Материал: конспект электротехника

Внимание! Если размещение файла нарушает Ваши авторские права, то обязательно сообщите нам

И напряжение отстает по фазе от тока. Угол всегда откладывается от вектора тока I к вектору напряжения U

3. Представление синусоидальных функций при помощи комплексных чисел

На комплексной плоскости с осями координат +1 (ось действительных чисел и величин) и +j (ось мнимых чисел и величин) откладывают вектор Im под углом ψi к действительной оси. Его пропорция на

ось действительных чисел I`m, на ось мнимых чисел I``m.

-комплексное мгновенное значение

-комплексное действующее значение силы тока.

-комплексное действующее значение напряжения.

2.3 Цепь переменного тока с резистором. Векторная диаграмма. Закон Ома в комплексной форме.

Напряжение на резисторе всегда совпадают

Комплексное сопротивление резистивного элемента.

Комплексным сопротивлением элемента наз отношения комплекса падения напряжения на элементе к комплексу тока, протекающего ч/з элемент.

Z - комплексное сопротивление

Векторная диаграмма токов и напряжений на резистивном элементе.

Векторной диаграммой наз совокупность комплексов напряжений и токов на комплексной плоскости

З. Ома в комплексной форме

I=U/(R+j(XL-Xc))

2.4 Цепь переменного тока с индуктивным элементом. Векторная диаграмма.

Цепь обладает идеальной катушкой индуктивности, т.е. не имеющей активного сопротивления. При прохождении синусоид. тока i=ImSin t напряжение на катушке опред.

U= L i / t.

При нулевой скорости изменения тока, т.е. ч/з амплитудное значение, напр-е на катушке равно 0. Таким образом, в идеальной катушке индук-ти угол сдвига фаз м/у напр-ем и током равен /2 и по фазе опережает ток по векторной диаграмме.

Ч/з какой-то малый промежуток времени t после того как ток был равен 0 изменение тока i определ-ся i=ImSin t.

Т.к. для малых аргументов Sin t= t, то индуктивное напр-е равно

IL=Um=L*(Im t/ t)=LIm . Величина L =XL наз. индуктивным сопрот-ем.

Оно опред-т способность индуктивной катушки противодействовать прохождению переменного тока. Чем больше и L , тем выше индуктивное сопрот-е XL. Проводимость в этом случае опред-ся b=1/XL.

М гновенные значения мощности в такой цепи могут быть найдены как произвед-е мгновенного тока и напряж-я и измен. по синусоид-му з-ну с частотой 2 . Активная мощность в этом случае рана 0. При положит-ом значении мощности она потребляется индуктивностью, при отрицательном – отдается источнику. Такое энергетическое состояние цепи характер-ся реактивной мощностью Q= LI2=UL (Вар).

Падение напряжения на катушке индуктивности опережает ток по фазе на угол 90º

В екторная диаграмма токов и напряжений на индуктивном элементе.

2.5 Цепь переменного тока с емкостным элементом. Векторная диаграмма.

В цепи с конденс-ом , к зажимам кот-го приложено напряжение U=Umsin t, ток равен ic=с*( U/ t). В момент наибольшей скорости изменения напряжения т.е. при переходе через амплитудное значение, через конденсатор протекает min ток =0. Если напряжение не меняется во времени, то ток в конденсаторе =0. Таким образом, в конденсаторе угол сдвига м/у напряжением и током = /2, при чем, по фазе напряжения отстает от тока на( - /2). Это видно по векторной диаграмме.

Напряжение на конденсаторе отстает от тока по фазе на угол 90º

Векторная диаграмма токов и напряжений на емкостном элементе.

2.6 Резонанс напряжений. Векторная диаграмма.

При последовательном соединении элементов с R, L и С ток в цепи

Наиболее важный момент в такой цепи является случай, когда XL = ХС.

Тогда реактивное сопротивление цепи X=XLС =0, а полное сопротивление Z = R минимально. В этом случае ток в цепи I=U/R при U = const и R = const его значение минимально.

Напряжения на индуктивном и емкостном элементах в комплексной фор­ме UL = -UC, а по значению UL = XLI = XCI = UC.

Следовательно

Таким образом, напряжения UL и UC могут превышать напряжения сети в XL/R раз, если XL>R. Сдвиг по фазе между напряжениями UL и UC равен π, т.е. эти напряжения находятся в противофазе.

Такой режим цепи при последовательном соединении элементов с R, L и С когда XL=XC, а напряжения UL и UC элементов находятся в противофазе, рав­ны по значению и могут превышать напряжение всей цепи, носит название режим резонанса напряжений.

Векторная диаграмма для режима резонанса напряжений:

Активная мощность такой цепи

Реактивная

Но реактивная мощность индуктивного и емкостного элементов не равны нулю:

Явление резонанса широко используется в технике: в устройствах радио­техники, телевидения, автоматики и других электроустройств. Изменяя индук­тивность L или емкость С, можно настраивать контур на ту или иную резо­нансную частоту и усиливать в цепи ток той или иной частоты.

В некоторых случаях необходимо учитывать при резонансе напряжений уве­личения напряжения и тока, что может привести к пробою изоляции элемен­тов цепи.

2.7. Цепь переменного тока с последовательными соединениями эл-ов. Законы Ома и Кирхгофа в комплексной форме и для мгновенных значений.

Цепь переменного тока с последовательными соединениями элементов включает резистор, катушку индуктивности и конденсатор.

Определение сопротивлений

Реактивные сопротивления:

XL=ωL; XC=1/ωC; ω=2πf

Полное сопротивление:

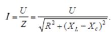
Z=√R2+(XL-XC)2

Угол сдвига фаз:

φ=arctg((XL-XC)/R)

Определение тока

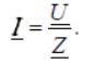
По закону Ома:

I=U/Z, ψi=ψu+φ

фазы тока и напряжения отличаются на φ

Определение напряжений

Для резистора:

UR=IR, ψUR=ψi

Для емкости:

UC=IXC, ψUC=ψi-90°

Для индуктивности:

UL=IXL, ψUL=ψi+90°

Для напряжений выполняется II закон Кирхгофа:

U=UR+UL+UC.

Закон Ома в комплексной форме получаем из формулы для комплексного сопротивления:

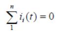
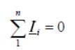
По первому закону Кирхгофа, алгебраическая сумма мгновенных значений токов, сходящихся в любом узле схемы, равна нулю:

Равенство не нарушится, если вместо токов подставить соответствующие комплексы. Это и будет выражение для первого закона Кирхгофа в ком­плексной форме:

где n - количество ветвей, подходящих к узлу.

По второму закону Кирхгофа, в любом (замкнутом) контуре справедливо равенство алгебраических сумм мгновенных значений напряжений на сопро­тивлениях контура и ЭДС:

Заменив напряжения и ЭДС на соответствующие комплексы, получим вы­ражение для второго закона Кирхгофа в комплексной форме:

где р - количество элементов в контуре,

m - количество ЭДС в контуре.

2.8. Мощность цепи синусоидного тока (мгновенная, активная, реактивная, полная). Коэффициент мощности

Мгновенной мощностью наз произведение мгновенных значений напряжения и тока

p(t) - мгновенная мощность

p ( t ) = u ( t ) i (t )

В линейных цепях синусоидального тока имеют место три вида мощности:

– активная;

– реактивная;

– полная.

Активная мощность – это мощность необратимого преобразования электрической энергии в другие виды энергии в резистивных элементах цепи. В источниках электрической энергии активная мощность рассчитывается по формулам: