контактная сеть перегон пролет
СОДЕРЖАНИЕ
Введение
1. Основная часть
.1 Исходные данные
.2 Расчет нагрузок на провода контактной сети
.3 Натяжение проводов контактной сети
.4 Определение максимальных допустимых длин пролетов
.4.1 Расчет длин пролетов на прямых участках в режиме максимального ветра
.4.2 Расчет длин пролетов на кривых участках в режиме максимального ветра
.4.3 Расчет длин пролетов на прямых участках в режиме гололеда с
ветром
.4.4 Расчет длин пролетов на кривых участках в режиме гололеда с ветром
.5 Вывод
.6 Проверка возможности расположения питающих проводов и проводов ДПР на опорах контактной сети
.6.1 Расчет длин пролетов проводов ДПР
.7 Трассировка контактной сети перегона
.8 Секционирование и питание контактной сети
.9 Выбор поддерживающих и опорных конструкций
. Экономическая часть
.1 Расчетная часть
. Охрана труда
.1 Критерии безопасности заземлений устройств электрической тяги переменного тока
. Безопасность движении
4.1 Удобство и возможности железных дорог на поставку оборудования
Заключение
Литература
Введение
Железная дорога является важнейшей составной частью материально-технической базы экономики. Они определяют эффективность всех отраслей хозяйства. Для нормального функционирования железных дорог в настоящее время осуществляются меры по дальнейшему развитию железнодорожных магистралей, увеличивается количество электрифицированных дорог, электрифицируются действующие линии.
Электрификация является основой технического перевооружения железнодорожного транспорта и одним из главных путей повышения его эффективности.
В связи с увеличением современных требований к электроподвижному составу, вводятся новые типы электровозов и электропоездов большой мощности и высокой скорости. В таких условиях растут требования к надежности устройств контактной сети, что вызывает необходимость постоянно совершенствовать ее устройства, методы их расчета, технического обслуживания и ремонта этих устройств.
Реализация этих требований начинается с достоверности и правильности выполнения расчетов и проектной документации при выполнении трассировки устройств контактной сети.
Применение современных информационных средств,
имеющегося программного обеспечения существенно упростят выполнение трудоемких
вычислений, облегчат труд проектировщиков увеличат точность вычислений. Это в
свою очередь позволит правильно выбрать оборудование и устройства, обеспечить
их надежную и долговечную службу в условиях эксплуатации.
1.
Основная часть
1.1 Исходные данные
В выпускной работе требуется по известным климатическим условиям, рельефу местности и ветровым характеристикам электрифицировать действующий железнодорожный перегон. Для этого необходимо произвести необходимые расчеты, определить максимально допустимые длины пролетов на всех участках перегона, на прямых и кривых участках, выбрать необходимое оборудование для сооружения контактной сети.
Электрификацию необходимо выполнить по системе 2х25 кВ. Работа выполняется с учетом данных, полученных при анализе участка железной дороги.
Климатические условия района расположения контактной сети:
ветровой район - IV
район по толщине стенки гололеда - II
самая низкая температура - 30ºС
самая высокая температура - + 30ºС
Профиль местности - открытая равнинная.
Пикеты всех искусственных сооружений, находящихся на участке, железнодорожного перегона даны во таблице 1.1.
В качестве питающих проводов используются провода типа АС-150.Для питания не тяговых потребителей используется система ДПР (два провода-рельс). В системе ДПР применяется провода марки АС-50.
И питающие провода, и провода ДПР располагают на опорах контактной сети с полевой стороны на кронштейнах типа КФДСИ-5.
В качестве провода группового заземления применяем провод марки ПБСА-50/70.
Тип контактной подвески, применяемой на участке:
М120+БрФ120
Контактная подвеска на перегоне компенсированная
косая.
Таблица 1.1.
|
Искусственное сооружение |
Пикет |
|
Входной сигнал станции |
3715 км |
|
Ось железнодорожного переезда шириной 10м |
01+30 4+24 |
|
Ось металлической трубы диаметром 1,2м |
3716 км 05+74 |
|
Начало кривой радиусом R=2000м |
3718км 0+40 |
|
Конец кривой |
07+30 |
|
Ось железобетонного моста длиной 20 метров |
3719 км 03+60 |
|
Начало кривой радиусом R=1800м |
3720 км 03+80 |
|
Конец кривой |
07+72 |
|
Ось железнодорожного переезда шириной 8 м |
3721 км 06+70 |
|
Входной сигнал светофора |
08+90 |
1.2 Расчет нагрузок на провода
контактной сети
Для расчета длин пролетов между опорами контактной сети необходимо предварительно определить нагрузки на провода и натяжение в проводах подвески.
Нагрузки определяем в двух режимах: режиме максимального ветра и режиме гололеда с ветром.
Режим максимального ветра
Суммарная вертикальная нагрузка от веса проводов
определяется по формуле:
????=![]()
+![]()
(![]()
+![]()
) (1.1)
где:
![]()
и ![]()
- нагрузки от веса 1м несущего троса
и контактного провода.
Эти величины являются табличными и выбираются по справочным данным:
![]()
= 1,06 даН/м [ 1,прил 2]
![]()
= 1,07 даН/м [ 1,прил 2]
![]()
-количество контактных проводов
![]()
=1 (согласно исходных данных)
![]()
- приближенное значение нагрузки от
веса рессорного троса, струн и зажимов, отнесенного к 1м подвески.
![]()
=0,1 даН/м [1,стр 61]
Подставив известные величины в
формулу 1.1 получим:
????=1,06+1 (1,07+0,1)
????=2,23 даН/м
горизонтальная нагрузка от воздействие ветра на несущий тросы контактный провод определяется по нижеследующим формулам:
На несущий трос:
![]()
=![]()
????·10-³ (1.2)
На контактный провод:
![]()
=![]()
????·10-³ (1.3)
В этих формулах:
????-нормативная скорость ветра.
В ветровом районе IV она равна:
????=32м/с [ 1,стр. 57 ]
????-диаметр несущего троса
????= 14мм [ 1,прил. 2 ]
????-высота контактного провода
????=12,9мм [ 1,прил. 2 ]
![]()
-аэродинамический коэффициент любого
сопротивления провода ветру. Они принимаются в зависимости от марки проводах. В
данном случае и для несущего троса и для контактного провода эта величина будет
одинакова и равна:
![]()
=1.25 [ 1,стр. 61 ]
Теперь рассчитаем:
Так как ветровая нагрузка на
контактный провод воспринимается несущим тросом посредством струн. Формула для
расчета результирующей нагрузки имеет вид:
Определим результирующую нагрузку в
режиме максимального ветра:
Режим гололеда с ветром
В этом режиме к вертикальной нагрузке от веса
проводов добавляется вертикальная нагрузка от веса гололеда. Вертикальная
нагрузка от веса гололеда на контактном проводе и несущем тросе определяем по
нижеследующим формулам. Для несущего троса:
для контактного провода:
В этих формулах:
Для II района по
толщине стенки гололеда:
где: ???? -ширина
провода:
???? =13,9мм [
1,прил. 2 ]
,8-поправочный коэффициент к весу
гололеда на несущем тросе, учитывающий гололедообразование на нем.
Тогда:
Полная вертикальная нагрузка от веса
гололеда на контактной подвеске определяется по формуле:
где: Тогда:
Горизонтальная нагрузка от ветрового
воздействие на провода, покрытые гололедам, определяются по формулам:
на несущий трос
на контактный провод
где: Результирующая нагрузка на несущий
трос, согласно рис. 1.1(б) следующая:
Тогда:
1.3
Натяжение
проводов контактной сети
Натяжение проводов контактной сети во многом
определяет состояние провеса проводов при изменении температура окружающего
воздуха.
Натяжение контактных проводов в компенсированной
подвеске благодаря компенсатором, остается постоянным и принимается только в
зависимости от марки проводов. Для проводов марки БрФ-120 принимается натяжение
????=2000даН/м [1,стр
63]
Натяжение несущего троса независимо от погодных
условий и при беспровесном состоянии контактного провода в компенсированной
подвеске остается низменным и равно:
????= 1.4Определение максимальных
допустимых длин пролетов
От длины пролетов между опорами
зависит стоимость контактной сети, т.к. при расстояние между опорами
увеличивается количество опор, фиксирующих и поддерживающих конструкций. Однако
увеличивать длину пролета также неэффективно , так как от нее зависит
наибольшее горизонтальное отклонение контактных проводов от оси токоприемника
под действием ветра - на прямых участках:
на кривых участках:
Ветровые отклонение проводов зависят от расчетных
климатических условий (ветровых и температурных воздействий, гололедных
отклонение, а также особенностей местности, где находятся провода). Нормативная
скорость ветра во II
ветровом районе составляет:
????=32км/ч
[1,стр 57],
нормативная толщина стенки гололеда и скорость
ветра при гололеде во II
районе по толщине стенки гололеда:
Для определения длин пролетов
воспользуемся следующими формулами:
где:
а- зигзаг контактного провода:
на прямых а=0,3м [2]
на кривых а=0,4м [2]
????-радиус
кривой.
Упростим формулы (1.13) и (1.14),
определив выражение в скобках, обозначив их Тогда формула (1.13) и (1.14) приму
т вид:
И
Опора прогибается на уровне
крепления несущего троса и контактного провода. Прогиб опор зависит от ветровой
нагрузки и соответственно величины Таблица.1.2
????,м/с
до
25
30
35
40
Таблица 1.3
????,м/с
до
25
30
35
40
0,877
0,866
0,850
0,832
0,84
0,835
0,828
0,82
Коэффициент К₁
определяется по выражению:
К₁=К₂+2ηδξ
(1.9)
где: η и
δ-
коэффициенты,
учитывающие пульсацию ветра
ξ- коэффициент динамичности
К₂-
коэффициенты, определяемый по формуле:
К₂=К₃К₄К₅
(1.20)
В этой формуле коэффициенты К₃
,К₄
и К₅
зависят соответственно от длины пролета, от скорости ветра и от веса контактных
проводов с учетом гололеда на них, если таковой имеется:
Удельная эквивалентная нагрузка,
учитывающая взаимодействие несущего троса и контактного провода при ветровом
отклонении где: ????- натяжение
несущего троса контактной подвески
ℓ-длина пролета
Длина гирлянды подвесных изоляторов
несущего троса зависит от числа изоляторов. При проектировании контактной сети
переменного тока применяем 4 изолятора общей длиной:
Средняя длина струны где: H-конструктивная
высота контактной подвески:
????=1,8м [2]
????-нагрузка от веса поводов
контактной подвески, определяемая по формуле (1.1)
????ο-натяжение
несущего троса при беспровесном положении контактных проводов.
Так как формулы (1.13), (1.14) и
(1.20) взаимосвязаны между собой, необходимо задаться величинами К₁ и .4.1.Расчет длин пролетов на прямых
участках в режиме максимального ветра.
Зададимся при этой длине пролета необходимо
определить коэффициент К₁ и величину
эквивалентной нагрузки. Для расчета К₁ выберем следующие величины:
коэффициенты ???? и ????₃ в
зависимости от длины пролета ℓ=81м:
????=0,54 (1,стр 67)
????₃=0,62 (1,стр
67)
коэффициенты ???? и ????₄ в
зависимости от скорости ветра ????=32м/с:
????=0,22 [1,стр 67 ]
????₄=1,35 [1,стр
67]
Величина нагрузки от веса контактных
проводов, согласно формулы (1,21):
При ξ=0,96 [1,стр 67]
????₅=1,04 [1,стр
67]
Тогда:
????₂=0,62·1,35·1,04
????₂=0,870
????₁=0,870+2·0,54·0,22·0,96
????₁=1,1
Средняя длина струны определяемая по
формуле (1.23) будет:
Поставляя рассчитанные и известные
величины в формулу (1.22), имеем:
Поставляя рассчитанные значения Средняя длина струны:
Эквивалентная нагрузка:
Так как величины не изменились, то
дальнейшее уточнение длины пролета не имеет смысла и окончательно принимаем
длину пролета на прямых участках в режиме максимального ветра:
однако по условием токосъема [ 2 ]
длина пролета не может быть более 60м, следовательно принимаем длину пролета на
прямых участках в режиме максимального ветра:
1.4.2 Расчет длин пролетов на кривых
участках в режиме максимального ветра
На проектируемом участке железной
дороги имеется два кривых участка радиусом 1800и 2000м. необходимо определить
длины пролетов на обеих кривых.
Средняя длина струны:
Эквивалентная нагрузка:
Подставим В формулу (1.18) и пересчитаем длину
пролета:
Два последних расчета длин пролетов
отличаются менее чем на 5%, поэтому принимаем длину пролета на кривых радиусом
1800 м в режиме максимального ветра:
однако по условием токосъема [ 2 ]
длина пролета не может быть более 60м, следовательно принимаем длину пролета на
прямых участках в режиме максимального ветра.Теперь произведем такие же расчеты
для кривой радиусом 2000м. Сначала принимаем При этой длине пролета:
Средняя длина струны:
Эквивалентная нагрузка:
Длина пролета при э= -0,18 даН/м и ????₁=1,1:
Отличие между двумя последними
расчетами длин пролетов отличаются менее чем на 5%, поэтому принимаем длину
пролета на кривой ????=2000м в
режиме максимального ветра:
однако по условием токосъема [ 2 ]
длина пролета не может быть более 60м, следовательно принимаем длину пролета на
прямых участках в режиме максимального ветра.
.4.3 Расчет длин пролетов на прямых
участках в режиме гололеда с ветром
Также, как и при расчете в режиме
максимального ветра задается величинами Однако по условием токосъема [ 2 ]
длина пролета не может быть более 60м, следовательно принимаем длину пролета на
прямых участках в режиме максимального ветра:
Определим при этой длине пролета.
Для этого уточним необходимые коэффициенты:
Нагрузки от веса контактных проводов
в режиме гололеда с ветром по формулы (1,21):
тогда при ξ= 0,96 [1,стр 67]
,04 [1,стр 67]
Отсюда:
Средняя длина струны:
Эквивалентная нагрузка:
Поставив рассчитанные значения Разница в расчетах Средняя длина струны:
Эквивалентная нагрузка:
Поставим .4.4 Расчет длин пролетов на кривых
участках в режиме гололеда с ветром
При этой длине:
Средняя длина струны:
Эквивалентная нагрузка:
Поставим полученные значение окончательно принимаем длину пролета
на кривых ????=1800м в
режиме гололеда с ветром:
Теперь рассчитаем длину пролета на
кривой ????=2000м.
Средняя длина струны:
Эквивалентная нагрузка:
Пересчитаем длину пролета при Окончательно принимаем длину пролета
на кривых =2000м в режиме гололеда с ветром:
однако по условием токосъема [ 2 ]
длина пролета не может быть более 60м, следовательно принимаем длину пролета на
прямых участках в режиме максимального ветра.
1.5 Вывод
Исходя из расчетов длин пролетов на
прямых и кривых участках пути делаем вывод:
длина пролета на прямых участках
принимается:
длина пролета на кривой радиусом
1800м принимается:
длина пролета на кривой радиусом
2000м принимается:
1.6 Проверка возможности
расположения питающих проводов и проводов ДПР на опорах контактной сети
Для возможности расположения этих
проводов на опорах контактной сети, должно выполнится условия:
где:
Для определения последних,
необходимо определить нагрузки действующие на них и рассчитать длины пролетов в
двух режимах.
.6.1 Расчет длин пролетов проводов
ДПР
Провода ДПР размещаются с полной
стороны на высоте 9.0м. ( рис 1.1 и рис 1.2). Согласно расстояние до земли не
должно быть менее 7м.
Стрела провеса проводов должна не
более :
Максимальная длина пролета
определяется по формуле:
Натяжение провода зависеть от
механических характеристик, т.е только от марки проводов. В качестве поводов
ДПР используются провода типа АС-50, натяжение которых не должно превышать 520
даН.
Рис. 1.1. Схема размещения
изолирующих сопряжений
Рис. 1.2. Схемы сопряжений анкерных
участков с нейтральной вставкой при электрической (а) и моторовагонной (б)
тяге.
С учетом запаса прочности, примем
натяжение проводов ДПР:
d-диаметр
провода:
d=9,6 мм
[1,прил 2]
р- нагрузка от ветра на провода,
покрытые гололедом, определяемая по формуле (1.10), где:
Аэродинамический коэффициент Результирующая нагрузка:
Максимальная длина пролета в обеих
режимах по формуле (1.20):
так как длина пролета в обеих
режимах выходит более 70м, то распологат провода ДПР на опорах контактной сети
допустимо.
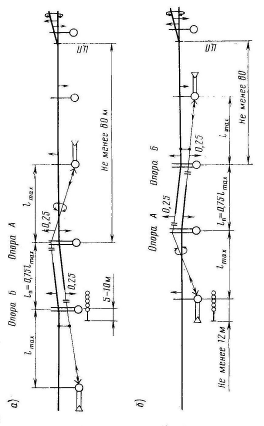
1.7 Трассировка контактной сети
перегона
План контактной сети перегона
выполняют в масштабе 1:2000. Ось каждого пути изображают прямой линией, на
которой наносят условные обозначение. Искусственных сооружений, переездов,
пересечений воздушных линий электропередачи и связи. Ниже этих прямых размещают
план линии, на которых еще дополнительно показывают кривые, их длины и радиусы.
На план наносят условные обозначение изолирующих сопряжений и их опор,
координаты которых имеются на чертежах контактной сети смежных станций. Затем
производят расстановку опор на перегоне с учетом требуемых требований.
Расстановку опор на перегоне начинаются с переноса на план перегона опор
изолирующих сопряжений станции, зигзагов контактного провода. Далее намечаем анкерные
участки КС и примерное расположение мест их сопряжений. В середине анкерных
участков намечаем примерное расположение мест средних анкеровок.
Намечая анкерные участки подвески,
исходим из следующих соображений:
количество анкерных участков на
перегоне должно быть минимальным;
max. длина
анкерного участка контактного провода на прямой принимается не более 1600м;
на участках с кривыми длину
анкерного участка уменьшают в зависимости от радиуса и расположения кривых,
предельные для анкерных участков контактных подвесок, расположенных полностью
на кривых участках пути различных радиусов, показаны в табл.1.1 [1];
сопряжение анкерных участков
рекомендуется устраивать на прямых;
Пролеты средними анкеровками
уменьшаем на 5% (2 по 5%) от максимальной длины в этом месте. На изолирующих
трехпролетных сопряжениях длину пролета сокращаем на 25% от максимальной
расчетной на этом участке, а на неизолирующих сопряжением- по мере
необходимости можем сокращать на 5м. от края каменной трубы опоры располагаем
не ближе 5м. Неизолирующие сопряжение анкерных участков на перегоне выполняем
эластичными в 3х пролетах с разанкеровкой НТ и КП.Расстановка опор производится
пролетами, по возможности равными допустимым для соответствующего участка пути
и местности, полученным в результате расчета длин пролетов ( п.п. 1.4).
Намечая места установки опор,
следует заносит их пикетам в соответствующую графу таблиц, между опорами
указывать зигзаги контактных проводов.
На прямых участках зигзаги
направляем поочередно у каждой опоры то в одну, то в другую стороны, начиная от
зигзага анкерной опоры, перенесенной с плана станции. На кривых участках пути
контактным проводам придаем зигзаг в направлением от центра кривой. Зигзаг на
кривой зависит от радиуса и колеблется от 0,15 до 0,4м.
В местах перехода с прямого на
кривой участок в случае неувязки зигзага необходимо несколько сократить длину
пролета на прямой, что установить опору с нулевым зигзагом контактного провода.
Длины пролетов, частично
расположенных на прямой и кривой могут быть принятыми равными или чуть
большими, чем допустимых длины пролетов, принятых на кривой.Необходимо
осуществить нумерацию анкерных участков. Анкерные участки нумерируют в
направлении счета километров, со стороны первого пути нечетные номера, со
стороны второю - четные.
На плане также трассируем провода
ДПР 27,5 кВ и питающие провода системы 2х25 кВ.
Промежуточные железобетонные опоры
на прямых устанавливаем с нормальным габаритом 3,1 м. габарит промежуточных
опор на кривых увеличиваем в зависимости от радиуса кривой:
Габарит железобетонных анкерных опор
принимаем на 0,2 больше, чем промежуточных для установки грузов компенсаторов.
Габарит опор, расположенных перед светофором должен иметь величину не менее
3,5м.
1.8 Секционирование
и питание контактной сети
Для обеспечения надежной работы и
удобства обслуживания контактную сеть секционируют, т.е. разделяют на отдельные
участки (секции), электрически независимые друг от друга. Секционирование
осуществляется с помощь изолирующих сопряжений анкерных участков и секционных изоляторов.
Соединение секций производят через секционные разъединители. Такое деление
контактной сети позволят в случае необходимости отключить любую секцию, не
нарушая движения поездов на остальных участках.
Контактную сеть делят на секции в
местах примыкания перегонов к станции - продольное секционирование. При этом
контактная сеть на каждом перегоне и каждой станции выделяется в отдельную
секцию. Причем каждый главный путь станций и пригона выделяют в отдельную
секцию - поперечное секционирование. Местах сопряжение секций устанавливают
продольные разъединители. Для поперечного соединения секций устанавливают
поперечные разъединители.
Схема питания и секционирования
должна предусматривать электроснабжение электровоза энергией от двух смежных
тяговых подстанций.
На дорогах однофазного переменного
тока питании отдельных участков осуществляется от разных фаз для уменьшения
неравномерности нагрузки. В месте раздела питания для устранения замыкания
полозом токоприемника проводов различных фаз устраивают изолирующее сопряжение
с нейтральной вставкой. Нейтральная вставка все время находится без напряжения,
однако необходимо предусмотреть разъединители для подачи напряжения на нее в
случае остановки ЭПС под ней. Место расположения нейтральных вставок выбирает
таким образом, чтобы поезд прошел ее без остановки при входе на нее при
скорости 20 км/ч.
Для продольного секционирования
контактной сети применяют изолирующие сопряжения анкерных участков. Они
обеспечивают механическое и электрическое разделение двух смежных анкерных
участков (рис 1.2).Выполняют его как правило в трех пролетах.
Сопряжения анкерных участков с
нейтральной вставкой состоит из двух последовательно соединенных изолирующих
сопряжений.
В состав современных требований к
работе железнодорожного транспорта входит необходимость дистанционного
телеуправления разъединителями контактной сети. В связи с этим следует
предусматривать двигательные приводы (кроме разъединителей с заземляющими
ножами в тупиках, на путях нагрузочной - разгрузочных работ и разъединителей,
предназначенных для шунтирование секционных изоляторов на время работ).
1.9 Выбор поддерживающих и опорных
конструкций
При проектирование контактной сети
выбор поддерживающих конструкций состоит в привязке типовых конструкций к
конкретным условиям установки.
В настоящее время на вновь
электрифицируемых участках применяют неизолированных прямых наклонные
однопутные консоли. Изолированные консоли из-за недостаточной прочности
консольных изоляторов используют ограниченно в местах невозможности обеспечения
достаточной безопасности при производстве работ баз снятия напряжения.
На проектируемом участке применяем
консоли неизолированные однопутные типа КИС-2-неизолированные наклонные консоли
с растянутой тягой, кронштейном из швеллера N5, длина
кронштейна 4730мм. На средней анкеровке переходных опорах используются также
консоли типа КИС-2-неизолированные консоли со тягой, кронштейном из швеллера N5, длина
кронштейна 4730 мм.
В качестве опорных конструкций
используем конические железобетонные опоры с напряженной арматурой длиной 13,6
м.Для определения несущей способности опор нужно определить допустимый
изгибающий момент M в уровне УОФ - условного обреза фундамента.
Произведем расчет промежуточной
опоры для наиболее тяжелого участка перегона - на кривой радиусом 1800м. расчет
произведем в двух режимах: режиме максимального ветра и режиме гололеда с
ветром .
На рис 1.2 приведена расчетная схема
опоры с расположенными на ней проводами и устройствами на ней имеются:
прямая наклонная консоль типа КИС-2
на внешней стороне кривой и типа КИС-2 на внутренней;
контактная подвеска М 120 + БрФ 120;
питающий провод тип А-150;
провод ДПР типа АС-50;
провод группового заземления (Г3)
типа АС-70;
кронштейн КФ-5.
С начало произведем расчет опоры в
режиме максимального ветра. Для этого режима определим нормативные нагрузки,
действующие на опору.
Вертикальные нагрузки от веса
проводов контактной подвески, ДПР, Г3, и питающих проводов:
Где:
Вертикальные нагрузки от веса
консолей с учетом части веса фиксаторов ′ф и от веса кронштейна типа
КФДС-5
для консоли КИС-2:
для кронштейна КФДС-5:
Горизонтальные нагрузки от давления
ветра на трос, контактный провод, питающий провод, провод ДПР и провод
группового заземления, которые передаются с проводов на опоры:
Горизонтальные нагрузки от давления
ветра на опору:
Теперь подсчитаем значение
изгибающего момента для той же опоры в режиме гололеда с ветром. Формула для
расчета остается та же (1.27), только поменяются некоторые данные: нагрузка от
веса гололеда на проводе ГЗ; формула для расчета (1.21):
Нагрузка от давления ветра на провод
ГЗ, покрытый гололедом; формула для расчета (1.10):
Вертикальные нагрузки от веса
проводов:
Вертикальная нагрузка от веса
консолей и кронштейнов:
для КИС-2 :
для КФДС-5:
Нагрузки от давления ветра на провода,
покрытые гололедом:
Нагрузка от давления ветра на опору:
Согласно расчетов делаем вывод: на
кривой радиусом 1800м с наружной стороны необходимо применять опоры второй
несущей способности типа С136,6-2:
На остальных участках дороги
применяем опоры также первой несущей способности типа С136,6-1 с нормативным
изгибающим моментом:
Опоры такого же типа , только з-ей
несущей способности применяем в качестве анкерных, так как значительная доля
нагрузки от натяжение проводов воспринимают оттяжки с анкерами, рассчитанные на
определенное натяжение проводов и тип контактной подвески. Анкерные
железобетонные опоры состоят из стойки С163.6-3, оттяжек А-1 ( на перегоне),
А-2 ( на станции), А-3 (не средних анкеровках), 3-х лучевого анкера ТА-4 и
опорной плиты ОП2.
2.
Экономическая часть
.1Расчет стоимости сооружения
контактной сети
Для расчета стоимости сооружения
проектируемых устройств контактной сети составляют сметы на строительные и
монтажные работы, материалы и оборудование. Исходными данными для составления
смет являются спецификации к планам контактной сети, а также цены на отдельные
работы и затраты, приведенные в , приложение 14.
Используемые здесь цены составлены
по материалам сметно-финансовых расчетов проектных институтов, выполненных для
центральных районов европейский части СНГ ( I
территориальный район) в ценах, действующих с 1 января 1991 г. окончательные
суммы пересчитаны в зависимости от вида работ и затрат с учетом индексации по
состоянию на настоящий момент.
Отличительной особенностью этих цен
является их укрупнение; объединение в одной цене стоимости комплекса работ и
затрат. Так, например:
цена за установку нераздельной опоры
учитывает разработку котлована, установку опоры с опорной плитой и лежнями или
без них, засыпку пазух котлована с послойным трамбованием, регулировку
положения и нумерацию опоры;
цена за установку раздельной опоры
учитывает все указанное, а также установку и гидроизоляцию фундамента и
устройство бетонного оголовка;
цена за установку анкера учитывает
разработку котлована, гидроизоляцию и установку анкера, установку и окраску
металлических оттяжек, засыпку пазух котлована с трамбованием;
цена за установку жёстких поперечин
учитывает комплектование поперечин, сборку, крепление и стоимость металлических
оголовков, установку и закрепление поперечин, окраску поперечин ;
цена за установку консолей учитывают
сборку, установку и регулировку консолей, установку подкосов, если они есть;
армирование консолей изоляторами и т. д.
При использовании приведенных цен
необходимо учитывать дополнительные упрощения:
в таблицах приведена только цены за
основные работы, материалы и оборудование; мелкие работы расцениваются в
процентах от общей суммы; стоимости некоторых конструкций (кронштейнов, стоек,
надставок) и работ, мало отличающихся друг от друга, объединены;
Определим сметную стоимость
строительных и монтажных работ, материалов и оборудования контактной сети
перегона ( табл.1).
Таблица 1
Наименование работ или затрат
Еденица измерения
Количество
Цена
Сумма
Строительные работы
Установка
железобетонных одиночных нераздельных опор:
на
станции
шт
45
200690
9031050
на
перегоне
шт
10
202886
2028860
с
ОП на станции
шт
110
308599
33945890
с
ОП на перегоне
шт
337116,5
0
Установка
железобетонных сдвоенных нераздельных опор с ОП на станции
шт
385764
0
Установка
железобетонных одиночных раздельных опор в фундаменты сакан. типа,
устанавливаемые вибропогружением:
на
станции
шт
10
363072
3630720
на
перегоне
шт
376919
0
Гидроизоляция
ж.б опор
шт
165
608,7312
100440,648
Уст-ка
ж.б. анкеров с оттяжками
шт
43
326197,5
14026492,5
Поперечины
на одну опору 2-4 пути
шт
22
457500
10065000
Тоже
5-7 путей
шт
14
575321,5
8054501
более
8 путей
шт
805230,5
0
Поперечины
на две опоры 5-7 пути
шт
879345,5
0
более
8 путей
шт
317,96
0
Стоимость
С136,6-1
шт
42
384300
16140600
С136,6-2
шт
20
405650
8113000
С136,6-3
шт
84
463600
38942400
С136,7-4
шт
573400
0
С108,6-1
шт
292190
0
308050
0
350750
0
442250
0
207095
0
222955
0
ТС10-4
шт
10
225395
2253950
244915
0
ТА-4
шт 177815
7646045
194285
0
ОП-2/ОП-1
шт
110
14121,5
1553365
ОП-3
шт
14121,5
0
28
0
135725
0
А-2
шт
36
125050
4501800
А-1
шт
85400
0
А-3
шт
7
79300
555100
Уст-ка
неиз швел консо до 75 кг
шт
83
53283,5
4422530,5
76-150
кг
шт
66520,5
0
свыше
150 кг
шт
90158
0
Стоимость
консолей, т
т
5,559
1616500
8986123,5
Ст-ть
закл дет консол, комплект
комплект
72
25711,5
1851228
Ст-ть
метал констр жест попер, т
т
51,015
1354200
69084513
Итого
сум
244933609
Мелкие
неучт раб
%
1,5%
3674004,14
итого
сум
248607613
накл
расх на строй раб и стоим ж/б констр и оттяж
%
1,4E+08
18,80%
27132336,9
тоже
на устан метал констр-конс, жест попер, мет опор и т.д. и их стоимость
%
1E+08
8,60%
8652689,45
Итого
сум
284392640
план
накопл
%
8,00%
22751411,2
Всего
по строй раб
сум
307144051
Наименование работ или затрат
Еденица измерения
Количество
Цена
Сумма
Монтажные работы
Раскатка
поверху НТ, км
км
13,922
320250
4458520,5
Раскатка
поверху 1хМФ, км
км
13,922
102480
1426726,56
Раскатка
поверху 2хМФ, км
км
174460
0
регулир
конт подвес рессорной
км
13,922
954650
13290637,3
то
же неррессорной
км
719800
0
регулир
двоного кп подвески элатичн
км
1055300
0
то
же ромбовидной
км
1192550
0
Под
пеш мостом, проход
проход
9
186050
1674450
малым
путепроводом
м
314150
0
По
мосту, езда понизу, м
м
69845
0
Уст-во
плавки льда, >=10мм, км.гл.путь
км
6,3427
85705
543601,104
Противоветр
уст-во >= 30м/с, км гл путь
км
169275
0
237900
0
Щиты
моста, 25 кг, т
т
0,45
2522350
1135057,5
Монтаж
стрелки возд с 1хМФ, узел
узел
22
65575
1442650
84027,5
0
Монтаж
оттяжки фиксирую
шт
43
16805,5
722636,5
Жесткая
анкеровка
шт
37
18727
692899
Компенсир
анкеровка
узел
27
30378
820206
Полукопен
трех проле сопр без секцио
узел
2
683200
1366400
с
секционир
узел
6
1250500
7503000
Компенсир
трех ролет сопрж без секц
узел
716750
0
с
секционир
узел
1277950
0
Сред
анкер компенс подвески
узел
164395
0
монтаж
1-го провода ДПР,ПИТ
км
5,2
1403000
7295600
след
провода
км
5,2
799100
4155320
анкеровка
1-го провода ДПР,ПИТ
км
6
86010
516060
след
провода
км
6
21594
129564
стоимость
КФ-5
шт
47
40260
1892220
КФДС-5
шт
46
61000
2806000
КФУ-5
шт
47
61000
2867000
МОНТАЖ
ГРУП ЗАЗЕМЛ
км
1,466
192455
282139,03
заземл
опор
шт
135
26047
3516345
Монтаж
искрового промеж
шт
72
423,95
30524,4
монтаж
секц изол
шт
8
156160
1249280
монтаж
секц разъеден
шт
15
162870
2443050
монтаж
рогового
шт
4
77775
311100
монтаж
трубчат
шт
10
19520
195200
армирование
косоль усиление2 пути
шт
57950
0
3-5
пути
шт
30
114985
3449550
6-8
пути
шт
160125
0
итого
сум
66215736,9
мелкие
неучт раб
%
5%
3310786,84
итого
сум
69526523,7
наклад
расходы
% 20%
13905304,7
итого
сум
83431828,5
план
расходы
%
8%
6674546,28
Итого
по мант раб
сум
90106374,8
Наименование работ или затрат
Еденица измерения
Количество
Цена
Сумма
Материалы
провода
пбсм-70
км
7,495
2089250
15658928,8
пбсм-95
км
6,427
2623000
16858021
пбса50/70
км
1,466
1482300
2173051,8
486
0
м-70
т
4178500
0
м-95
т
4117500
0
мф-120
т
4148000
0
мф-85
т
5,7
3153700
17976090
мф-100
т
5,72
5032500
28785900
мг-70
т
4
4880000
19520000
мг-95
т
2
4712250
9424500
А95
т
2989000
0
А150
т
3095750
0
А185
т
5,3
3095750
16407475
АС50
т
5,2
3827750
19904300
А50
т
3827750
0
АС70
т
3782000
0
БСМ1
4ММ
т
6
3202500
19215000
БСМ1
6ММ
т
8
3111000
24888000
ИТОГО
сум
190811267
ПРОЧИЕ
НЕУЧТЕННЫЕ МАТ
%
5,00%
9540563,33
ИТОГО
сум
200351830
ПЛАН
НАКОП
%
8,00%
16028146,4
ВСЕГО
ПО МАТЕР
сум
216379976
0
0
216379976
Наименование работ или затрат
Еденица измерения
Количество
Цена
Сумма
Оборудование
РНД35-100У1
шт
2
183000
366000
РНДЗ
35-100У1
шт
366000
0
УМП-2У1
шт
2
335500
671000
ПР-90-У1
шт
259250
0
РОГОВОЙ
шт
8
11895
95160
ТРУБЧАТЫЙ
шт
20435
0
ИМП-62-2У1
шт
200
3111
ИСМ-1М
шт
664900
ПФ-70В
шт
3200
15555
49776000
35075
0
ИТОГО
сум
50908160
НАЧИСЛЕНИЕ
НА ОБОР
%
6,20%
3156305,92
ИТОГО
мум
54064465,9
0
0
54064465,9
0
0
54064465,9
По итогу сметы следует определить стоимость
сооружения 1 км контактной сети перегона
в таблицах даны цены за строительные
и монтажные работы, выполняемые при условии новой электрификации при
максимальной механизации работ;
стоимость работ, выполняемых вблизи
действующих путей, дана с коэффициентом, учитывающим размеры движения к=1,7,
что соответствует 72-112 парам поездов в сутки;
принято, что все работа, выполняемые
в «окна» производятся в «окна» 2 ч; исключение составляет только раскаты и
регулировка проводов контактной подвески боковых путей станции.
Таким образом, приведенные в
таблицах цены могут рассматриваться только как ориентировочные.
При необходимости оценки демонтажа
конструкций или подвески допустимо принимать цену за демонтаж равной 50%
стоимости соответствующих работ по монтажу и установке.
3.Охрана труда
.1Критерии безопасности заземлений
устройств электрической тяги переменного тока
Безопасность является одним из основных
требований, предъявляемых к заземлениям. Количественно это требование
выражается наибольшей допустимой величиной разности потенциалов между двумя
точками заземления, доступными для одновременного прикосновения телом человека
[1].Эта величина в основном определяется наибольшим допустимым значением тока,
проходящего через тело человека, и длительностью его воздействия.
В качестве допустимой величины тока,
протекающего через тело человека в течение весьма длительного времени
(полминуты и более), следует принимать такую величину, которая не превышает
порогового значения ощущаемого тока, характеризующегося едва заметным
покалыванием пальцев руки, держащей один из контактов.
Экспериментальныеисследования [2] показали, что
пороговое действующее значение ощущаемого синусоидального тока 50…60 Гц
изменяется в пределах 0,6…2,0мА. Средняя действующая величина порогового
значения, определенная из опыта над 167 здоровыми мужчинами в возрасте от 18 до
50 лет, составила 1,086 мА.
Действующая величина этого значения зависит от
формы волны тока, протекающего через тело человека. В случае прикосновения к
заземлителю она подобно форме тока заземлителя. При длительном режиме питания
выпрямительной нагрузки средняя величина действующего значения порогового тока может
быть принята равной 1,50 мА. Величина этого значения тока для женщин составляет
0,67 от соответствующего значения для мужчин. В качестве порогового значения
следует принять меньшую величину. Таким образом, в длительном режиме
действующая величина порогового значения ощущаемого тока при выпрямительных
электровозах [????]=1 мА.
В ряде случаев приходится считаться с
возможностью случайного прикосновения людей к элементам заземления. При этом
разности потенциалов между точками прикосновения могут в течение сравнительно
короткого времени (несколько секунд) достигать максимальных значений. Для
обеспечения безопасности в этом случае необходимо, чтобы величина тока,
протекающего через тело человека, не превышала порогового значения отпускающего
тока, при котором еще возможен самостоятельный отрыв руки человека от
токоведущего элемента. Исследования Далзиела[3] показали, что пороговое
значение отпускающего тока 50 60 Гц для 99,5% мужчин составляет 9 мА, для
женщин 6 мА. Величина порогового значения отпускающего тока не зависит от
длительности его воздействия. В качестведопустимой величины тока через тело
человека при случайном прикосновении следует принять пороговое значение
отпускающего тока 6 мА. В тех редких случаях, когда самостоятельный отрыв руки
( рук ) невозможен, не возникает опасности для здоровья человека, если
длительность воздействия тока не превышает 30 сек.
Следовательно, величина 6 мА должна
соответствовать максимально возможным потенциалом заземлителя, вызываемым
максимальными пиковыми нагрузками заземлителя, длительность которых превышает 5
сек , но меньше 30 сек.
Наконец, возможен наиболее неблагоприятный
случай прикосновение к заземлителью в момент протекания через него тока
короткого замыкания, а также при протекании через него максимальной пиковой
нагрузки длительностью до 5 сек. При кратковременном протекании тока через
организм человека безопасность будет обеспечена, если величина тока не
достигает минимальной величины, при которой возможно возникновение
вентрикулярной фибрилляции сердца.
На основе статической обработки
результатов экспериментальных исследований вентрикулярной фибрилляции,
выполненных на животных, вес сердца и общий вес которых был близок к весу
сердца и общему весу человека, Далзиелом в 1960 г. была установлена зависимость
предельного тока, не вызывающего фибрилляции, от длительности воздействия [4].
В частности, Далзиелом было показано, что при переменном синусоидальном токе
50…. 60 Гц при длительности воздействия от ≤ где c=165÷185;
t-длительность
воздействия, сек.
С некоторым запасом нефибрилляционный
ток для мужчин определяется выражением
Для получения нефибрилляционный тока
для женщин выражение (2) должно быть умножено на 0,67, тогда получим
Это выражение можно принять в
качестве предельно допустимого значения нефибрилляционного тока 50 Гц. По
формуле (3) получаем величину тока, который только в 99,5% общего числа всех
прикосновений женщин к элементам заземления не вызывает фибрилляции. Поэтому
величина нефибрилляционного тока (3) должна соответствовать максимально
возможным разностям потенциалов заземлителя в режиме короткого замыкания при
наиболее неблагоприятных условиях. С учетом этого обстоятельства вероятность
возникновения фибрилляции в результате прикосновения к заземлителю при коротком
замыкании становится весьма малой, но не равной нулю. В связи с этим особое
значение приобретает использование портативных дефибрилляционных аппаратов,
пригодных для применения в условиях тяговых подстанций и контактной сети. В
послевоенный периоддефибрилляционные аппараты успешно применяются в нашей
стране.
Как видно из рис. 1, зависимость
допустимого от длительности воздействия характеризуется тремя диапазонами
времени. Первый диапазон, охватывающий период 0,01…5 сек, соответствует
кратковременному воздействию тока при коротком замыкании, а также при
максимальных пиках нагрузки. В этом диапазоне зависимость тока от времени носит
резко выраженный характер и определяется выражением (3).
Второй диапазон (5…30 сек)
соответствует сравнительно непродолжительному воздействию тока при максимальных
нагрузках длительного режима. В этом диапазоне величина тока не зависит от
времени и принята равной 6 мА.
Наконец, третий диапазон (свыше 30
сек) относится к весьма длительному воздействию тока при длительных режимах. В
этом диапазоне величина тока также не зависит от времени и принята равной 1 мА.
Функция [????] (t) позволяет
установить зависимость предельно допустимого напряжения, которое может быть
приложено к человеку, касающемуся элемента заземления.
Наиболее характерными путями
прохождения тока являются пути тока от одной руки к другой «рука - рука», от
руки к ногам «рука-ноги» и от одной ноги к другой «нога-нога». Средние и
особенно максимальные значения сопротивлений этих трех путей тока могут
существенно отличаться даже у одного человека.
Рис. 2. Зависимость сопротивления тела человека
от величины приложенного напряжения по данным Коувенховена, Бодье, Далзиела, А.
П. Кислева, В. Е. Манойлова
Средние и особенно максимальные значения
сопротивлений этих трех путей тока могут существенно отличаться даже у одного
человека. Однако минимальные величины этих сопротивлений, представляющий
наибольший интерес, отличаются незначительно о могут характеризоваться одной
величиной ( рис. 2). На этом же рисунке представлена зависимость протекающего
через тело человека тока от приложенного напряжения
Из рис. 2 видно, что величина
сопротивления человека изменяется в исключительно широких пределах от 100·10³ ом( при
напряжении 0,1 В) до 0,3·10³ ом ( при напряжении выше 500 В). В
интересующем нас диапазоне напряжений величина тока через тело человека
изменяется в пределах от 1 мА ( при 6 В) до 1000 мА ( при 400 В).
Из этой зависимости видно, что при
изменение времени воздействия от 0,1 до 0,6 сек (реальный диапазон времени
короткого замыкания) допустимое напряжение снижается от 220 до 130 В. При
увеличениидлительности максимальных пиков нагрузки до 5 сек допустимое
напряжение снижается до 65 В. Наконец, при максимальных нагрузках длительностью
5…30 сек допустимое напряжение составляет 18 В, а при длительности свыше 30 сек
лишь 6 В.
Полученные результаты позволяют
приступить к анализу допустимых разностей потенциалов между двумя точками
заземлителя, удовлетворяющего требованию безопасности. Очевидно, что в тех
случаях, когда прикосновение человека к элементу заземления вызывает
прохождение тока по пути «рука-рука», допустимая разность потенциала между
двумя рассматриваемыми точками численно равна допустимому напряжению [????],
зависимость которого от времени воздействия дана на рис. 3. Характерным
примером, иллюстрирующим этот случай, является одновременное прикосновение
человека к заземленной шине и корпусе (металлической конструкции)
высоковольтноговыключателя ( рис. 4). Даже в том случае, когда контур
заземления подстанции связан с рельсами подъездного пути, к которым
присоединена заземляющая шина, между заземляющей шиной и корпусом масляного
выключателя будет постоянно существовать определенная разность потенциалов.
Величина этой разности определяется падением напряжения, вызываемым протеканием
тока отсоса по заземляющей шине и отсасывающим рельсам ( от вывода фазы ???? масляного
выключателя до рельсов подъездного пути) и по стальным полосам контура
заземления (от рельсов подъездного пути до корпусом масляного выключателя ).В
тех случаях, когда величина этой разности превышает значения (t) (см. рис.
3), необходимо либо снизить общий потенциал цепи отсоса, либо, что, как
правило, более просто, связать корпус масляного выключателя непосредственно с
заземляющей шиной. Для уменьшения тока, ответвляющегося через конструкцию
масляного выключателя и связанные с ней металлические покровы кабелей, на вновь
строящихся тяговых подстанциях следует использовать только алюминиевые
отсасывающие шины.
Рассмотрим второй случай, когда человек
стоит на земле в зоне растекания тока. В этом случае ток протекает по пути
«нога -нога». Известно, что протекание тока по этому пути во много раз менее
опасно, чем по путям «рука - рука» или «рука-нога». В частности, величина
нефибрилляционного тока при пути «нога-нога» примерно в 25 раз превышает
значения, представленные на рис. 1. Однако, по - видимому, и для этого пути
тока целесообразно использовать полученные выше зависимости (t) (см. рис.
1) и (t) (см. рис.
3). Это объясняется падением (весьма вероятным) человека на землю, вызываемым
превышение допустимых величин тока (см. рис. 1).
Характерной особенностью заземления
устройств электрической тяги является использование тяговых рельсов в качестве
основной заземляющей на гистрали. Роль одного из элементов заземления на
тяговой подстанции выполняют также рельсы подъездных путей.
Рассмотрим третий случай, когда
человек одной ногой стоит на земле, а другой ногой касается рельса.
К этому же случаю относится
ситуация, когда человек одной ногой стоит на земле, а другой касается
локомотива или цельнометаллического вагона, потенциалы которых не отличаются от
потенциала рельсов.
В этом случае ток также протекает по
пути «нога-нога», а предельно допустимая разность потенциалов между рельсом и
землей
[ Из (7) видно, что величина [ Рассмотрим четвертый случай, когда
человек, обеими ногами стоящий на земле, касается рукой элемента заземления. К
этому же случаю относится ситуация, когда человек, стоящий на земле или
балласте,касается рукой металлических поручней локомотива или
цельнометаллического вагона, или иных металлических элементов, имеющих
потенциал рельсов. В этом случае ток протекает по пути «рука- ноги», а
предельно допустимая разность землей
( напряжение прикосновения)
определяется выражением
Рассмотрим пятый случай, когда
путейский рабочий, стоящий одной ногой на балласте, другой на земляном полотне,
держит в руках металлическую лапу, касающуюся рельсов ,(рис. 5). В этом случае
человек одновременно находится под воздействием трех разностей потенциалов: Наиболее тяжелые условия будут а том
случае, когда сопротивление земли Пусть Учитываяэто соотношение, а также то,
что Однако между рассматриваемым (пятым)
и третьим случаями имеется весьма существенное отличие. Если в третьем случае
фактический потенциал рельсов и ток, протекающий через человека, определялись
одной и той же величиной сопротивления балласта, то в рассматриваемом (пятым)
случае фактический потенциал рельсов по-прежнему определяется сопротивления
балласта, а ток через тело ограничивается уже не сопротивлением балласта, а
значительно меньшей величиной сопротивления поверхностного слоя земляного
полотна. Это обстоятельство делает рассматриваемый случай значительно более
тяжелым по сравнению с третьим случаем.
Численные значением UGK совпадают
со значениями UCD Таким образом, количественно
требование безопасности записывается в виде системы следующих пяти неравенств:
U ≤ [U], (12)
UAB≤ [UAB UCD≤ [UCD ], (14)
UEF≤ [UEF], (15)
UGK≤ [UGK], (16)
где [U]
определяется графиком, представленным на рис. 3, а [UAB], [UCD], [UEF], [UGK] с
уравнениями (6), (7), (8), (10) соответственно и зависимостью [????] (t) (см. рис.
1).
Неравенства (12) и (16) должны
удовлетворяться для любого элемента заземления, используемого в устройствах
электрической тяги переменного тока.
Выводы. 1. Безопасность заземлений
устройств электрической тяги переменного тока будет обеспечена, если величина
токов, которые могут протекать через тело человека, не превысят 1 мА при
длительном контакте, 6 мА при случайном прикосновении и 200 мА при коротком
замыкании длительностью 0,3 сек.
. предельно допустимая разность
потенциалов между точками заземления, допустимыми одновременному прикосновению,
зависит от пути тока, сопротивления земли и длительности воздействия. Наиболее
тяжелые условия возникают при прохождении тока по пути «рук-рука». в этом
случае безопасность будет обеспечена, если напряжение прикосновения не
превышает 6 В при длительном контакте, 18 В при случайном прикосновении и 160 В
при коротком замыкании длительностью 0,3 сек.
4.Безопасность
движения
.1Удобство и
возможности железных дорог на поставку оборудования
Устройства электроснабжения
должны обеспечивать надежное
электроснабжение:
электроподвижного состава для
движения поездов с установленными весовыми нормами, скоростями и интервалами
между ними при требуемых размерах движения;
устройств СЦБ, связи и
вычислительной техники как потребителей электрической энергии I
категории. С разрешения ГАЖК до завершения переустройства допускается
электроснабжение этих устройств по II
категории;
всех остальных потребителей
железнодорожного транспорта в соответствии с установленной ГАЖК категорией.
При наличии аккумуляторного
резерва источника электроснабжения автоматической и полуавтоматической
блокировки он должен быть в постоянной готовности и обеспечивать бесперебойную
работу устройств СЦБ и переездной сигнализации в течении не менее 8 ч при
условии, что питание не отключалось в предыдущие 36 ч.
Время перехода с основной
системы электроснабжения автоматической и полуавтоматической блокировки на
резервную или наборот не должно превышать 1,3с.
Для обеспечения надежного
электроснабжения должны проводиться периодический контроль состояния сооружений
и устройств электроснабжения, измерение их параметров вагонами-лабораториями,
приборами диагностики и осуществляться плановые ремонтные работы.
Уровень напряжения на токоприемнике
электроподвижного состава должен быть не менее 21 кВ при переменном токе, 2,7
кВ при постоянном токе и не более 29 кВ при переменном токе и 4 кВ при
постоянном токе.
На отдельных участках с разрешения Г'АЖК
допускаемся уровень, напряжение не менее 19 кВ при переменном токе и 2,4 кВ при
постоянном токе.
Номинальное напряжение переменного тока на
устройствах СЦБ должно быть 220 или 380 В.
Отклонения от указанных величин
номинального напряжения допускаются в сторону уменьшения не более 10%, а в
сторону увеличения - не более 5%.
Устройства электроснабжения
должны защищаться от токов короткого замыкания, перенапряжений и перегрузок
сверх установленных норм!
Тяговые подстанции линий,
электрифицированных на постоянном токе, а также электроподвижной состав должны
иметь защиту от проникновения в контактную сеть токов, нарушающих нормальное
действие устройств СЦБ и связи.
Высота подвески контактного
провода над уровнем верха головок рельса должна быть на перегонах и станциях
не ниже 5750 мм, а на переездах не ниже 6000 мм.
В исключительных случаях на
существующих линиях это расстояние в пределах искусственных сооружений,
расположенных на путях стаций, на которых не предусматривается стоянка
подвижного состава, а также на перегонах с разрешения ГАЖК может быть уменьшено
до 5675 мм при электрификации линии на переменном токе и до 5550 мм - на
постоянном токе.
Высота подвески контактного
провода не должна превышать 6800 мм.
В пределах искусственных
сооружений расстояние от токонесущих элементов токоприемника и частей
контактной сети, находящихся под напряжением, до заземленных частей сооружений
и подвижного состава должно быть не менее 200 мм на линиях, электрифицированных
на постоянном токе, и не менее 350 мм - на переменном токе.
В особых случаях на
существующих искусственных сооружениях
может допускаться уменьшение
указанных расстояний.
Расстояние от оси крайнею пути
до внутреннего края опор контактной сети на перегонах и станциях должно быть не
менее 3100 мм.
Опоры в выемках должны
устанавливаться вне пределов кюветов.
В особо сильно снегозаносимых
выемках (кроме скальных) и на выходах из них (на длине 100 м) расстояние от оси
крайнего пути до внутреннего края опор контактной сети должно быть не менее
5700 мм.
Перечень таких мест
определяется председателем компании.
На существующих линиях до их
реконструкции, а также в особо трудных условиях на вновь электрифицируемых
линиях расстояние от оси пути до внутреннего края опор допускается не менее:
2450 мм - на станциях и 2750 мм - на перегонах.
Все указанные размеры
установлены для прямых участков пути.
На кривых участках эти
расстояния должны увеличиваться в соответствии с габаритным уширенном,
установленным для опор контактной сети.
Взаимное расположение опор
контактной сети, воздушных линий и светофоров, а также сигнальных знаков должно
обеспечивать хорошую видимость сигналов и знаков.
Контактная сеть, линии автоблокировки и
продольного электроснабжения напряжением свыше 1000 В должны разделяться на
отдельные участки (секций) при помощи воздушных промежутков (изолирующих
сопряжений), нейтральных вставок, секционных и врезных изоляторов, разъединителей.
Опоры контактной сети или щиты,
установленные на граница воздушных промежутков должны иметь отличительную
окраску. Между этими опорами или щитами запрещается остановка электроподвижного
состава с поднятым токоприемником.
Схема питания и секционирования
контактной сети, линий автоблокировки и продольного электроснабжения должна
быть утверждена председателем компании. Выкопировки из схемы включаются в
технико-распорядительный акт станций.
Переключение разъединителей
контактной сети электродепо и экипировочных устройств, а также путей, где
осматривается крышевое оборудование электроподвижного состава, производится
работниками локомотивною депо. Переключение остальных разъединителей
производится только по приказу энергодиспетчера. Порядок переключения
разъединителей контактной сети, а также включателей и разъединителей линии
автоблокировки и продольного электроснабжения, хранения ключей от запертых
приводов разъединителей, обеспечивающий бесперебойность электроснабжения и
безопасность производства работ, устанавливается начальником отделения
компании.
Переключение разъединителей и
выключателей производится по приказу энергодиспетчера работниками других служб,
прошедших обучение.
Расстояние от нижней точки
проводов воздушных линий электропередачи напряжением свыше 1000 В до
поверхности земли при максимальной стреле провеса должно быть не менее: На
Перегона 6,0м В том числе в трудно - доступных местах 5,0 м на пересечениях с
автомобильными дорогами, станциях и в населенных пунктах 7,0м.
При пересечениях железнодорожных путей
расстояние от нижней очки проводов воздушных линий электропередачи напряжением
выше 1000 В до уровня верха головки рельса неэлектрифицированных путей должно
быть не менее 7,5 м. На электрифицированных линиях это расстояние до проводов
контактной сети должно устанавливаться в зависимости от уровни напряжения
пересекаемых линий в соответствии с Правилами устройства электроустановок и по
техническим условиям железной дороги.
Заключение
В основной части выпускной работы по заданным
исходным данным были рассчитаны нагрузки на провода контактной подвески в двух
режимах: максимального ветра и гололеда с ветром. Затем были определены
натяжение проводов.
Расчеты длин пролетов были произведены также в
двух режимах на прямых и кривых участках пути.
Были описаны схема питания и секционирования
перегона при системе электроснабжения 2х25кВ.
Была проверена возможность расположения питающих
проводов и проводов ДПР на опорах контактной сети.
После описаны правила составления плана
перегона, а также выбраны и рассчитаны поддерживающие и опорные конструкции
контактной сети.
Литература
1. Дворовчикова.Т.В
и Зимакова. А.Н. "Электроснабжение и контактная сеть электрифицированных
железных дорог".
2. Каримов
И.А. "Узбекистан на пути углубления экономических реформ"-Т.:
Узбекистан,1995 г.
. Закон
Республики Узбекистан о предприятии, 1991 г. (с дополнениями и изменениями в
последующие годы).
. Петров
Ю.Д. и др. "Планирование в предприятиях железнодорожного транспорта"
- М.: Транспорт, 1989 г.З
. Алексеева
А. И. др. "Экономика, организация и планирование хозяйства
электроснабжения железных дорог" - М.: Транспорт, 1989 г.
. Указание
ГАЖК от 23.09.96 г. №ННТ - 23/141"Об утверждении новых тарифных
коэффициентов и месячных ставок заработной платы с 01.09.96 г".
. Баянов
И.Н., Никонова О.С., Стрельцов С.К. "Электроснабжения железнодорожного
транспорта". Т.: ILM
ZIYO, 2006.
. Марквардт
К.Г. " Электроснабжения электрифицированных железных дорог". М.:
Транспорт, 1965.
9.
Карякин Р. Н. Тяговые сети переменного тока. Изд - во «Транспорт». М., 1964.
.
Dalziel . C.
F. The Threcshold of Perception Currents (pp. 990 - 996) , AIEE Tr., vol . 73 .
Pt . III - B , Aug . 1964 .
.
Dalziel . C. F. Temporary Paralysis Following «Freezing» to a Wire
(pp.
174 - 175). Pow . App . and Syst., June , 1960 .
12.
Киселев А . П . Пороговые значения безопасного тока промышленной частоты. Труды
МИИТ, вып . 171, М., 1963.
![]()
=1.25![]()
·14·10![]()
= 0,52 даН/м
![]()
= 1,25.25![]()
·12,9·10![]()
=1,03 даН/м
![]()
=![]()
(1.4)
![]()
=![]()
![]()
=2,49даН/м
![]()
= 0,8 ·0.0009 π ![]()
(????+ ![]()
) (1.5)
![]()
= 0,0009 π ![]()
(![]()
+![]()
) (1.6)
![]()
-толщина стенки гололеда на несущем
тросе.
![]()
=10мм [ 1,стр. 57 ]
![]()
-толщина стенки гололеда на
контактном проводе:
![]()
=0,5·![]()
(1,7)
![]()
=0,5·10
![]()
=5 мм
![]()
-средний диаметр контактного
провода:
![]()
=(????+????) /2 (1,8)
![]()
=(14+13,9)/2
![]()
=13,4мм
![]()
=0,8·0,0009·3,14·10 (14+10)
![]()
=0,54 даН/м
![]()
=0,0009·3,14·5 (13,4+5)
![]()
=0,26 даН/м
![]()
=![]()
+![]()
(![]()
+![]()
) (1.9)
![]()
- равномерно распределенная по длине
пролета вертикальная нагрузка от веса гололеда на струнах и зажимах, которая
зависит от толщины стенки гололеда. При ![]()
=10мм:
![]()
=0,03 даН/м [ 1,стр.62]
![]()
=0,54+1(0,26+0,03)
![]()
=0,83даН/м
![]()
= ![]()
????+2![]()
) ·10
![]()
=![]()
Н+2![]()
) ·10
![]()
-нормативная скорость ветра при
гололеде. В II районе по
толщине стенке гололеда:
![]()
=14м/с [1,стр.57]
![]()
= 1,25·![]()
(14+2·10) · 10![]()
= 0,52даН/м
![]()
= 1.25·1,25·![]()
(12,9+2·10) · 10![]()
= 0,35даН/м
![]()
=![]()
(1.12)
![]()
=![]()
![]()
=3,1 даН/м
![]()
=Т0=1800даН/м [1,прил 4]
![]()
. Эта величина не должна превышать
допустимого значение:
![]()
=0,5м [2]
![]()
=0,45м [2]
![]()
=10мм [1,стр 57]
![]()
=14м/с [1,стр 57]
![]()
=2![]()
)) (1.13)
![]()
- ветровая нагрузка на провода
![]()
и![]()
:
![]()
=![]()
-![]()
(1.15)
![]()
=![]()
-![]()
+а (1.16)
![]()
=2![]()
(1.17)
![]()
=2![]()
![]()
(1.18)
![]()
и ![]()
зависят от скорости ветра
![]()
,м0,010,0150,0220,03
![]()
,м0,0150,0220,030,04
![]()
=![]()
( ![]()
+![]()
) (1.21)
![]()
определяется по выражению:
![]()
= 
(1.22)
![]()
- ветровая нагрузка на несущий трос
![]()
-результируюшая нагрузка на несущий
трос
![]()
=0,9м. [1,стр 66 ]
![]()
в средней части пролета
рассчитывается по формуле:
![]()
=????-0,115![]()
(1.23)
![]()
и постепенно скорректировать их
путем последовательных приближений. Расчеты длин пролетов необходимо выполнить
в двух режимах, как и нагрузки на провода контактной сети, а также определить
длины пролетов и на прямых и на кривых участках проектируемого перегона.
![]()
=0 и К₁=1 и
рассчитаем длину пролета на прямых участках, воспользовавших формулой (1.17 ) и
данными считанными в п.п 1.2 и 1.3 и табл 1.3:
![]()
=2![]()
![]()
=81м
![]()
=1(1,07+0)
![]()
=1,07 даН/м
![]()
=1,07даН/м коэффициенты:
![]()
=1,8-0,115![]()
![]()
=0,862м
![]()
=
![]()
= -0,18даН/м
![]()
и ????₁ в формулу
(1.17), уточним значение ℓmax . Если предыдущее и это
значение будут имеет разницу более 5%, то уточнение необходимо будет уточнить
заново:
![]()
=2![]()
0,85
![]()
=72м
![]()
=1,8-0,115![]()
![]()
=1,063м
![]()
=
![]()
≈ -0,16 даН/м
![]()
=72м.
![]()
=60м.
![]()
=2![]()
0,828
![]()
=79м
![]()
= 1,8-0,115 ![]()
![]()
=0,92м
![]()
=
![]()
= - 0,17даН/м
![]()
= -0,17даН/м и ????₁=1,1
![]()
=2![]()
·0,828
![]()
=74м.
![]()
=70м
![]()
=0 и ????₁=1:
![]()
= 2![]()
·0,828
![]()
=81м.
![]()
=1,8-0,115![]()
![]()
=0,872м
![]()
=
![]()
≈ -0,18 даН/м
![]()
= 2![]()
·0,828
![]()
=58м.
![]()
=76м.
![]()
и рассчитаем первый раз длину
пролета по формуле (1.17), только подставляя данные, рассчитанные для режима
гололеда с ветром в п.п 1.2; 1.3и табл 1.3.
![]()
= 2![]()
·0,85
![]()
=141м.
![]()
=1·(1,07+0,26)
![]()
=1,133 даН/м
![]()
=1,133даН/м :
![]()
=1,8-0,115![]()
![]()
= -1,05м.
![]()
=
![]()
= -0,241даН/м
![]()
= и ????₁ в формулу
(1.17), определим:
![]()
=2![]()
0,85
![]()
=105м.
![]()
более 5%, поэтому скорректировав
измененные величины, опять определим ![]()
. Коэффициенты ????₂ и ????₁ не меняют
своего значения
![]()
=1,8-0,115![]()
![]()
=0,23м.
![]()
=
![]()
= -0,152 даН/м.
![]()
=- 0,0152 дж\аН/м и ????₁=1,1 в
формулу (1.17), определим:
![]()
=2![]()
0,85
![]()
=113м.
![]()
=60м.
![]()
=2![]()
0,828
![]()
=96м.
![]()
=1,8-0,115![]()
![]()
=0,491м.
![]()
=
![]()
= -0,13 даН/м.
![]()
=0,13 и перечитаем:
![]()
=2![]()
0,828
![]()
=88м.
![]()
=88м.
![]()
=2![]()
0,828
![]()
=100м.
![]()
=1,8-0,115![]()
![]()
=0,384 м.
![]()
=
![]()
= -0,14даН/м
![]()
= -0,14даН/м и ????₁=1,123:
![]()
=2![]()
0,828
![]()
=168м.
![]()
=168м.
![]()
=60м.
![]()
=60м.
![]()
=60м.
![]()
≥![]()
(1.19)
![]()
- длина пролета между опорами
контактной сети
![]()
- соответственно длина пролета между
точками подвеса проводов ДПР.
![]()
=9.0-7=2.0м
![]()
=![]()
(1.20)
![]()
=0,19даН/м [1,прил 2]
![]()
-нагрузка от веса гололеда:
![]()
= 0,0009 π bт ( d+ bт), (1.21)
![]()
- толщина стенки гололеда:
![]()
=10мм
![]()
=0,0009·3,14·10·( 9,6+10)
![]()
=1,67 даН/м
![]()
- скорость ветра при гололеде:
![]()
= 14 м/с
![]()
в данном случае будет равен 1.2.
Тогда:
![]()
=1,2· ![]()
(9,6+2·10)·10![]()
=1,21 даН/м
![]()
=1,2· ![]()
· 9,6·10![]()
=0,74 даН/м
![]()
=![]()
![]()
=0,76 даН/м
![]()
=![]()
т
![]()
=2,22 даН/м
![]()
=![]()
![]()
=60м
![]()
=![]()
![]()
=92м
![]()
· l+![]()
(1.25)
![]()
- изоляторов, на которых
подвешиваются провода (для контактной подвески с учетом части веса фиксатора,
приходящейся на несущий трос):
![]()
= 2,23·60+35
![]()
= 136,8 даН
![]()
=0,27·60+6
![]()
=22,2
![]()
= ![]()
+ ![]()
(1.24)
![]()
=45+10
![]()
=55 даН
![]()
=26+10
![]()
=36 даН
![]()
(1.25)
![]()
=1,12·60
![]()
=67,2 даН
![]()
=1,03·60
![]()
=61,2 даН ![]()
=0,53·60
![]()
=0,74·60 ![]()
=31,8 даН
![]()
=44,4 даН
![]()
=![]()
![]()
·![]()
(1.26)
![]()
= 0,7 ![]()
·3,46
![]()
=94,60 даН
![]()
=0,0009·3,14·10 (9,6+10)
![]()
=0,55даН/м
![]()
=1,2![]()
· ![]()
![]()
=0,24даН/м
![]()
=(2,23+0,83) ·60+30
![]()
=213,6 даН
![]()
=(0,27+0,55) ·60+20
![]()
=65,6 даН
![]()
=(0,19+1,67) ·60+20
![]()
=131,6 даН
![]()
=48+10
![]()
=58 даН
![]()
=36+12
![]()
=48 даН
![]()
=0,52·60
![]()
=31,2 даН
![]()
=1,03·60
![]()
=61,8 даН
![]()
=0,74·60
![]()
=44,4 даН
![]()
=0,24·60
![]()
=14,4 даН
![]()
=0,7 ![]()
·3,46
![]()
=29,7 даН
![]()
=59 кН·м
![]()
=44 кН·м
![]()
= ![]()
=907,57 тыс.сум,/км.
![]()
сек до 5 сек у 99,5% мужчин величина
тока, не вызывающего фибрилляции, определяется выражением
![]()
, (1)
![]()
. (2)
![]()
. (3)
![]()
. (5)
![]()
]=[????] + 3 [![]()
. (7)
![]()
] в очень большой степени зависит от
сопротивления балласта и земляного полотно. При этом влияние сопротивления
балласта тем заметнее, чем кратковременное воздействие тока.
![]()
,![]()
,![]()
, из которых первые две вызывают
протекание тока пути «рук- нога», «руки-нога», а третья вызывает протекание
тока по пути «нога- нога».
![]()
значительно меньше сопротивления
балласта ![]()
.
![]()
= 3 · 10³ ом · м, а ![]()
10 ом · м, т. е. ![]()
=![]()
=300.
![]()
<![]()
(см. рис. 5), из уравнения (11)
имеем, что ток ![]()
составляет меньше 0,3 % от тока ![]()
. Это обстоятельство позволяет
пренебречь влиянием разности ![]()
и вызываемого ею тока ![]()
на величину допустимой разности ![]()
. Кроме того, поскольку при
протекании тока по пути « нога - нога» через сердце человека проходит примерно
в 25 раз меньше тока, чем при путях тока «рука- рука» и «рука-ноги», можно
пренебречь влиянием разности ![]()
на величину допустимой разности ![]()
. Таким образом, в рассматриваемом
случае величина напряжения прикосновения ![]()
определяется выражением (10),
совпадающим с формулой (7), соответствующей третьему случаю ( касание рельсов
ногой).
![]()
для соответствующих режимов и
сопротивлений (ρG=ρ).
![]()
, (13)