Федеральное агентство по образованию РФ
Казанский государственный архитектурно-строительный университет
Кафедра
экономики и предпринимательства в строительстве
Курсовая работа
По
дисциплине "Статистика"
Казань 2013
Содержание
Введение
. Корреляционный анализ
.1 Построение рядов распределения
.2 Построение поля корреляции
.3 Построение корреляционной таблицы
.4 Расчет и построение эмпирической линии регрессии
.5 Расчет и построение теоретической линии регрессии
. Определение показателей вариации
.1 Групповая дисперсия
.2 Средняя из групповых
.3 Межгрупповая дисперсия
.4 Общая дисперсия
.5 Среднее квадратическое отклонение
.6 Показатель вариации
.7 Анализ выполненных расчетов и вывод
. Анализ динамических рядов
.1 Определение данных для 3-го динамического ряда по двум исходным данным
.2 Установление вида ряда динамики
.3 Определение среднего уровня динамики
.4 Определение показателей изменения уровня ряда динамики
.5 Определение среднего абсолютного прироста
.6 Определение среднегодовых темпов роста и прироста
.7 Графическое изображение показателей динамических рядов
.8 Анализ полученных показателей динамических рядов
Заключение
Список
использованных источников
Введение
Целью курсовой работы является выполнение двух последовательно выполняемых разделов:
1. Корреляционный анализ;
2. Анализ динамических рядов.
Исходные данные для выполнения курсовой работы
|
|
|
1 |
2 |
3 |
4 |
5 |
6 |
7 |
8 |
9 |
10 |
11 |
|
Объем СМР выполненный собственными силами, тыс. руб. |
Y1 |
100 |
108 |
109 |
118 |
149 |
152 |
153 |
160 |
165 |
170 |
180 |
|
Среднегодовая стоимость основных производственных фондов, тыс. руб. |
X1 |
70 |
76 |
83 |
120 |
122 |
112 |
116 |
115 |
119 |
126 |
130 |
1. Корреляционный анализ
.1 Построение рядов распределения
Для корреляционного анализа зависимости результативного признака y от факторного признака x необходима статистическая обработка данных. Первоначально систематизация статистического материала производится по величине изучаемого признака в порядке убывания или возрастания, то есть необходимо произвести ранжирование рядов распределения.
При построении интервального ряда распределения
определяется величина интервала i, вычисляемая по формуле:
где Rmax и Rmin - максимальное и минимальное значение переменной;- число интервалов.
Для выполнения корреляционных расчетов интервальные ряды распределения необходимо представить в дискретной форме.
В связи с этим вместо размерности интервалов принимаются их центральные значения, которые как средние арифметические величины начала и конца интервалов.
Построим интервальные ряды распределения по
накладным расходам и численности рабочих. Задаемся числом интервалов n = 10
Начальная граница первого интервального ряда
равна
Для объемов смр
нижняя граница 1 интервала:
- 4 = 96 тыс. руб.
верхняя граница 1 интервала:
+ 8 = 104 тыс. руб.
Для среднегодовой стоим
нижняя граница 1 интервала:
- 3 = 67 тыс. руб.
верхняя граница 1 интервала:
67 + 6 = 73 тыс. руб.
Интервальный ряд по функциональному признаку
(объем смр):
- 104 ; 104 - 112 ; 112 - 120 ; 120 - 128 ; 128
- 136 ; 136 - 144; 144 - 152; 152 - 160; 160 - 168; 168 - 176; 176 - 184.
Интервальный ряд по факторному признаку
(среднегодовая стоимость основных произ. фондов):
- 73; 73 - 79; 79 - 85; 85 - 91; 91 - 97; 97 -
103; 103 - 109; 109 - 115; 115 - 121; 121 - 127; 127 - 133.
Дискретный ряд распределения по объемам смр:
|
Центральные значения интервалов |
Величина интервалов |
Абсолютные частоты |
Относительные частоты |
Плотность распределения |
|
100 |
i =8 |
1 |
9,09 |
1,14 |
|
108 |
|
2 |
18,18 |
2,27 |
|
116 |
|
1 |
9,09 |
1,24 |
|
124 |
|
0 |
0 |
0 |
|
132 |
|
0 |
0 |
0 |
|
140 |
|
0 |
0 |
0 |
|
148 |
|
2 |
18,18 |
2,27 |
|
156 |
|
2 |
18,18 |
2,27 |
|
164 |
|
1 |
9,09 |
1,14 |
|
172 |
|
1 |
9,09 |
1,14 |
|
180 |
|
1 |
9,09 |
1,14 |
|
Итого n = 11 |
100 % |
|
||
Плотность распределения определяется по формуле:
Дискретный ряд распределения по среднегодовой стоимости:
|
Центральные значения интервалов |
Величина интервалов |
Абсолютные частоты |
Относительные частоты |
Плотность распределения |
|
70 |
i = 6 |
1 |
9,09 |
1,52 |
|
76 |
|
1 |
9,09 |
1,52 |
|
82 |
|
1 |
9,09 |
1,52 |
|
88 |
|
0 |
0 |
0 |
|
94 |
|
0 |
0 |
0 |
|
100 |
|
0 |
0 |
0 |
|
106 |
|
0 |
0 |
0 |
|
112 |
|
2 |
18,18 |
3,03 |
|
118 |
|
3 |
27,27 |
4,55 |
|
124 |
|
2 |
18,18 |
3,03 |
|
130 |
|
1 |
9,09 |
1,52 |
|
Итого n = 11 |
100 % |
|
||
.2 Построение поля корреляции
Первой основной задачей, которую решает теория
корреляции, является задача измерения связи. Систематизация статистического
материала по двум качественным признакам производится графическим путем
построения поля корреляции. Итоговая сумма частот по горизонтальным линиям поля
корреляции должна соответствовать абсолютным частотам дискретного ряда
распределения функционального признака, а итоговая сумма частот по вертикальным
линиям поля корреляции - абсолютным частотам дискретного ряда распределения
факторного признака. Общая сумма абсолютных частот (точек) по всем вертикальным
линиям поля корреляции и соответствовать числу единиц статистической
совокупности, принятой для исследования.
.3 Построение корреляционной таблицы
Для построения корреляционной таблицы на поле
корреляции накладывается координатная сетка, соответствующая интервальным рядам
распределения по факториальному и функциональному признакам. Затем подсчитываем
число точек (частот) в каждой клетке координатной сетки. Результаты подсчетов
по горизонтали и вертикали записываются в таблицу "Корреляционная таблица
для зависимости у от х".
Корреляционная таблица для зависимости у от х
|
Объемы СМР, тыс. руб. |
х у |
Среднегодовая стоимость основных фондов тыс. руб. |
|||||||||||
|
|
|
67-73 |
73- 79 |
79-85 |
85-91 |
91-97 |
97-103 |
103- 109 |
109- 115 |
115- 121 |
121-127 |
127- 133 |
Итого |
|
|
96- 104 |
1 |
|
|
|
|
|
|
|
|
|
|
1 |
|
|
104- 112 |
|
1 |
|
|
|
|
|
|
|
|
|
1 |
|
|
112- 120 |
|
|
1 |
|
|
|
|
|
|
|
|
1 |
|
|
120- 128 |
|
|
|
|
|
|
|
|
|
|
|
0 |
|
|
128- 136 |
|
|
|
|
|
|
|
|
|
|
|
0 |
|
|
136- 144 |
|
|
|
|
|
|
|
|
|
|
|
0 |
|
|
144- 152 |
|
|
|
|
|
|
|
|
|
|
|
0 |
|
|
152- 160 |
|
|
|
|
|
|
1 |
1 |
|
|
|
2 |
|
|
160- 168 |
|
1 |
|
|
|
|
1 |
|
1 |
|
|
3 |
|
|
168-176 |
|
|
|
|
|
|
|
1 |
|
1 |
|
2 |
|
|
176- 184 |
|
|
|
|
|
|
|
|
|
|
1 |
1 |
|
|
Итого |
1 |
2 |
1 |
0 |
0 |
0 |
2 |
2 |
1 |
1 |
1 |
11 |
Результаты расчетов, выполненные в вышеуказанной
таблице, позволяют сделать вывод о том, что при переходе слева направо в
сторону больших значений факторного признака х соответствующие ряды
распределения функционального признака у смещаются сверху вниз, т.е. в сторону
меньших значений функций. Следовательно, объем смр находятся в корреляционной
зависимости от среднегодовой стоимости производственных фондов.
.4 Расчет и построение эмпирической линии
регрессии
После установления наличия корреляционной зависимости между функциональным и факторным признаками, приступаем к следующему этапу статистического моделирования - к исследованию формы связи.
Под формой корреляционной связи понимают тип аналитической формулы, выражающей зависимость между изучаемыми величинами.
Необходимо установить, какие изменяются средние значения y в связи с изменением x.
Рассчитываем средние величины для каждого ряда
распределения по формуле средней взвешенной арифметической величины:
где y - средневзвешенное значение функции;
у - центральные значения интервалов по функции;- абсолютные частоты вариантов у.
Для сокращения вычислений при определении
средней арифметической можно использовать метод отсчета от условного нуля.
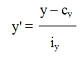
при этом
где y' - упрощенные варианты у;
у - фактические варианты у;
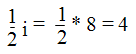
сy - новое начало отсчета по оси у (условный нуль);- интервал группировки по у.
Новое начало отсчета выбираем таким образом,
чтобы число наблюдений распределялось примерно поровну между положительным и
отрицательным направлениями оси ординат. Условный нуль су = 132 тыс. руб., iy =
8.
Расчет эмпирической линии регрессии для зависимости у от х
|
Объем СМР, тыс. руб. |
у' |
х у |
Среднегодовая стоимость основных фондов тыс. руб. |
Итого |
||||||||||
|
|
|
|
70 |
76 |
82 |
88 |
94 |
100 |
106 |
112 |
118 |
124 |
130 |
|
|
|
6 |
180 |
16 |
|
|
|
|
|
|
|
|
|
|
1 |
|
|
5 |
172 |
|
15 |
|
|
|
|
|
|
|
|
|
1 |
|
|
4 |
164 |
|
|
14 |
|
|
|
|
|
|
|
|
1 |
|
|
3 |
156 |
|
|
|
|
|
|
|
|
|
|
|
0 |
|
|
2 |
148 |
|
|
|
|
|
|
|
|
|
|
|
0 |
|
|
1 |
140 |
|
|
|
|
|
|
|
|
|
|
|
0 |
|
|
0 |
132 |
|
|
|
|
|
|
|
|
|
|
|
0 |
|
|
- 1 |
124 |
|
|
|
|
|
|
1-1 |
1-1 |
|
|
|
2 |
|
|
- 2 |
116 |
|
1-2 |
|
|
|
|
1-2 |
|
1-2 |
|
|
3 |
|
|
- 3 |
108 |
|
|
|
|
|
|
|
1-3 |
|
2 |
||
|
|
- 4 |
100 |
|
|
|
|
|
|
|
|
|
1-4 |
1-4 |
1 |
|
№ строки |
1 |
Итого hi |
1 |
2 |
1 |
0 |
0 |
0 |
2 |
2 |
1 |
1 |
1 |
n = 11 |
|
|
2 |
Σ miy'i |
6 |
3 |
4 |
0 |
0 |
0 |
-3 |
-4 |
-2 |
-7 |
-4 |
Σy’ = -7 |
|
|
3 |
y' |
6 |
1,5 |
2 |
0 |
0 |
0 |
-1,5 |
-2 |
-2 |
-7 |
-4 |
|
|
|
4 |
y |
180 |
144 |
148 |
132 |
132 |
132 |
120 |
116 |
116 |
76 |
100 |
|