в производстве электровакуумных приборов в виде бесшовных трубок, полос, проволоки; для изготовления сеток маломощных приемоусилительных ламп, анодов генераторных ламп; для гальванического антикоррозийного покрытия железа, меди, латуни.

Проводниковые свойства никеля

  1. малая окисляемость на воздухе;

  2. антикоррозийность;

  3. хорошая обрабатываемость.

Свойства никеля

  1. Плотность, 103 кг/м3 8,9

  2. Температура плавления, °С 1452

  3. Удельное сопротивление, мкОм·м 0,068

  4. Температура плавления, ⁰С 1455

  5. Модуль упругости, ГПа 196−210

На основе никеля создано большое число ценных сплавов:

1. Жаропрочные: нимоник (59% никеля, остальное хром, кобальт и др.) инконель (73% никеля, остальное кобальт, железо и др.) нихром (60% никеля, остальное хром, железо и др.) алюмель (сплав никеля с алюминием, марганцем, кобальтом, кремнием);

2. Химически стойкие: монель (65% никеля, остальное медь и др.);

3. Магнитные: пермаллой (78,5% никеля + 21,5% железа) – для изготовления сердечников трансформаторов инвар (36% никеля + железо и др.) – практически не расширяется при повышении температуры до 100°С.

Сплавы для термопар

Для изготовления термопар применяются сплавы.

· Копель – 56 % Сu + 44 % Ni. В паре с медью применяется до 350 °С; с железом, хромелем до 600 °С.

· Константан - 60 % Сu + 40 % Ni. В паре с медью применяется до 350°С; с железом до 600 °С;

· Хромель – 90 % Ni + 10 % Сr. Дешевый сплав, в паре с алюмелем применяется до 900 – 1000 °С

· Алюмель – 95 % Ni + 5 % Аl. Дешевый сплав для температур до 900 – 1000 °С.

· Платинородий – 90 % Рt + 10 % Rh. Дорогой сплав, в паре с платиной применяется при температурах до 1600 °С.

4. Сплав рс-37-10

Сплав РС-3710 применяется: для изготовления методом вакуумно-термического нанесения термостабильных, тонкопленочных резистивных элементов и различных вспомогательных слоев изделий электронной техники; для получения резистивных слоев тонкопленочных изделий электронной техники общего и частного назначения методом взрывного испарения с вольфрамового испарителя.

Состав сплава (основные компоненты) сплава РС-3710, % по массе: Cr 36.5-39.5%, Ni 8-11%, Si - остальное.

ОСНОВНЫЕ ОБЛАСТИ ПРИМЕНЕНИЯ И МЕТОДЫ НАНЕСЕНИЯ СПЛАВА РС-3710

Для получения резистивных слоев тонкопленочных изделий электронной техники общего и частного назначения методом "взрывного" испарения с вольфрамового испарителя.

ФИЗИЧЕСКИЕ И ЭЛЕКТРИЧЕСКИЕ ПАРАМЕТРЫ СПЛАВА РС-3710 1. Массивные образцы

Температура плавления: 1250 С

Плотность:4.6-5.0 г/см3

Удельное электрическое сопротивление: (5-7)х10-4 Ом.см

Температурный коэффициент сопротивления (ТКС) в интервале температур 20-150 С: (15-25)*10-4 град-1.

2. Пленки, полученные методом "взрывного" вакуумного нанесения

Удельное поверхностное сопротивление: 0.05.0-2.0 кОм/квадрат

Толщина: 15-300 нм

Температурный коэффициент сопротивления (ТКС) в интервале температур от минус 60 до плюс 125 С: не более +/-2х10-4 град-1

Допустимая мощность рассеяния: не более 5 Вт/см2

Необратимое изменение сопротивления после 100 часов работы под нагрузкой постоянным током 1 Вт/см2, при окружающей температуре 85 С: не более 1%.

3. Пленки, полученные методом ионно-плазменного и магнетронного распыления мишеней из сплава рс-3710 согласно ето 032.547 ту

Удельное поверхностное сопротивление: 0.3-3.0 кОм/квадрат Температурный коэффициент сопротивления (ТКС) в интервале температур (25-125) С: не более -(3-0.8)х10-4 град-1

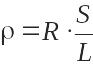
Образцы

№/№

Наименование

S, м*м

L, м

1

Медь

1,96E-09

10,55

2

Никель

1E-10

0,1175

3

PC-37-10

2,654E-09

0,05

4

Константан

1,13E-08

1,734