Контрольная
работа №2
теория
вероятностей и математическая статистика
никитина
дарья сергеевна пин-21д

.
Для биноминального закона распределения:


Х – число черных шаров среди вынутых может принимать значения: 1,2,3. Х=1, если вытащен 1 черный и 2 белых шара, Х=2, если вытащены 2 черных и 1 белый шар, Х=3, если вытащены три черных шара. Все исходы эксперимента – вытащить любые 3 шара из 5.
Ряд распределения Х:
|
Х |
1 |
2 |
3 |
|
|
0,3 |
0,6 |
0,1 |

;


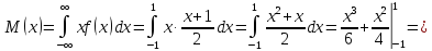
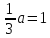
Для показательного закона распределения:

Найдем совместное распределение Х и У.
Т.к. У больше или равно Х – то:
Х может принимать любое значение с равной вероятностью :1/3
Если Х=1 – то У может принимать с равной вероятностью значения 1,2 или 3, т.е. каждое с вероятностью 1/3
Если Х=2 – то У может принимать с равной вероятностью значения 2 или 3, т.е. каждое с вероятностью 1/2
Если Х=3 – то У может принимать единственное значение 3.
|
X\Y |
1 |
2 |
3 |
|
1 |
|
|
|
|
2 |
0 |
|
|
|
3 |
0 |
0 |
|
|
X\Y |
1 |
2 |
3 |
|
1 |
|
|
|
|
2 |
0 |
|
|
|
3 |
0 |
0 |
|
Запишем на пересечениях строк со значениями Х и столбцов со значениями У значения Х-У:
|
X\Y |
1 |
2 |
3 |
|
1 |
0 |
-1 |
-2 |
|
2 |
1 |
0 |
-1 |
|
3 |
2 |
1 |
0 |
Т,к.
- то Z
может принимать значения -2;-1;0
|
Z |
-2 |
-1 |
0 |
|
p |
|
|
|
|
Z |
-2 |
-1 |
0 |
|
p |
|
|
|
Z |
-2 |
-1 |
0 |
p |
|
|
|
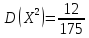
Х
и У имеют распределение Пуассона с
параметром
.

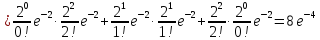
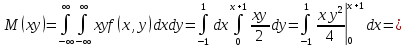
Площадь
треугольника:

Значит плотность распределения внутри треугольника будет равна:
Плотность распределения случайного вектора: