Контрольная
работа №1
Теория
вероятностей и математическая статистика
никитина
дарья сергеевна Пин-21д


Т.к.0<
– то
, а значит

Обозначим Х – первое число, У – второе число.
А ={наименьшее из чисел принадлежит отрезку [-1;1]}
А произойдет, если:
или

Сделаем чертеж, выделим область на чертеже, в которой будет выполняться событие А.

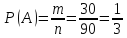
Обозначим событие А ={наудачу выбранное целое двузначное число делится на 2, но не делится на 3}
Всего двузначных чисел 90.
Двузначных чисел, которые делятся на 2: 90/2=45.
Двузначных чисел, которые делятся и на 2, и на 3 (т.е. на 6): 90/6=15.
Двузначных чисел, которые делятся на 2, но не делятся на 3: 45-15=30.


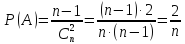
А ={в последовательности n независимых испытаний 2 успеха произошли в соседних испытаниях}
Т.к. мы уже знаем, что произошло 2 успеха, а в каждом испытании вероятность успеха одинакова – вероятность того, что успехи произошли в любой паре из n испытаний, равновероятны.
Т.к. мы уже знаем, что произошло 2 успеха – общее число исходов найдем по формуле сочетаний из n по 2.
Благоприятных событию А исходов n-1 (благоприятные исходы 1-й и 2-й, или 2-й и 3-й ит.д. до (n-1)-й и n-й.


и не зависит от состояния остальных
элементов. Найти
где А = {цепь проводит ток},
= {второй элемент проводит ток}
=
{k-тый
элемент проводит ток}

Количество способов, которыми можно рассадить 12 человек на 12 стульев найдем по формуле перестановок из 12.
Найдем количество способов, при которых пять мужчин окажутся рядом. Будем считать их одной единицей, занимающей 5 стульев и найдем число перестановок из 8 на 8 мест. Но при этом мужчины друг относительно друга тоже могут рассаживаться – число способов рассадить 5 мужчин на 5 стульев найдем по формуле перестановок из 5.

А={будет забито ровно 3 гола}
Событие А произойдет, если 3 раза подряд будет забит гол, а 4-й раз – будет промах.
=
{k-тое
пенальти закончится голом}
А={старостой окажется юноша, а заместителями - девушки}
Все исходы – выбрать одного старосту из 25 и выбрать двух заместителей из 24 оставшихся человек.
Исходы, благоприятные событию А – выбрать одного юношу на роль старосты из 20 и выбрать двух девушек на роль заместителя старосты из 5.

А={слоны бьют друг друга}
=
{первого слона поставили на одну из 28
крайних клеток доски}
=
{первого слона поставили на одну из 20
клеток доски: из диапазонов В7-G7,
или B9-G9,
или на клетки С7, D7,
E7,
F7,
C2,D2,E2,
F2}
=
{первого слона поставили на одну из 12
клеток доски: из диапазонов С6-F6,
илиC3-F3,
или на клетки D6,
E6,D3,E3}
=
{первого слона поставили на одну из 4
центральных клеток доски}
Т.к. всего клеток на доске 64 – то:

А={попадание в цель при одном выстреле}
По формуле Бернулли: