Материал: Кредит у ринковій економіці

Внимание! Если размещение файла нарушает Ваши авторские права, то обязательно сообщите нам

Важливо оволодіти позичковим процентом як знаряддям плати за кредит, його джерелами, навчитися розрізняти види процентних ставок і зрозуміти механізми дії тих факторів, які впливають на зміну ринкових ставок процента, навчитися розраховувати норму процента, ознайомитися з методикою нарахування процентів за кредитами:


де H - норма позичкового процента; Д - дохід, отриманий на позичений капітал; К - сума наданого кредиту.

Депозитна ставка на основі простих процентів розраховується так:


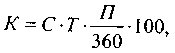
де К - розмір плати за користування коштами; С - сума депозиту чи кредиту; Т- термін користування грошима (у днях); П - процентна ставка.

Дана формула ефективно використовується для обрахунків короткострокового депозиту. Для нарахування заощаджувальних вкладів довготермінового зберігання вживається формула:

= P (1+ R)n

де FV - розмір плати за користування коштами; Р - сума наданих коштів; R - процентна ставка; n - кількість періодів.

Простий процент нараховується за початковим вкладом у кінці одного банківського терміну. Його обчислення виконується на основі такої формули:

= P0·n·R,

де Р0 - початкова сума вкладу; n - кількість нарахувань у роках; R - ставка процента (десятковий дріб).

Приміром, якщо на депозит банку покладено суму в 10 000 грн. на 2 роки за ставки процента у 20% річних, то після завершення строкової угоди власникові буде нараховано за простим процентом:= 10 000 ·0,2·2 = 4000 грн

А загальна сума складе 14 000 грн.

Складні проценти нараховуються з урахуванням нарощення суми у попередньому періоді. Для цього використовується така формула:

= P0·(1+ R)n

За формулою складних процентів депозиторові банк нараховує наступну суму:=10000 · (1+0,2)2 = 14 400 грн

Студентам важливо з´ясувати суть основної ставки процента, за якою комерційні банки надають кредити своїм найкредитоздатнішим клієнтам, ставки процента плаваючої за середніми і довготерміновими кредитами, розмір якої періодично переглядається з узгодженням її між кредитором і позичальником, а ризик перекладається на одержувача кредиту.

Слід звернути увагу на номінальну ставку процента, яка не враховує інфляційного впливу, і реальну ставку процента, що визначається шляхом порівняння товарних еквівалентів у різних інфляційних періодах. Ставка процента реальна (R) розраховується за формулою:= (N-P):(100 + P)100,

де N- номінальна річна процентна ставка, %; Р - річне зростання цін, %.

Якщо проценти нараховуються частіше, ніж раз на рік, то ставка процента реальна (Rm) обчислюється за формулою:


де т - кількість разів нарахування процентів протягом року.

Список використаної літератури

1.      Адамик Б.П. Національний банк і грошово-кредитна політика: Навчальний посібник. - Тернопіль: Карт-бланш, 2012. -278 с.

.        Александрова М.М., Маслова СО. Гроші. Фінанси. Кредит: Навчально-методичний посібник. - 2-е видання, перероблене і доповнене. - К.: ПУЛ 2011. - 336 c.

.        Банківські операції/Під. ред. А.М.Мороза. -К.:Лібра, 2010.

.        Бірюков В., Єфімов Ю., Залетов О. та інші Страхове посередництво: теорія та практика. Навчальний посібник. За редакцією О.М.Залєтова - К: Міжнародна агенція "Вве2опв", 2012. -416 с.

.        Бобровников А. 10% за безделье//Бізнес. -2011. - № 41(612). - С 54-55.

.        Боринець СЯ. Міжнародні валютно-фінансові відносини: Підручник. - 2-ге вид., перероб. й доп. -К.: Т-во "Знання", КОО, 2012. -305с

.        Боринець СЯ. Міжнародні фінанси: Підручник. -К: Знання-Прес, 2012. 311с.

.        Васюренко О. В. Банківські операції: Навчальний посібник. -4-тевид. випр. і доп. -К: Т-во "Знання": КОО, 2004. -324с.

.        Гроші та кредит: Підручник / За ред. проф. Б. С. Івасіва. - Тернопіль: Карт-бланш, 2012.-510 с

.        Деньги. Кредит. Банки: Учебник для вузов/Е.Ф. Жуков, Л.М. Максинова, А.В. Печникова и др.;Под.ред. академ. РАЕНЕ.Ф.Жукова. -2-еизд., перераб. и доп . - М.: ЮНИТИ-ДАНА, 2013. - 600с.

.        Загородиш А.Г., Вознюк Г.Л.Ю Смовженко Т.С. Фінансовий словник. -4-те вид., випр. та доп. -К: Т-во "Знання", КОО;Л.:Вид-воЛьвів банк. Ін-ту НБУ, 2012. -566 с

.        Дзюблюк О. В. Організація грошово-кредитних відносин суспільства в умовах ринкового регулювання економіки. - К.: Поліграф книга, 2012. -512 с.

.        Дмитрієнко М., Ющенко В., Литвин В., ЯковлєваЛ. Гроші в Україні: факти і документи. -K..ARC Ukraine, 2011. - с. 454.

.        Коваленко М. А., Білінкіс В.М., СухомлинЛ.Є.: Операції сучасного комерційного банку: Навчальний посібник. Херсон: Олді-плюс, 2012. - 472 с

.        Любунь О. С, Любунь В. С, Іванець І.В. Національний банк України: основні функції, грошово-кредитна політика, регулювання банківської діяльності: Навчальний посібник. - К.: Центр навчальної літератури, 2012. -351 с

.        Кумицький С. Світова ієрархія валют і перспективи її трансформації// Вісник НБУ - К: -2010. -№10. - С 49-53.

.        Лагутін В.Д. Гроші та грошовий обіг: Навч. посіб. -5-тевид., стер . -К.: Т-во "Знання", КОО, 2012. - 199с.

.        Миллер Р.Л., Ван-ХузД.Д. Современные деньги и банковское дело. - М.: ИНФРА.-2012.

.        Міжнародні валютно-кредитні відносини: Підручник/А.С. Філіпенко, В.І. Мазуренко, В.Д. Сікоратаін.;заред. А.С. Філіпенко. -К:Либідь. 2011 с.

.        Міжнародні організації: Навчальний посібник/За редакцією Ю.Г. Козака, В. В. Ковалевського.-К: ЦУЛ, 2013. -288 с

.        Міжнародні фінанси в питаннях і відповідях: Навчальний посібник: 2-е вид., перероб. і допов.-К: ЦУЛ, 2013. -294с.

.        Міжнародні фінанси: Підручник /О. І. Рогач, А.С. Філіпенко, Т.С. Шемет та ін.; за ред. О.І. Рогача. -К.Либідь, 2012. - 784 с

.        Маконнел К.Л., Брю С.Л. Экономике: принципы, проблемы и политика. -К.: Хачар-Демос. -2013. - 263 с.

.        Маслова СО., Опалов О.А. Фінансовий ринок: Навч. посібник. - К: "Каравена", 2012. - 304 с.

.        Трифонов С.В. Україна і МВФ: шляхи подальшої співпраці // Фінанси України. -К. -2012. -№9. - С 113-117.

.        Финансы, денежное обращение и кредит: Учебник. -2-е изд., перебидоп./ В.К. Сенчагов, А.И. Архипов и др.:Пос1 редак. В. К. Сенчагова, А.И. Архжова.- М.: ТКВенби, Изд-ео Проспект, 2004. - 720 с.

.        Ходаківська В.П., Беляева В.В. Ринок фінансових послуг: теорія і практика.: Навчальний посібник. - К.: ЦУЛ, 2012. - 616 с.

.        Борисов СМ. Трансформация мирового рынка золота //Деньги и кредит. - М. -2012. -№1. - С.57-64

.        Ватманюк З І., Дорош О.Л. Небанківські фінансові інститути в економічній системі США//Фінанси України. -2011. -№3. - С 119-127.

.        Геєць В. Ще раз про складові економічного піднесення в Україні//Економіка України. -2011. - №11.-С 17- 26.

.        Дербенцев В. Особливості інфляційних процесів в Україні//Вісник КНЕУ.-2011.-№1.-C. 11-23.

.        Ковбасюк Ю. Стратегічні пріоритети діяльності світового банку в Україні//Економіка України. -К. -2012. -№2. -С. 13-17.

.        Ковбасюк Ю. Участь європейського банку реконструкції і розвитку в реформуванні економіки України//Економіка України. -К. -2011. -№4.

.        Красавина Л. Проблемы денег в экономической науке//Деньги и кредит. - 2011. -№10.

.        Литвицький В. Цінова тахікардія// Банківська справа. -2013. -№ 4.-С. 33 41.

.        Ляшенко В. МВФ в Украине//Общество в экономике. - М. - 2012. -№7-8.- С. 233-267.

.        Найдьонов В. До питання рівняння обміну та монетарної теорії//Економіка України. -2013. -№9.- С 23-29.

.        Нікіфоров П. Глобалізація грошових відносин і проблеми валютної політики України//Вісник ТАНГ. - Тернопіль. -2012. -№ 8-1. - С. 144-148.

.        Шамшетдінов Ю. Пріоритети валютно-курсової політики НБУ// Вісник НБУ. - К. -2012. -№8.- С 9-11.

.        Шаров О. Україна та МВФ: "У пошуках втраченого часу "//Вісник НБУ. - К-2012.-№9.-С 38-46.