Материал: конспект электротехника

Внимание! Если размещение файла нарушает Ваши авторские права, то обязательно сообщите нам

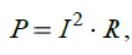
В резистивных элементах активная мощность определяется по формуле:

где R - сопротивление резистивного элемента, Ом;

I - сила тока через него, А.

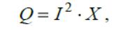
В реактивных элементах реактивная мощность определяется по формулам:

Полная мощность определяется по формуле:

Коэффициент мощности:

Значение коэффициента мощности всегда меньше 1. Поэтому cosφ, называемый коэффициентом мощности, характеризу­ет использование установленной мощности.

Коэффициент мощности.

Коэффициент мощности показывает какая часть мощности в приемники не обратимо преобразуется в другие виды энергии

Коэф мощности повышают, включая параллельно приемнику энергии источник емкостной реактивной мощности.

3.1. Трехфазная электрическая цепь. Получение трехфазного тока. Способы изображения трехфазного тока, последовательность фаз

Трехфазная цепь – совокупность трех электрических цепей, в которых действуют синусоидальные ЭДС одинаковой частоты, сдвинутые относительно друг друга по фазе на 120°, создаваемые общим источником.Участок трехфазной системы, по которому протекает одинаковый ток – фаза.

Трехфазная цепь состоит из трехфазного генератора, соединительных проводов и приемников или нагрузки, которые могут быть одинаковыми однофазными или трехфазными.Трехфазный генератор представляет собой синхронную машину, на статоре генератора размещена обмотка, состоящая из 3 частей или фаз, пространственно смещенных относительно друг друга на 120°.

В фазах генератора индуцируется симметричная трехфазная система ЭДС, в которой ЭДС одинаковы по амплитуде и различаются по фазе на 120°.

Мгновенные значения ЭДС:

eA=Emsin(ωt)

eB=Emsin(ωt-120)

eC=Emsin(ωt+120)

Комплексные значения:

EA=E

EB=Ee-j120

EC=Eej120

Сумма ЭДС симметричной трехфазной системы в любой момент времени равна 0.На схемах трехфазных цепей начало фаз обозначают первыми буквами латинского алфавита, а концы – последними (a,b,c…x,y,z)

Направления ЭДС указывают от конца фазы обмотки генератора к ее началу.

Каждая фаза нагрузки соединяется с фазой генератора двумя проводами – прямым и обратным.

Получаем несвязанную трехфазную систему, в которой имеется 6 соединительных проводов.

Выводы А, В, С называются фазными, а вывод N называется нейтральным или нулевым.

Напряжение между фазными выводами UAB ,UBC, UCA называются линейными, а напряжения между соответствующими фазными выводами и нулевым выводом UAN ,UBN ,UCN - фазными напряжениями.

По традиции вместо обозначений UAN ,UBN ,UCN применяются обозначения UA ,UB ,UC .

3.2. Схема соединений «звезда» - «звезда» с нулевым проводом. Векторная диаграмма. Симметричная и несимметричная нагрузка.

У источника энергии, выполненного по схеме «звезда» концы фазных обмоток X ,Y ,Z генератора соединяются в общий узел в N.

Аналогичный узел n образует соединение концов x,y,z трех фаз приемника, а точки N и n соединяет нейтральный провод, в результате чего потенциалы этих точек равны. Остальные три провода, соединяющие выводы генератора А,В,С с выводами приемника а,в,с называются линейными.

Таким образом, вместо шести проводов (в случае раздельного питания фаз приемника однофазными источниками) трехфазная система, выполненная по схеме «звезда» с нулевым проводом содержит четыре провода.

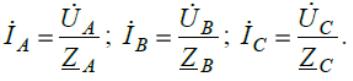
Линейные токи в линиях (проводах) определяются по закону Ома в комплексной форме:

Ток в нейтральном проводе связан с линейными токами законом Кирхгофа в комплексной форме:

Приемник с одинаковыми сопротивлениями всех трех фаз (Za=Zb=Zc=Zф·e) называется симметричным.

При симметричном приемнике действующие значения линейных токов и токов всех фаз приемника равны:

Таким образом, токи IA,IB,IC представляют симметричную систему токов, в связи с чем их векторная сумма равна нулю и ток в нейтральном проводе согласно также равен нулю.

Однако, если приемник несимметричный, токи в схеме не будут представлять симметричную систему и в нулевом проводе появится ток I N

3.3. Схема соединений «звезда» - «звезда» без нулевого провода. Векторная диаграмма. Симметричная и несимметричная нагрузка.

При симметричной нагрузке, когда Za = Zb = Zc = Zφ, напряжение между нейтральной точкой источника N и нейтральной точкой приемника n равно нулю, UnN = 0.

В случае симметричного приемника достаточно определить ток только в одной из фаз. Сдвиг фаз между током и соответствующим напряжением φ = arctg (X / R).

При несимметричной нагрузке Za ≠ Zb ≠ Zc между нейтральными точками приемника и источника электроэнергии возникает напряжение смещения нейтрали UnN.

Для определения напряжения смещения нейтрали можно воспользоваться формулой межузлового напряжения

,

где: Ya = 1 / Za; Yb = 1 / Zb; Yc = 1 / Zc – комплексы проводимостей фаз нагрузки.

Очевидно, что теперь напряжения на фазах приемника будут отличаться друг от друга. Из второго закона Кирхгофа следует, что

Úa = ÚA - ÚnN; Úb = ÚB - ÚnN; Úc = ÚC - ÚnN.

Зная фазные напряжения приемника, можно определить фазные токи:

İa = Úa / Za = Ya Úa; İb = Úb / Zb = Yb Úb; İc = Úc / Zc = Yc Úc.

При изменении величины (или характера) фазных сопротивлений напряжение смещений нейтрали UnN может изменяться в широких пределах. При этом нейтральная точка приемника n на диаграмме может занимать разные

положения, а фазные напряжения приемника Úa, Úb и Úc могут отличаться друг от друга весьма существенно.

Таким образом, при симметричной нагрузке нейтральный провод можно удалить и это не повлияет на фазные напряжения приемника. При несимметричной нагрузке и отсутствии нейтрального провода фазные напряжения нагрузки уже не связаны жестко с фазными напряжениями генератора, так как на нагрузку воздействуют только линейные напряжения генератора.

Несимметричная нагрузка в таких условиях вызывает несимметрию ее фазных напряжений Úa, Úb, Úc и смещение ее нейтральной точки n из центра треугольника напряжний (смещение нейтрали).

Направление смещения нейтрали зависит от последовательности фаз системы и характера нагрузки.

Поэтому нейтральный провод необходим для того, чтобы:

1 выравнивать фазные напряжения приемника при несимметричной нагрузке;

2 подключать к трехфазной цепи однофазные приемники с номинальным напряжением в раз меньше номинального линейного напряжения сети.

Следует иметь в виду, что в цепь нейтрального провода нельзя ставить предохранитель, так как перегорание предохранителя приведет к разрыву нейтрального провода и появлению значительных перенапряжений на фазах нагрузки.

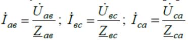
3.4 Соединения приемников «треугольником». Векторная диаграмма. Соотношения между линейными и фазными токами при симметричной и несимметричной нагрузке.

В линейных проводах А- a, B- в, C- c протекают линейные токи I A ,IB ,IC . В фазах приемника протекают фазные токи Iав ,Iвс ,Iса, определяемые по закону Ома в комплексной форме:

Линейные токи IA ,IB ,IC при известных фазных токах находятся по первому закону Кирхгофа в комплексной форме:

При симметричном приемнике (Za= Zв =Zc =Zф) системы фазных (Iав ,Iвс ,Iса) и линейных ( IA ,IB ,IC) токов симметричны, а модули фазных и линейных токов находятся в соотношении:

В случае несимметричного приемника токи не будут представлять собой симметричные системы и данное соотношение не выполняется.