Материал: конспект электротехника

Внимание! Если размещение файла нарушает Ваши авторские права, то обязательно сообщите нам

1.1 Электрическая цепь (эц), элемент эц, электрическая схема. Источники и приемники электрической энергии.

ЭЦ – совокупность приборов и устройств, процессы в которых могут быть описаны при помощи понятий (ЭДС, сопротивление, напряжение и ток). Элементы электрической цепи – устройство или прибор, выполняющий определенные функции. Все элементы электрической цепи принципиально делятся на источники и потребители: 1. Источники электрической энергии – элементы, в которых различные виды энергии преобразуются в электрическую (к ним относятся: генераторы (механическая в электрическую); термопары (тепловая энергия в электрическую); солнечные батареи (световая в электрическую); аккумуляторы и гальванический элемент (химическая в электрическую)). 2. Потребители (приемники) электрической энергии - элементы электрической цепи, в которых электрическая энергия преобразуется в другие виды энергии (к ним относятся: двигатель (электрическая в механическую энергию); гальванические ванны (в химические связи); нагреватели (в тепловую энергию); лампы ( световая энергия)). 3. Вспомогательные элементы – выключатели, предохранители, разъемы, измерительные приборы.

Условные обозначения: источник ЭДС ; источник тока ; гальванический элемент, аккумулятор ;

резистор ; ротор или якорь машин постоянного тока ; лампа накаливания ; соединение проводов ; пересечение проводов ; выключатель – ключ ; амперметр ; вольтметр ; ваттметр

Схема – графическое изображение электрической цепи. Чаще всего используются электрические схемы 3-х видов:

1. Монтажная схема - изображает элементы цепи и соединительные провода.

2. Принципиальная схема – на ней показываются условные графические изображения элементов и их соединений.

3. Схема замещения – расчетная модель электрической цепи, на которой элементы замещаются идеализированными элементами без вспомогательных элементов, не влияющих на результаты расчетов.

1.3 Законы Кирхгофа. Расчет цепей постоянного тока путем непосредственного применения законов Кирхгофа

Законы К. – основные законы ЭЦ.

1. Алгебраическая сумма токов в любом узле ЭЦ = 0. Сумма токов, направленных к узлу = сумме токов, направленных от узла. Т.е. в узлах ЭЦ пост. тока заряды не могут накапливаться, т.к. в противном случае изменились бы потенциалы этих узлов и токи в ветвях.

Токи, втекающие в узел берутся с "+", вытекающие с "-"(I1+I2-I3-I4+I5=0). Если в схеме имеются n-узлов, тот для нее можно составить (n-1) независ. ур-й по 1 з-ну Кирх.

2. В любом замкнутом контуре электрической цепи алгебраическая сумма па­дений напряжений на элементах, входящих в контур, равна алгебраической сумме ЭДС.

Для составления равнения по 2-му закону Кирхгофа выбирается произ­вольное направление обхода контура. Тогда, если направление тока в цепи совпадает с направлением обхода, то соответствующее слагаемое берется со знаком «+», а если не совпадает, то со знаком «-». Аналогичное правило рас­становки знаков справедливо и для ЭДС.

Расчет цепей посредством двух законов Кирхгофа

Порядок расчета:

а) произвольно задаются положительными направлениями токов во всех ветвях схемы.

б) для всех узлов схемы кроме одного составляются уравнения по 1-му за­кону Кирхгофа.

в) для всех независимых контуров составляются уравнения по 2-му закону Кирхгофа (контур будет считаться независимым от остальных, если в него вхо­дит хотя бы одна новая ветвь, т.е. не вошедшая в состав других контуров).

Общее число уравнений, составленных по 1 и 2-му законам Кирхгофа должно быть равно числу неизвестных токов. Полученная система линейных уравнений разрешается относительно токов с использованием известных ме­тодов решения систем уравнений (например, с помощью определителей)

Если при решении системы уравнений значение какого-либо тока получи­лось отрицательным, то это означает, что истинное направление тока проти­воположно выбранному. Данный метод расчета является универсальным, од­нако расчет вручную возможен лишь для несложных схем (4-5 неизвестных тока). Для более сложных схем требуется применение иных методов или вы­числительной техники.

1.2 Классификация электрических цепей (эц). Закон Ома для участка цепи, содержащего источник эдс.

ЭЦ делятся:

1. По роду тока: - 1. цепи постоянного тока (ток, не меняющ. во времени), 2. цепи переменного тока (синусоидально-измененяющийся ток).

2. по составу элементов (линейные и нелинейные)

Линейные – ЭЦ сопротивление каждого эл-та кот. не зависит ни от тока, ни от напряжения. Зависимость напряж. от тока показывается на вольт-амперных хар-ках.

Нелинейные – если хотя бы один эл-т в цепи имеет сопрот-е, зависящее или от тока или от напряж-я.

3. по характеру распределения параметра (распределенного и сосредоточенного)

Закон Ома в простейшем случае связывает величину тока через сопротив­ление с величиной этого сопротивления и приложенного к нему напряжения:

Сила тока на некотором участке электрической цепи прямо пропорциональ­на напряжению на этом участке и обратно пропорциональна сопротивлению этого участка.

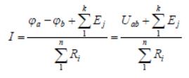
Обобщенный закон Ома для ветви, содержащей ЭДС (т.е. для активной вет­ви):

1.4 Энергия и мощность цепей. Баланс мощностей. Мощность потерь и кпд.

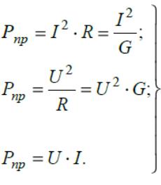
Согласно закону Джоуля-Ленца энергия, потребляемая резистивным элементом (резистором) с сопротивлением R, определяется по формулам:

В ЭЦ постоянного тока мощность Р равна отношению энергии W к промежутку времени t, в течение которого энергия была выработана источником или преобразована приемником ЭЭ:

Мощность численно равна энергии W, если промежуток времени t равен единице.

Если направление ЭДС и тока через источник совпадают, то мощность, вырабатываемая источником с ЭДС Е равна:

КПД – отношение мощности приемника (полезная мощность) к суммарной мощности всех потребителей

Сумма мощностей приемника равна сумме мощностей источников

Pист = ∑ PПР

Если направлении I и E в ситочнике ЭДС совпадают, то его мощность полож-на; если нет – отрицательна. Баланс мощностей. Правильность расчета токов в ветвях ЭЦ может быть проверена с помощью уравения баланса мощностей источников и приемников электрической энергии, в кот. правая часть характеризует мощность пассивных приемников, а левая – активных элементов цепи.

Суммарная мощность источников энергии в цепи = суммарной мощности потребляемой приемниками энергии EI=I2R; Pист=EI–мощ-ть выдел. источ энергии. Рпр=I2R - мощ-ть приемника энергии

1.5.Расчет цепей постоянного тока методом контурных токов

Метод предполагает, что в каждом независимом контуре протекает так называемый контурный ток, кот. замыкается только по своему контуру, оставаясь вдоль него неизменяемым. Число незав-х контуров опр-ся ур-ем: y=p–n+1; p-число ветвей, n-число узлов.

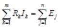
Если в схеме сущ. y–независ контуров, значит в ней протекает y–контурных токов, то составл-я y–ур-ий с y–неизв. Сопротивл вида R11,R22,Rnn-это собств-е сопрот. контура n равное сумме всех сопротивлений, входящих в этот контур. Сопр-е вида Rkf – сопр-е ветви общей для конт-ов k и f, причем это сопротивление берется с "+", если направление контур-х токов в ветви общей для контуров совпадает, если не совпадают "–". Правая часть ур-й En предст-т собой алгебраич. сумму всех ЭДС входящих в контур. ЭДС, направление кот. совпад. с направлением контур-го тока берутся со знаком "+ " и наоборот.

Действительный ток протек-й в ветви принадлеж-й только одному контуру численно = контур-у току, а ток в ветви принадлеж. нескольким контурам = алгебраич. сумме контурных токов, проходящей ч/з ветвь.

2.1 Получение синусоидальной эдс. Основные величины

Эл. цепи, в которых значения и направления ЭДС, напряжения и тока периодически изменяются по sin-ому закону наз цепями sin-го тока. Для получения sin-ой ЭДС можно использовать проводник в виде прямоугольной рамки, катушку, которая вращается со скоростью ω в постоянном магнит поле. Мгновенное значение перем-го тока в любой заданный момент времени, наз-ся мгн. знач. тока.

- мгновенное значение тока

Синусоидальный ток характеризуется следующими параметрами:

О сновные величины, характеризующие гармонические колебания.

a(t) = Am sin (ωt + ψ0), где Am – амплитуда ; ω – угловая частота колебаний ; ψ – частота колебаний;

T = 1/t - период колебаний; ψ0 – начальная фаза колебаний ; ωt + ψ0 – текущая фаза колебаний

В цепях переменного тока напряж и ток явл-сь синусоид-ой измен-щейся с одиноковой частотой имеют разные начальные фазы колебаний. Разность м/у нач. фазами напряжения и тока наз. сдвигом фаз м/у напряжением и током.

2.2 Представление синусоидальных функций в различных формах.

1. Аналитический способ

u(t) = Um sin (ωt + ψu)

е(t) = Еm sin (ωt + ψe)

i(t) = Im sin (ωt + ψi)

Но для расчета электрических цепей такое выражение неудобно, т.к. алгебраические действия с тригонометрическими функциями приводят к громоздким вычислениям

2. Представление синусоидальных функций при помощи векторов

Позволяет наглядно показать количественные и фазовые соотношения в цепях синусоидального тока. Векторы изображаются неподвижными для t=0. Длина вектора соответствует действующему значению. Углы наклона к оси абсцисс равны начальным фазам(ψi,ψu)

Неподвижные векторы определяют два параметра синусоидальной функции: действующее значение (амплитуду) и начальную фазу. Третий параметр – угловая частоты ω - должен быть известен

Угол между вектором напряжения и вектором тока равен углу сдвига фаз . Если и напряжение опережает по фазе ток на угол сдвига фаз . Если