ФЕДЕРАЛЬНОЕ АГЕНСТВО ЖЕЛЕЗНОДОРОЖНОГО ТРАНСПОРТА
Федеральное государственное бюджетное образовательное учреждение
высшего образования
«Петербургский государственный университет путей сообщения
Императора Александра I»
(ФГБОУ ВО ПГУПС)
Факультет «Транспортное строительство»
Кафедра «Строительство дорог транспортного комплекса»
Специальность 23.05.06 «Строительство железных дорог, мостов и транспортных тоннелей»
Специализация «Строительство магистральных железных дорог»
П Р А К Т И Ч Е С К И Е Р А Б О Т Ы
по дисциплине
«Управление организационно- технологической надёжностью строительства»
на тему:
«Выбор оптимального комплекта машин»
«Оценка влияния неравномерности доставки строительных материалов на объект на производительность строительного процесса»
«Составление оптимального графика выполнения работ»
«Расчёт оптимального количества транспортных средств в системе экскаватор-самосвалы»
Расчёт производительности строительных процессов с учётом надёжности рабочих и техники»
«Повышение надёжности и срока службы ж. д. платформ»
«Разработка мероприятий по организационно-технологической надёжности реконструкции железнодорожной линии
Форма обучения – очная
Вариант:19
Выполнил обучающийся
Курс 5
Группа СЖД-305______________________ В.И. Шустрова
подпись, дата И.О.Ф.
Руководитель _______________________ Н.М. Панченко
подпись, дата И.О.Ф.
Санкт-Петербург
2017
Необходимо провести реконструкцию железной дороги, находящейся в Новосибирской области. Рассмотрим участок длиной 1000 метров от ПК 10+00,00 до 20+00,00.
Грунт
Новосибирской области относится ко ll
группе.
= 1,8 т/м3, Wопт=27%
Для проведения земляных работ используется 4 модуля землеройно-транспортных комплектов машин.
Принимаем для работ бульдозер Д3-18А:
|
Тип отвала |
- |
универсальный |
|
Заглубление отвала |
м |
0,35 |
|
Длина отвала |
м |
3,9; |
|
Высота отвала |
м |
1,0 |
|
Масса бульдозера |
т |
14 |
|
Марка базового трактора |
- |
Т-100м |
|
Мощность базового трактора |
кВт |
75 |
|
Габаритные размеры: Длина Ширина Высота |
м |
4,4 2,5 3,0 |
На рисунке 1 представлен продольный профиль и объемы работ участка, на котором следует произвести реконструкцию.
Из-за отсутствия пригодных грунтов поблизости, необходимый грунт привозится из карьера, который находится на расстоянии 2,7 км, от участка производства работ. Грунт в карьере разрабатывают 4 бульдозерами. Объем выполняемых работ V= 517 м3.

Рисунок 1 – Продольный план профиля
Состав машин: 4 бульдозера, 2 рыхлителя, 2 катка.
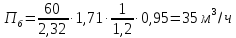
Производительность бульдозера определим по формуле:
, (1)
Где
= t1+ t2+
t3+ t4
+t5 +t6
t1- время перемещения грунта отвалом;
t2- время подъема отвала в транспортное положение;
t3- время на переключение передач и поворота в конце обратного хода;
t4- время порожнего хода;
t5-время на переключение передач и поворота в конце обратного хода;
t6- время на опускание отвала в рабочее положение.
;
=3-5
км/ч
=
1c
=
3c
;
=20
км/ч
,
м3
=2,4
м
=1,2
м
=45-50
=0,92-0,98
,


=
t1+ t2+
t3+ t4
+t5 +t6=108+1+3+27
+3+1=143 с= 2,38 мин


Производительность катка:
, (2)
где
- толщина уплотняемого слоя грунта, м;
-ширина
полосы уплотнения, м;
-
ширина полосы перекрытия, м;
=0,1-0,15
м;
– средняя
рабочая скорость механизма, км/ч;
=3-4
км/ч;
-продолжительность
смены, ч;
=
2 ч;
-
коэффициент использования сменного
времени;
=0,7-0,8;
-
число проходок по одному месту;
=
2;
Толщина уплотняемого слоя грунта h для кулачковых катков определяется по формуле:
h=0,7(l+2,5b – hр)
где
l- длина кулачка, м; l=0,3 м
b-минимальный размер опорной поверхности кулачка, м; b=0,1-0,2 м
hр- глубина разрыхления уплотненного слоя грунта; hр=0,05 м
h=0,7(0,3+2,5 0,1 – 0,05)= 0,35 м

Исходные данные:
|
Рт |
0,75 |
|
|
Рч |
0,95 |
|
|
Тсм |
500 |
дней |
|
Тде.ч |
250 |
дней |
|
tвосст.т |
3 |
смен |
|
tвосст.ч |
3 |
смен |
|
tотк.т |
3 |
смен |
|
tотк.ч |
3 |
смен |

Рисунок 2 – Модель для расчета
Производительность строительного процесса – количество доброкачественной строительной продукции, создаваемой процессом в единицу времени. Производительность является основным количественным показателем уровня технологического прогресса. Технология выполнения работ определяет структуру строительного процесса. Структура процесса может быть представлена в виде модели, на примере которой удобно проводить исследования и анализ самого процесса.
Вероятность отказа одной машины равна qT = 1-0,75 = 0,25.
Число отказов техники на исследуемом промежутке времени:

Интенсивность отказов техники на промежутке времени:
Т = nT / Tсм = 42/ 500 = 0,084
Интенсивность восстановления техники:
т = 1 / tвосст.т = 1/3 = 0,333
Вероятность отказа людей равна qч = 1-0,95 = 0,05.
Число отказов на исследуемом промежутке времени:

Интенсивность отказов техники на промежутке времени:
ч = nч / Tдн = 4 / 250 = 0,016
Интенсивность восстановления техники:
ч = 1 / tвосст.ч = 1/3 = 0,333

Рк = Ро * к / к
Определим производительность системы с учетом надежности элементов:
W = Ро* Фо + ∑ Рк* Фк
Где W – производительность системы в долях условной единицы
Фо – математическое ожидание фактической производительности системы, при условии, что все элементы находятся в работоспособном состоянии.
Фо = 1
Фк – математическое ожидание фактической производительности системы, при условии, что отказал к-й элемент.
Фк = 1 – 1/m
m – количество параллельно работающих элементов в системе.
Результаты вычислений приведены в таблице 1.
;

Таблица 1
|
К |
Рк |
Фк |
|
0 |
0,294 |
1 |
|
1 |
0,014 |
0,5 |
|
2 |
0,014 |
0,5 |
|
3 |
0,074 |
0,5 |
|
4 |
0,074 |
0,5 |
|
5 |
0,014 |
0,75 |
|
6 |
0,014 |
0,75 |
|
7 |
0,014 |
0,75 |
|
8 |
0,014 |
0,75 |
|
9 |
0,074 |
0,75 |
|
10 |
0,074 |
0,75 |
|
11 |
0,074 |
0,75 |
|
12 |
0,074 |
0,75 |
|
13 |
0,014 |
0 |
|
14 |
0,014 |
0 |
|
15 |
0,074 |
0 |
|
16 |
0,074 |
0 |
|
сумма |
1 |
|
Ро1
=
= 0,294
W1 =0,294*1+0,014*0,5*2+0,074*0,5*2+0,014*0,75*4+0,074*0,75*4=0,65
Вариант 2
|
Рт |
0,73 |
|
|
Рч |
0,93 |
|
|
Тсм |
500 |
дней |
|
Тде.ч |
250 |
дней |
|
tвосст.т |
3 |
смен |
|
tвосст.ч |
3 |
смен |
|
tотк.т |
3 |
смен |
|
tотк.ч |
3 |
смен |
Вероятность отказа одной машины равна qT = 1-0,73 = 0,27.
Число отказов техники на исследуемом промежутке времени:

Интенсивность отказов техники на промежутке времени:
Т = nT / Tсм = 45/ 500 = 0,09
Интенсивность восстановления техники:
т = 1 / tвосст.т = 1/3 = 0,333
Вероятность отказа людей равна qч = 1-0,93 = 0,07.
Число отказов на исследуемом промежутке времени:

Интенсивность отказов техники на промежутке времени:
ч = nч / Tдн = 5 / 250 = 0,02
Интенсивность восстановления техники:
ч = 1 / tвосст.ч = 1/3 = 0,333

Рк = Ро * к / к
Определим производительность системы с учетом надежности элементов:
W = Ро* Фо + ∑ Рк* Фк
Где W – производительность системы в долях условной единицы
Фо – математическое ожидание фактической производительности системы, при условии, что все элементы находятся в работоспособном состоянии.
Фо = 1
Фк – математическое ожидание фактической производительности системы, при условии, что отказал к-й элемент.
Фк = 1 – 1/m
m – количество параллельно работающих элементов в системе.
Результаты вычислений приведены в таблице 1.
;

Таблица 2
|
К |
Рк |
Фк |
|
0 |
0,275 |
1 |
|
1 |
0,016 |
0,5 |
|
2 |
0,016 |
0,5 |
|
3 |
0,074 |
0,5 |
|
4 |
0,074 |
0,5 |
|
5 |
0,016 |
0,75 |
|
6 |
0,016 |
0,75 |
|
7 |
0,016 |
0,75 |
|
8 |
0,016 |
0,75 |
|
9 |
0,074 |
0,75 |
|
10 |
0,074 |
0,75 |
|
11 |
0,074 |
0,75 |
|
12 |
0,074 |
0,75 |
|
13 |
0,016 |
0 |
|
14 |
0,016 |
0 |
|
15 |
0,074 |
0 |
|
16 |
0,074 |
0 |
|
сумма |
1 |
|