Материал: конспект электротехника

Внимание! Если размещение файла нарушает Ваши авторские права, то обязательно сообщите нам

4.1.Магнитное поле, магнитная индукция.

МП возникает в пространстве, окружающем движущиеся эл. заряды и постоянные магниты. Оно воздействует только на движущиеся частицы эл. поля. МП принято изображать магн.сил-ми линиями, к-ые задают направление МП в пространстве и направлены от северного полюса к южному и являются замкнутыми. В пространстве окр-щем магнит за (+) направление магн.сил.линий принято направление от северного к южному. Чем интенсивней МП, тем выше плотность сил.линий. Сил.линии МП прямолинейного проводника представляют собой концентрические окружности, охватывающие провод. Чем сильнее ток, тем сильнее МП вокруг провода. Направление магн.сил.линий опр-ся по «правилу буравчика»:если ввинчивать винт по направлению тока, то магн.сил.линии будут направлены по ходу винта.

Для получения более сильного МП применяется катушка с обмоткой из проволоки. В этом случае МП отдельных витков катушки складываются и их сил.линии сливаются в общий магн.поток. Магн.сил линии выходят из катушки там, где ток направлен против хода часовой стрелки, т.е.это сев.магн.полюс.при изменении направления тока в катушке изменяется и направление МП. Интенсивность МП хар-ся магнитной индукцией (МИ).  — векторная величина, являющаяся силовой характеристикой магнитного поля в данной точке пространства. Показывает, с какой силой магнитное поле действует на заряд , движущийся со скоростью .

Является основной характеристикой магнитного поля, аналогичной вектору напряжённости электрического поля.

В системе СГС магнитная индукция поля измеряется в гауссах (Гс), в системе СИ — в теслах (Тл)

1 Тл = 104 Гс

Если проводник с током расположить перпендикулярно направлению магн.сил.линий, то на него действуют электромагнитная сила F, направление к-ой опр-ся правилом левой руки: если расположить левую руку так, чтобы магн.линии пронизывали ладонь, а вытянутые 4 пальца указывали направление тока, то отогнутый большой палец укажет направление действия эл.магн.силы F. По этой силе можно судить об интенсивности МП, т.е. о его МИ. Если на проводник длиной 1м., с током в 1А, расположенный перпендикулярно магн.линиям в однородном МП действует сила в 1Н, то МИ такого поля равна 1 тесле /Тл/. МИ-это векторная величина. в каждой точке поля вектор МИ направлен по касательной к магн.сил.линиям. Величина измеряемая произведением МИ на площадь вектору МИ наз магн.потоком: Ф=B*S /Вб/ 1Вб=1Тл*1м2. Способность тока возбуждать МП хар-ся магнитодвижущей силой (МДС), действующей вдоль замкнутых магн.сил. линий. МДС равна току, создающему МП и выражается в амперах. Если замкнутый контур магн.сил.линии охватывает несколько токов, то суммарная МДС равна сумме токов.:I1+I2+…+In – для линейного проводника. Для катушки с несколькими витками и током МДС равна:I=*I. МДС приходящаяся на единицу длины магн.сил.линии наз. напряженностью МП /Н/. Если физ. усл-я вдоль всей длины магн.сил.линии одинаковы, то можно записать:H=I/L. Напряжённость вокруг линейного проводника представляет собой концентрические окружности переменного радиуса X, длина каждой из к-ых равна 2x: L=2x/ . В этом случае напряжённость МП опр-ся выр-ем: H=I/2x, т.е. по мере удаления от проводника напряжённость МП снижается. Зависимость между напряжённостью МП и МИ:В=а*Н, где а-магн. проницаемость.

4.2.Проводник с током в мп, самоиндукция.

На проводник с током в МП согласно правилу левой руки действует сила F, к-ая стремится сместить его в плоскости перпен-но направлению вектора В. Эта сила тем больше, чем больше ток в проводнике и МИ, чем длинее акт-ная часть проводника L.(акт-ная часть-та часть, к-ая нах-ся в МП).Эта магн.сила опр-ся по формуле: F=L*I*B*sin. -это угол, под к-ым прямолин.проводник расположен по от-нию к магн.сил.линиям поля. В результате воздействия таких мех-ких сил при одинаковом направлении тока расположенные рядом проводники будут притягиваться, а при разном направлении тока отталкиваться. Наиболее большие силы м/у проводниками возникают в эл.цепях при коротких замыканиях. При изменении тока в проводнике, витке или катушке измен. магн.поток, создаваемый этим током. Измен магн.потока индуцирует в проводнике ЭДС, действие к-ой по правилу Ленца направлено на поддержание предшествующего состояния поля. Такое яв-е наз.самоиндукцией. Явление самоиндукции в проводнике хар-ся индуктивностью (L)-это размерный коэф.пропорциональности м/у скоростью изменяя тока во времени и индуцируемой при этом ЭДС.

eL=-L*( Δi/Δt) –Гн

1 Гн проводник, в к-ом возникает ЭДС самоинд.=1В, при измен.тока на 1А, за 1сек.

Знач-е индуктивности зависит от конструкции эл-тов цепи.

Для катушки с числом витков (), с магнитопроводом длиной (l),сечением (S) и магн. проницаемостью а. индуктивность опр-ся по формуле:L=2*S/l+a. Если катушки своими полями не влияют др.на др.,то при их посл-ом соед-нии общая индуктивность равна сумме индуктивностей каждой из катушек:L=L1+L2+..+Ln

При парал.соед-нии:1/L=1/L1+1/L2+..+1/Ln. Во многих случаях яв-ем самоиндукции можно пренебречь, считая цепь не обладающей индуктивностью. В цепи без индуктивности нарастание тока идёт мгн-но.В цепи с инд-тью ток не мгн-но достигает знач-я, опр-го сопротивлением цепи и приложенным напряжением; вследствие самоиндукции происходит замедление нарастания тока, при отключении цепи возникающая при умен.тока ЭДС самоинд-и стремиться поддерживать ток прежнего направления.

4.3.Взаимная индукция. Закон полного тока.

Взаимоиндукция (взаимная индукция) — возникновение электродвижущей силы (ЭДС) в одном проводнике вследствие изменения силы тока в другом проводнике или вследствие изменения взаимного расположения проводников. Взаимоиндукция — частный случай более общего явления — электромагнитной индукции.При изменении тока в одном из проводников или при изменении взаимного расположения проводников происходит изменение магнитного потока, созданного током первого проводника и проходящего через контур второго, что по закону электромагнитной индукции вызывает возникновение ЭДС во втором проводнике. Если второй проводник замкнут, то под действием ЭДС взаимоиндукции в нём образуется индуцированный ток. И наоборот, изменение тока во второй цепи вызовет появление ЭДС в первой. Направление тока, возникшего при взаимоиндукции, определяется по правилу Ленца. Правило указывает на то, что изменение тока в одной цепи (катушке) встречает противодействие со стороны другой цепи (катушки).

Чем большая часть магнитного поля первой цепи пронизывает вторую цепь, тем сильнее взаимоиндукция между цепями. С количественной стороны явление взаимоиндукции характеризуется взаимной индуктивностью. Для изменения величины индуктивной связи между цепями, катушки делают подвижными. Приборы, служащие для изменения взаимоиндукции между цепями, называются вариометрами связи.

Явление взаимоиндукции широко используется для передачи энергии из одной электрической цепи в другую, для преобразования напряжения с помощью трансформатора.

 

Полученное выражение называется законом полного тока. Линейный интеграл вектора напряженности магнитного поля, взятый по замкнутому контуру, равен полному (суммарному) электрическому току, проходящему через поверхность, ограниченную этим контуром или МДС вдоль замкнутого контура равна полному току, охватываемому этим током.

Закон полного тока является одним из важнейших законов, устанавливающим неразрывную связь между электрическим током и магнитным полем. Из него следует, что любая магнитная линия обязательно охватывает электрический ток и, наоборот, электрический ток всегда окружен магнитным полем.

Причем, не являются исключением из этого закона и постоянные магниты, т.к. в них магнитные линии создаются элементарными микроскопическими токами, также входящими в правую часть выражения (9).

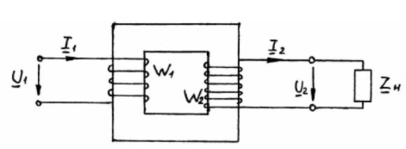
5.1. Устройство и принцип действия трансформатора

Режим холостого хода трансформатора. Коэффициент трансфор­мации.

На замкнутом магнитопроводе, выполненном из магнитомягкой листовой стали, расположены две (или более) катушки (обмотки). К одной из обмоток подводится электрическая энергия от источника переменного тока. Эта обмотка называется первичной. От другой, вторичной, обмотки с числом витков W2 энергия отводится к приемнику. Все величины, относящиеся к этим обмоткам (токи, напряжения, мощности и т.п.) называются соответственно первичными или вторичными.

Под действием переменного напряжения U1, подведенного к первичной обмотке, в ней возникает ток I1, а в сердечнике возбуждается соответственно изменяющийся магнитный поток Ф. Этот поток пересекает витки обеих обмоток трансформатора и индуктирует в них ЭДС:

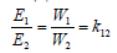
В каждый момент времени отношение этих ЭДС пропорционально отношению количества витков обмоток:

Если цепь вторичной обмотки замкнута, то под действием ЭДС E2 возникает ток I2.

Режим холостого хода – такой режим работы электрического трансформатора, при котором его вторичная цепь разомкнута, и ток в ней равен нулю.

Соотношение

равное отношению числа витков n2 к числу витков n1 соответствующих обмоток, называется коэффициентом трансформации.

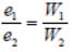
Приближенно можно принять, что ЭДС обмоток равны н апряжениям на их зажимах, т.е.

Полученное равенство характеризует основное назначение трансформатора - преобразование одного напряжения в другое, большее или меньшее.

Если k12>0, то трансформатор – повышающий, если k12<0 – понижающий.

5.2Работа трансформатора под нагрузкой.

Уравнения электрического состояния обмоток.

Когда в цепь вторичной обмотки включается сопротивление нагрузки RН, в ней возникает переменный ток I2. Полный магнитный поток Ф в сердечнике создается обоими токами.