.5 Расчет и построение теоретической линии
регрессии
Теоретическая линия регрессии представляет собой такую математически правильную кривую (любую прямую) линию, которая проходит наиболее близко к точкам эмпирической линии регрессии, выражает общую закономерность средних изменений признака в связи со средними изменениями фактора.
В данном случае характер размещения точек на корреляционном поле делает весьма вероятной гипотезу о линейной связи у от х у = а0 + а1х
Параметры искомой прямой (а0, а1) нахожу из
системы уравнений по способу наименьших квадратов:
Исходную информацию для решения данной системы получаем из таблицы "Расчет теоретической линии регрессии для зависимости у от х", которая основана на результатах таблицы "Расчет эмпирической линии регрессии для зависимости у от х".
Для получения упрощенных вариантов по факторному
признаку используется метод отсчета от условного нуля. В данном примере сх =
112 чел., iх = 6.
Расчет теоретической линии регрессии для зависимости у от х
|
Объем СМР, тыс. руб. |
Среднегодовая стоимость основных фондов тыс.руб. |
№ столбца |
|||||||||||||||
|
|
y' |
x'2 |
25 |
16 |
9 |
4 |
1 |
0 |
1 |
4 |
9 |
16 |
25 |
1 |
2 |
3 |
4 |
|
|
|
x' |
-5 |
-4 |
-3 |
-2 |
-1 |
0 |
1 |
2 |
3 |
4 |
5 |
li |
liy' |
y'2 |
liy'2 |
|
|
|
x y |
70 |
76 |
83 |
120 |
122 |
112 |
116 |
115 |
119 |
126 |
130 |
|
|
|
|
|
|
6 |
180 |
1 |
|
|
|
|
|
|
|
|
|
|
1 |
6 |
36 |
36 |
|
|
5 |
172 |
|
1 |
|
|
|
|
|
|
|
|
|
1 |
5 |
25 |
25 |
|
|
4 |
164 |
|
|
|
|
|
|
|
|
|
|
|
0 |
0 |
16 |
0 |
|
|
3 |
156 |
|
|
|
1 |
|
|
|
|
|
|
|
1 |
3 |
9 |
9 |
|
|
2 |
148 |
|
|
|
|
|
|
|
|
|
|
|
0 |
0 |
4 |
0 |
|
|
1 |
140 |
|
|
|
|
|
|
|
|
|
|
|
0 |
0 |
1 |
1 |
|
|
0 |
132 |
|
|
|
|
|
|
|
|
|
|
|
0 |
0 |
0 |
0 |
|
|
- 1 |
124 |
|
|
|
|
|
|
|
1 |
|
|
|
1 |
-1 |
1 |
1 |
|
|
- 2 |
116 |
|
|
|
|
|
|
|
1 |
1 |
|
|
2 |
-4 |
4 |
8 |
|
|
- 3 |
108 |
|
|
1 |
|
|
|
|
1 |
|
1 |
|
3 |
-9 |
9 |
27 |
|
|
- 4 |
100 |
|
|
|
|
|
|
|
|
|
1 |
1 |
2 |
-8 |
16 |
32 |
|
|
1 |
Итого hi |
1 |
1 |
1 |
1 |
0 |
0 |
0 |
3 |
1 |
2 |
1 |
n = 11 |
Σy' = -8 |
- |
Σy'2 = 139 |
|
|
2 |
Σ hix' |
-5 |
-4 |
-3 |
-2 |
0 |
0 |
0 |
6 |
3 |
8 |
5 |
Σ x' = 8 |
|||
|
|
3 |
Σ hix'2 |
25 |
16 |
9 |
4 |
0 |
0 |
0 |
12 |
9 |
32 |
25 |
Σ x'2 = 132 |
|||
|
|
4 |
Σ miy'i |
6 |
5 |
-3 |
3 |
0 |
0 |
0 |
-6 |
-2 |
-7 |
-4 |
Σy' = -8 |
|||
|
|
5 |
Σ miy'iх'i |
-30 |
-20 |
9 |
-6 |
0 |
0 |
0 |
-12 |
-6 |
-28 |
-20 |
Σy'х' = -113 |
|||
Результаты расчетов приведены в таблице "Расчет теоретической линии регрессии для зависимости у от х".
В систему уравнений подставляем результаты,
полученные в таблице "Расчет теоретической линии регрессии для зависимости
у от х":
В качестве метода решения данной системы
принимаем метод Гаусса, который позволяет находить решения последовательно,
исключая неизвестные. Для этого 1-ое уравнение системы делим на -8, а 2-ое
уравнение - на 132.
Сложим уравнения полученной системы:
,314а'0 = 0,144
Откуда:
а'0 = -0,109
Затем подставляем в уравнение а'0 и находим
величину а'1:
,375 * (-0,109) - а'1 = 1
а'1 = -0,850
Параметры а'0 и а'1 необходимо преобразовать исходя из фактических значений х и у.
Формулы перевода из упрощенных в реальные
координаты:
где iy - интервал группировки по функции;- интервал группировки по аргументу;- новое начало отсчета по функции;- новое начало отсчета по аргументу.
Находим:
а0 = 258,125; а1 = -1,288
Уравнение теоретической линии регрессии в
реальных коэффициентах имеет вид:
у = 258,125 - 1,288х.
В уравнении регрессии первое слагаемое носит название свободного члена, второе слагаемое называется коэффициентом регрессии. Он показывает, на сколько натуральных единиц изменяется в среднем результативный признак при изменении факторного признака на единицу.
Вывод: из уравнения теоретической линии регрессии видно, что объем СМР понижается на 1,288% при увеличении численности на 1%.
Объем СМР, не зависящий от рассматриваемых факторов, равен 1433,7 тыс. руб.
Для графического изображения линии регрессии, рассчитанной по линейной гипотезе, достаточно определить две точки, через которые можно провести прямую.
В данной курсовой проводим на поле корреляции прямую линию.
Графическое изображение теоретической линии
регрессии в виде уравнения прямой еще раз подтверждает наличие корреляционной
связи между изучаемыми признаками
2. Определение показателей вариации
Если всю изучаемую совокупность разделить на группы, то можно рассчитать следующие виды дисперсий:
- групповую дисперсию;
- среднюю из групповых дисперсий;
- межгрупповую дисперсию;
- общую дисперсию по правилу сложения дисперсий.
Рассмотрим на примере влияния
численности работников на накладные расходы выше перечисленные виды дисперсий.
По данным первого задания работы выделим три группы по результативному признаку
- объем смр (тыс. руб.) и вычислим следующее:
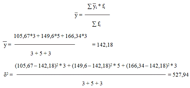
.1 Групповая дисперсия
Группировочным или факторным признаком является среднегодовая стоимость основных средств (тыс. руб.), т.е. мы разбиваем изучаемую совокупность на три группы:
1) Среднегодовая стоимость от 70 до 95 тыс. руб.
2) Среднегодовая стоимость от 95 до 120 тыс. руб.
3) Среднегодовая стоимость от 120 и более тыс. руб.
Объемы смр является
результативным признаком (у), который зависит от изменения среднегодовой
стоимости.
|
№ |
Среднегодовая стоимость от 70 до 95 тыс.руб. |
№ |
Среднегодовая стоимость от 95 до 120 тыс.руб |
№ |
Среднегодовая стоимость от 120 и более тыс.руб |
||||||
|
|
Объем смр |
yi - y |
(yi - y)2 |
|
Объем смр |
yi - y |
(yi - y)2 |
|
Объем смр |
yi - y |
(yi - y)2 |
|
1 |
100 |
-5,67 |
32,15 |
1 |
118 |
-31,6 |
998,56 |
1 |
149 |
-17,34 |
300,68 |
|
2 |
108 |
2,33 |
5,43 |
2 |
152 |
2,4 |
2,76 |
2 |
170 |
3,66 |
13,4 |
|
3 |
109 |
3,33 |
11,09 |
153 |
3,4 |
11,56 |
3 |
180 |
13,66 |
186,6 |
|
|
4 |
|
|
|
|
160 |
10,4 |
108,16 |
|
|
|
|
|
5 |
|
|
|
|
165 |
15,4 |
237,16 |
|
|
|
|
|
∑ |
317 |
|
48,66 |
∑ |
748 |
|
1361,2 |
∑ |
499 |
|
500,68 |
|
у |
105,67 |
|
|
у |
149,6 |
|
|
у |
166,34 |
|
|
|
σ2 |
|
|
16,22 |
σ2 |
|
|
272,24 |
σ2 |
|
|
166,89 |
По третьей группе разброс
меньше (отклонение от средней величины 329,68 тыс. руб.)
.2 Средняя из групповых
Характеризует случайную вариацию, возникшую под влиянием других, неучтенных факторов, и не зависит от условия (факторного признака - численность работников), положенного в основу группировки.
Определим среднюю из групповых
дисперсий, которая показывает вариацию накладных расходов, вызванную всеми
различными факторами, кроме накладных расходов, но в среднем по всей
совокупности по формуле средней арифметической взвешенной:
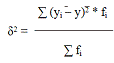
2.3 Межгрупповая дисперсия
Отражает вариацию изучаемого признака, которая возникает под влиянием признака, положенного в основу группировки (факторный признак - численность работников).
Определим межгрупповую
дисперсию, которая характеризует вариацию групповых средних величин,
обусловленную различиями групп по численности работников.
где у - средняя по всей
изучаемой совокупности
.4 Общая дисперсия
Указанные выше дисперсии взаимосвязаны между собой следующим равенством: величина общей дисперсии равна сумме средней внутригрупповой дисперсии и межгрупповой дисперсии.
Это тождество отражает правило сложения дисперсий. Опираясь на это правило, можно определить, какая доля общей дисперсии складывается под влиянием признака, положенного в основу группировки.
Определим общую дисперсию:
σ2 = σ2 + δ2
σ2 = 173,69 + 527,94
= 701,63
2.5 Среднее квадратическое отклонение
Среднее квадратическое
отклонение является мерилом надежности средней величины. Среднее квадратическое
отклонение определяется по формуле:
2.6 Показатель вариации
Для оценки однородности
совокупности используется коэффициент вариации по факторным признакам
Если коэффициент вариации не превышает 33%, совокупность считается однородной, а средняя величина типичной и приемлемой для прогнозных оценок. В противном случае в изучаемой совокупности большая колеблемость признака.
В данной курсовой Кv < 33, следовательно,
совокупность однородная.
2.7 Анализ выполненных расчетов
и вывод
Для определения показателей вариации были выбраны три группы по результативному признаку и вычислены показатели вариации. Показателями вариации являются: групповая дисперсия, средняя из групповых, межгрупповая дисперсия и общая дисперсия.
Наименьшее изменение накладных расходов вызывает первая группа.
Средняя из групповых показывает, что изменение объема смр, в среднем, по всем трем группам составляет 173,69 тыс. руб. Влияние группировочного признака здесь также не учитывается.
Общая дисперсия говорит о том, что среднегодовая стоимость основных фондов (группировочный признак) оказывает сильное влияние на объем смр, так как доля межгрупповой дисперсии больше в общей дисперсии, чем средней из групповой.
Изучаемая совокупность считается однородной, так
как коэффициент вариации меньше 33% и составляет 18,63%.
3. Анализ динамических рядов
.1 Определение данных для 3-го динамического
ряда по двум исходным данным
Исходные данные:
|
Годы |
Фонд зарплаты, тыс. руб. |
Среднесписочная численность работников, чел |
Средняя заработная плата, тыс. руб. |
|
|
1 |
2 |
3 |
|
1991 |
140 |
101 |
1,39 |
|
1992 |
150 |
85 |
1,77 |
|
1993 |
160 |
39 |
4,1 |
|
1994 |
161 |
140 |
1,15 |
|
1995 |
178 |
141 |
1,26 |
|
1996 |
237 |
142 |
1,67 |
|
1997 |
244 |
142 |
1,72 |
|
1998 |
294 |
143 |
2,06 |
.2 Установление вида ряда динамики
Динамикой в статистике называют изменения явления во времени. Для отображения динамики строят ряды динамики, которые представляют собой ряды изменяющихся во времени значений статистического показателя, расположенных в хронологическом порядке.
Ряд динамики состоит из двух элементов: момента или периода времени, к которым относятся данные, и статистических показателей. Оба элемента вместе образуют члены ряда.
Существуют различные виды рядов динамики. В зависимости от способа выражения уровней ряда динамики они подразделяются на ряды абсолютных величин, относительных величин и средних величин.
По длительности времени, к которым относятся уровни ряда, ряды динамики делятся на моментные и интервальные. В моментных рядах каждый уровень характеризует явления на момент времени, а в интервальных рядах динамики каждый уровень ряда характеризует явление за период времени.
Также ряды динамики могут быть с равными и
неравными интервалами. В данной курсовой работе представлены интервальные ряды
с равными промежуточными интервалами в 1 год.
.3 Определение среднего уровня динамики
Средний уровень ряда динамики вычисляется по
формуле:
где у - абсолютный уровень ряда;- число уровней.