Министерство образования и науки Российской Федерации
ФГАОУ ВПО «УрФУ имени первого Президента России Б.Н.Ельцина»
Институт радиоэлектроники и информационных технологий - РтФ
Кафедра Автоматики
Заочное
отделение
Контрольная работа
Корреляционный анализ результатов эксперимента
Предмет
Теория и методы управления экспериментом
матрица функция алгебраический полином эксперимент
Екатеринбург 2014
Задание
1
Вариант 8
Для дробного факторного эксперимента N=qk при N=42:
Составить матрицу спектра плана.
Составить матрицу базисных функций.
Составить информационную матрицу Фишера.
Написать алгебраический полином плана.
Геометрически представить области планирования.
N=42=16 Количество факторов k=2
Число уровней варьирования факторов q=4, факторы
могут принимать значения -1,+1,+2,+3.
Матрица спектра плана N=qk (N=42)
|
i |
x1 |
x2 |
|
1 |
-1 |
-1 |
|
2 |
+1 |
-1 |
|
3 |
+2 |
-1 |
|
4 |
+3 |
-1 |
|
5 |
-1 |
+1 |
|
6 |
+1 |
+1 |
|
7 |
+2 |
+1 |
|
8 |
+3 |
+1 |
|
9 |
-1 |
+2 |
|
10 |
+1 |
+2 |
|
11 |
+2 |
+2 |
|
12 |
+3 |
+2 |
|
13 |
-1 |
+3 |
|
14 |
+1 |
+3 |
|
15 |
+2 |
+3 |
|
16 |
+3 |
+3 |
Составим матрицу базисных функций N=42:
|
i |
f(0)=1 |
f(1)=x1 |
f(2)=x2 |
f(3)=x12 |
f(4)=x1x2 |
f(5)=x22 |
f(6)=x13 |
f(7)=x12x2 |
|
1 |
+1 |
-1 |
-1 |
+1 |
+1 |
+1 |
-1 |
-1 |
|
2 |
+1 |
+1 |
-1 |
+1 |
-1 |
+1 |
+1 |
-1 |
|
3 |
+1 |
+2 |
-1 |
+4 |
-2 |
+1 |
+8 |
-4 |
|
4 |
+1 |
+3 |
-1 |
+9 |
-3 |
+1 |
+27 |
-9 |
|
5 |
+1 |
-1 |
+1 |
+1 |
-1 |
+1 |
-1 |
+1 |
|
6 |
+1 |
+1 |
+1 |
+1 |
+1 |
+1 |
+1 |
+1 |
|
7 |
+1 |
+2 |
+1 |
+4 |
+2 |
+1 |
+8 |
+4 |
|
8 |
+1 |
+3 |
+1 |
+9 |
+3 |
+1 |
+27 |
+9 |
|
9 |
+1 |
-1 |
+2 |
+1 |
-2 |
+4 |
-1 |
+2 |
|
10 |
+1 |
+1 |
+2 |
+1 |
+2 |
+4 |
+1 |
+2 |
|
11 |
+1 |
+2 |
+2 |
+4 |
+4 |
+4 |
+8 |
+8 |
|
12 |
+1 |
+3 |
+2 |
+9 |
+6 |
+4 |
+27 |
+18 |
|
13 |
+1 |
-1 |
+3 |
+1 |
-3 |
+9 |
-1 |
+3 |
|
14 |
+1 |
+1 |
+3 |
+1 |
+3 |
+9 |
+1 |
+3 |
|
15 |
+1 |
+2 |
+3 |
+4 |
+6 |
+9 |
+8 |
+12 |
|
16 |
+1 |
+3 |
+3 |
+9 |
+9 |
+9 |
+27 |
+27 |
|
i |
f(8)=x1x22 |
f(9)=x23 |
f(10)=x13x2 |
f(11)=x12x22 |
f(12)=x1x23 |
f(13)=x13x22 |
f(14)=x12x23 |
f(15)=x13x23 |
|
1 |
-1 |
-1 |
+1 |
+1 |
+1 |
-1 |
-1 |
+1 |
|
2 |
+1 |
-1 |
-1 |
+1 |
-1 |
+1 |
-1 |
-1 |
|
3 |
+2 |
-1 |
-8 |
+4 |
-2 |
+8 |
-4 |
-8 |
|
4 |
+3 |
-1 |
-27 |
+9 |
-3 |
+27 |
-9 |
-27 |
|
5 |
-1 |
+1 |
-1 |
+1 |
-1 |
-1 |
+1 |
-1 |
|
6 |
+1 |
+1 |
+1 |
+1 |
+1 |
+1 |
+1 |
+1 |
|
7 |
+2 |
+1 |
+8 |
+4 |
+2 |
+8 |
+4 |
+8 |
|
8 |
+3 |
+1 |
+27 |
+9 |
+3 |
+27 |
+9 |
+27 |
|
9 |
-4 |
+8 |
-2 |
+4 |
-8 |
-4 |
+8 |
-8 |
|
10 |
+4 |
+8 |
+2 |
+4 |
+8 |
+4 |
+8 |
+8 |
|
11 |
+8 |
+8 |
+16 |
+16 |
+16 |
+32 |
+32 |
+64 |
|
12 |
+12 |
+8 |
+54 |
+36 |
+24 |
+108 |
+72 |
+216 |
|
13 |
-9 |
+27 |
-3 |
+9 |
-27 |
+27 |
-27 |
|
|
14 |
+9 |
+27 |
+3 |
+9 |
+27 |
+9 |
+27 |
+27 |
|
15 |
+18 |
+27 |
+24 |
+36 |
+54 |
+72 |
+108 |
+216 |
|
16 |
+27 |
+27 |
+81 |
+81 |
+81 |
+243 |
+243 |
+729 |
Матрица Фишера:
Ф=FTF
Регрессионная модель (алгебраический полином
3-го порядка):
y = b0
+ b1x1
+ b2x2
+ b11x12
+ b12x1x2
+ b22x22
+ b111x13
+ b112x12x2
+ b122x1x22
+ b222x23
+ b1112x13x2
+ b1122x22x22
+ b1222x1x23
+ b11122x23x22
+ b11222x22x23
+ b111222x13x23
Область планирования:
Задание
2
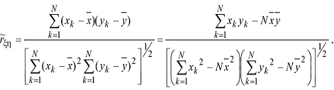
Провести корреляционный анализ результатов эксперимента. Определить коэффициент корреляции, оценить точность обработки результатов моделирования.
Построить график.
Число наблюдений n = 31.
|
Вариант 8 |
||
|
n |
X |
Y |
|
1 |
7856 |
5070 |
|
2 |
7498 |
5061 |
|
3 |
7251 |
4718 |
|
4 |
7021 |
3845 |
|
5 |
6995 |
4025 |
|
6 |
7113 |
4911 |
|
7 |
6546 |
4795 |
|
8 |
6862 |
5142 |
|
9 |
6652 |
4811 |
|
10 |
7533 |
4722 |
|
11 |
7380 |
4054 |
|
12 |
5852 |
3445 |
|
13 |
7217 |
4643 |
|
14 |
7565 |
5152 |
|
15 |
7627 |
5543 |
|
16 |
7993 |
5318 |
|
17 |
7783 |
5035 |
|
18 |
8790 |
4235 |
|
19 |
7432 |
3824 |
|
20 |
7359 |
4683 |
|
21 |
7492 |
5160 |
|
22 |
7720 |
5168 |
|
23 |
7374 |
5436 |
|
24 |
7853 |
5020 |
|
25 |
6544 |
3258 |
|
26 |
6527 |
3844 |
|
27 |
8299 |
5145 |
|
28 |
8266 |
5333 |
|
29 |
8223 |
5291 |
|
30 |
8243 |
5172 |
|
31 |
7675 |
4917 |
Коэффициент корреляции:
Выводы:
- Случай 0<
<1
соответствует наличию линейной корреляции с рассеянием.
Связь между признаками по шкале
Чеддока - заметная (0.5 - 0.7)
Задание
3
Провести регрессионный анализ результатов
эксперимента. Определить функцию ошибки, среднеквадратичное отклонение, меру
ошибки регрессионной модели. Построить линейную регрессионную модель и меру
ошибки регрессионной модели.
|
Вариант 12 |
вспомогательные величины |
||||||
|
n |
x |
y |
x.y |
x2 |
|
|
|
|
1 |
2,23 |
2,904 |
6,476 |
4,973 |
3.5268 |
−0.1548 |
0.024 |
|
2 |
1,60 |
2,546 |
4,074 |
2,560 |
3.4013 |
0.2107 |
0.0444 |
|
3 |
1,60 |
2,482 |
3,971 |
2,560 |
3.3898 |
0.4312 |
0.1859 |
|
4 |
0,00 |
2,659 |
0,000 |
0,000 |
3.3816 |
0.8294 |
0.6879 |
|
5 |
2,87 |
2,593 |
7,442 |
8,237 |
3.4136 |
−0.3146 |
0.099 |
|
6 |
0,75 |
2,772 |
2,079 |
0,563 |
3.377 |
0.129 |
0.0166 |
|
7 |
0,60 |
2,784 |
1,670 |
0,360 |
3.3802 |
−0.2002 |
0.0401 |
|
8 |
3,48 |
2,431 |
8,460 |
12,110 |
3.3512 |
0.3458 |
0.1196 |
|
9 |
4,07 |
2,628 |
10,696 |
16,565 |
3.3516 |
0.1064 |
0.0113 |
|
10 |
0,88 |
2,598 |
2,286 |
0,774 |
3.3796 |
0.2744 |
0.0753 |
|
11 |
0,78 |
2,866 |
2,235 |
0,608 |
3.3589 |
0.1141 |
0.013 |
|
12 |
8,80 |
2,832 |
24,922 |
77,440 |
3.3546 |
−0.1246 |
0.0155 |
|
13 |
3,60 |
2,825 |
10,170 |
12,960 |
3.3494 |
−0.0444 |
0.002 |
|
14 |
1,07 |
2,814 |
3,011 |
1,145 |
3.3494 |
0.0406 |
0.0016 |
|
15 |
3,82 |
2,550 |
9,741 |
14,592 |
3.3597 |
−0.5547 |
0.3077 |
|
16 |
0,52 |
2,728 |
1,419 |
0,270 |
3.3631 |
−0.1531 |
0.0234 |
|
17 |
2,40 |
3,013 |
7,231 |
5,760 |
3.3561 |
−0.0951 |
0.009 |
|
18 |
1,73 |
2,614 |
4,522 |
2,993 |
3.3895 |
−0.1245 |
0.0155 |
|
19 |
1,87 |
2,544 |
4,757 |
3,497 |
3.3494 |
0.1776 |
0.0315 |
|
20 |
2,35 |
2,979 |
7,001 |
5,523 |
3.3618 |
−0.0748 |
0.0056 |
|
21 |
1,23 |
2,892 |
3,557 |
1,513 |
3.3494 |
−0.8184 |
0.6697 |
|
22 |
5,02 |
2,561 |
12,856 |
25,200 |
|
|
|
|
|
|
|
|
|
|
|
|
Делаем предположение, что модель
результатов эксперимента графически может быть представлена в виде прямой
линии.
Искомое уравнение линейной регрессии
имеет вид:
Ошибка ei, для каждой
экспериментальной точки определяется как расстояние по вертикали от этой точки
до линии регрессии
ei =
=
Функция ошибки:
Обычно мерой ошибки регрессионной модели служит среднее квадратичное отклонение:
Для нормально распределенных процессов
приблизительно 80% точек находится в пределах одного отклонения σε
от линии регрессии и 90% - в пределах 2σε
Задание
4
Провести дисперсионный анализ результатов
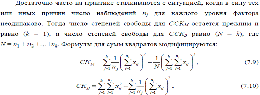
эксперимента. Дана серия наблюдений на k уровнях (k = 12). Число
повторных наблюдений nj для каждого уровня фактора неодинаково (nj =
17
÷ 31). Общее число наблюдений N = 346.
Определить общую выборочную дисперсию, оценку генеральную дисперсии, оценку
факторной дисперсии. Рассчитать дисперсионное отношение. Используя таблицы
Фишера, опровергнуть или принять нулевую гипотезу при уровне значимости γ
= 5 %.
|
n |
k1 |
k2 |
k4 |
k5 |
k6 |
k7 |
k8 |
k9 |
k10 |
k11 |
k12 |
|
|
1 |
0,715 |
1,641 |
2,111 |
0,923 |
0,555 |
2,281 |
1,032 |
1,826 |
1,304 |
1,975 |
1,864 |
0,988 |
|
2 |
0,985 |
1,868 |
2,256 |
2,136 |
0,875 |
1,154 |
1,985 |
1,922 |
1,727 |
1,980 |
1,717 |
0,689 |
|
3 |
1,121 |
1,959 |
1,253 |
2,162 |
0,970 |
1,055 |
1,625 |
1,799 |
1,609 |
1,773 |
0,864 |
1,552 |
|
4 |
0,933 |
1,017 |
1,143 |
2,194 |
0,880 |
1,887 |
1,844 |
1,028 |
1,535 |
1,839 |
0,771 |
1,679 |
|
5 |
1,061 |
0,892 |
1,931 |
2,292 |
0,848 |
1,902 |
1,855 |
0,922 |
1,715 |
1,818 |
0,910 |
2,011 |
|
6 |
0,999 |
1,728 |
2,217 |
2,188 |
0,784 |
2,038 |
1,919 |
1,694 |
2,150 |
0,883 |
1,686 |
1,736 |
|
7 |
0,987 |
2,016 |
2,363 |
1,135 |
0,437 |
1,812 |
1,164 |
1,716 |
2,078 |
0,769 |
1,841 |
1,810 |
|
8 |
0,994 |
2,195 |
0,940 |
1,257 |
0,571 |
2,073 |
0,946 |
1,864 |
2,418 |
1,853 |
1,533 |
0,954 |
|
9 |
1,274 |
1,924 |
0,970 |
1,931 |
0,884 |
2,117 |
1,758 |
1,633 |
2,062 |
1,640 |
1,633 |
0,674 |
|
10 |
1,967 |
2,135 |
1,139 |
2,028 |
0,805 |
1,276 |
1,888 |
1,763 |
2,083 |
1,980 |
0,909 |
1,883 |
|
11 |
1,690 |
1,182 |
1,752 |
2,122 |
0,900 |
0,984 |
1,711 |
0,996 |
2,164 |
1,744 |
0,950 |
1,692 |
|
12 |
1,806 |
1,101 |
2,025 |
2,144 |
0,872 |
1,060 |
1,844 |
0,773 |
1,991 |
1,832 |
1,853 |
1,818 |
|
13 |
1,946 |
1,939 |
2,046 |
2,196 |
0,775 |
1,870 |
1,793 |
1,818 |
1,880 |
1,960 |
1,826 |
1,498 |
|
14 |
1,103 |
2,058 |
2,117 |
1,191 |
0,802 |
1,850 |
1,018 |
1,848 |
1,551 |
1,904 |
1,711 |
1,420 |
|
15 |
1,097 |
1,817 |
2,161 |
1,084 |
0,838 |
2,162 |
1,073 |
1,740 |
1,792 |
1,784 |
1,842 |
0,777 |
|
16 |
2,103 |
1,996 |
2,131 |
2,210 |
0,935 |
1,170 |
1,717 |
1,870 |
1,069 |
1,794 |
1,677 |
0,859 |
|
17 |
2,067 |
1,764 |
0,994 |
2,165 |
0,877 |
1,317 |
1,815 |
1,906 |
1,014 |
1,948 |
1,176 |
1,721 |
|
18 |
2,211 |
1,160 |
0,992 |
2,106 |
0,951 |
1,915 |
1,785 |
1,403 |
|
1,064 |
0,729 |
1,678 |
|
19 |
2,080 |
0,849 |
2,237 |
2,055 |
0,875 |
1,904 |
1,787 |
1,236 |
|
0,807 |
1,934 |
1,715 |
|
20 |
2,055 |
1,858 |
2,144 |
2,379 |
0,799 |
1,751 |
1,914 |
1,854 |
|
2,099 |
1,865 |
1,777 |
|
21 |
1,067 |
2,023 |
2,167 |
1,250 |
1,805 |
1,902 |
1,171 |
2,060 |
|
2,173 |
1,763 |
2,031 |
|
22 |
1,088 |
2,042 |
2,277 |
1,264 |
1,912 |
1,955 |
1,437 |
1,926 |
|
1,157 |
1,736 |
1,078 |
|
23 |
1,871 |
1,283 |
2,032 |
2,049 |
1,873 |
1,144 |
1,713 |
1,846 |
|
1,673 |
1,667 |
0,823 |
|
24 |
2,040 |
1,774 |
1,218 |
2,232 |
2,318 |
0,956 |
1,859 |
1,749 |
|
1,919 |
0,950 |
1,591 |
|
25 |
1,891 |
1,188 |
0,901 |
2,000 |
1,930 |
2,041 |
1,821 |
|
|
1,100 |
0,888 |
1,783 |
|
26 |
1,857 |
1,568 |
2,070 |
2,050 |
1,284 |
1,819 |
1,931 |
|
|
1,023 |
1,552 |
1,816 |
|
27 |
2,123 |
1,895 |
2,078 |
2,344 |
0,877 |
2,068 |
1,921 |
|
|
1,795 |
1,751 |
1,885 |
|
28 |
1,098 |
1,956 |
2,122 |
2,047 |
1,877 |
0,791 |
|
|
1,952 |
1,720 |
1,852 |
|
|
29 |
1,056 |
1,610 |
2,224 |
0,668 |
1,997 |
1,936 |
0,939 |
|
|
1,694 |
1,928 |
1,804 |
|
30 |
1,870 |
|
2,128 |
0,488 |
1,749 |
1,035 |
1,790 |
|
|
1,975 |
1,690 |
1,174 |
|
31 |
1,817 |
|
1,052 |
|
2,093 |
|
1,687 |
|
|
1,980 |
|
0,840 |
СКМ = 10,319
СКВ = 68,014
(Оценка факторной дисперсии)
(Оценка генеральной дисперсии)
Общая выборочная дисперсия всех наблюдений равна
Дисперсионное отношение:
(Критерий фактического распределения)
Fтеор
(0,05;11;334) = 2,498 Fрасчетное
> Fтеоретическое,
Вывод: влияние фактора на результаты
экспериментальных исследований будет значимым, нулевую гипотезу H0
отвергаем.