РЕФЕРАТ
на тему:
"Конкурентна карта ринку та її
застосування в управлінні конкурентоспроможністю підприємства"
План
Вступ
Особливості дослідження конкурентного середовища підприємства
Аналіз діяльності конкурентів
Побудова конкурентної карти ринку
Формування конкурентної карти регіонального ринку плодоовочевої продукції в Полтавській області
Оцінка міжнародної конкурентоспроможності продукції Компанії "Конті"
Висновки
писок використаної літератури
Вступ
Для ефективного існування і зміцнення своїх позицій на певному ринку підприємство має дізнатися про своїх конкурентів все, що тільки можна. Виникає необхідність постійно порівнювати свої товари, ціни, канали розподілу і стимулювання збуту з тими, які використовують найближчі конкуренти. Відтак в умовах сучасної продовольчої кризи і підприємства харчової промисловості мають пильно стежити за діями своїх конкурентів.
Метою аналізу конкурентів є визначення напрямків діяльності і способів ведення конкурентної боротьби, однак це пов’язано з певними труднощами, оскільки галузь може характеризуватися діяльністю десятків або сотень підприємств.
Конкурент - товаровиробник, розширення або збереження обсягів діяльності якого веде до зменшення ринкової частки іншого товаровиробника - суб’єкта цього ринку або ринку товару-замінника.
Визначення головних конкурентів дозволяє більш ефективно будувати свою конкурентну стратегію і тактику, заощаджувати час і гроші на проведення аналізу конкурентів.
Об’єктами аналізу конкурентів можуть виступати:
· майбутні цілі конкурентів (на всіх рівнях управління та у багатьох вимірах); поточна стратегія (як фірма веде конкурентну боротьбу); можливості (сильні та слабкі місця конкурента); характер реакції конкурента. Слід зазначити, що зібрати достовірну інформацію, якої вимагає проведення аналізу за цими компонентами досить складно, оскільки погляд на конкурента тут здійснюється не ззовні, а з середини;
· стратегічна орієнтація
організації та її економічна політика; рівень якості продукту; організація
збуту і реалізації продукції; маркетингові можливості; виробничий потенціал,
забезпеченість енергією та сировиною; фінансова ситуація; рівень наукових
досліджень і розробок; географічна локалізація системи виробництва і збуту;
рівень витрат на виробництво; якість підготовки керівників і персоналу;
марка/імідж фірми.
Для сучасної підприємницької діяльності характерним є високий ступінь конкуренції. Під конкуренцією розуміють суперництво на певному ринку між окремими юридичними або фізичними особами (конкурентами), зацікавленими в досягненні однієї й тієї самої мети. З погляду підприємства такою метою є максимізація прибутку за рахунок формування прихильності споживачів.
На гостроту конкурентної боротьби впливають різні чинники. Однак деякі з них зустрічаються частіше від інших.
. Боротьба посилюється, коли кількість конкуруючих фірм, підприємств чи організацій збільшується і коли вони стають відносно порівнюваними з погляду розмірів і можливостей. Кількість є важливим чинником, оскільки, чим вона більша, тим більша ймовірність виявлення підприємством нових стратегічних ініціатив.
. Конкурентна боротьба посилюється, коли попит на продукт зростає повільно.
. Конкуренція на певних сегментах ринку може посилюватися ще й тому, що попит на товари або послуги вирізняється значними сезонними коливаннями.
. Конкуренція посилюється, коли товари підприємства недостатньо диференційовані.
. Суперництво зростає відповідно до розміру віддачі від успішних стратегічних маневрів.
. Боротьба має тенденцію до посилення, коли залишати ринок виявляється дорожчим, ніж продовжувати конкурентну боротьбу.
. Конкуренція набуває гострого та непередбачуваного характеру під час поглиблення розбіжностей між підприємствами в підходах до стратегій, кадрового складу, загальних пріоритетів, ресурсів.
конкурентна карта ринок конкурентоспроможність
З вищевикладеного стає зрозуміло, що конкуренція
є частиною маркетингового середовища фірми, тому вона завжди повинна бути
предметом ґрунтовного вивчення та оцінювання. Вивчення сукупності суб'єктів
ринку та їхніх відносин, які складаються у процесі конкурентної боротьби і які
визначають інтенсивність конкуренції, являє собою дуже важливий, з практичного
погляду, напрям маркетингових досліджень. Аналіз поведінки конкурентів і
розробка плану конкретних дій стосовно головних суперників часто приносить
більше користі, ніж навіть суттєве реальне зростання на даному сегменті ринку.
Знаючи слабкі та сильні сторони конкурентів, можна оцінити їхні потенціал,
цілі, наявну та майбутню стратегії. Це дасть змогу стратегічно точно
зорієнтуватись щодо того, де конкурент є слабкішим. Таким чином підприємство
зможе розширювати власні переваги в конкурентній боротьбі. Практично всі значні
маркетингові успіхи підприємства ґрунтуються на конкуренції власних кращих сил
проти слабких місць конкурентів. Зробити це можливо тільки за добре
налагодженої системи їхнього дослідження (рис. 1).
Рис. 1. Значення маркетингових досліджень
конкурентів
Оцінювання стану конкурентної боротьби
ускладнюється тим, що надзвичайно важко проводити аналіз діяльності всіх
конкурентів на ринку. Тому виділяють їхні стратегічні групи (рис. 2.).
Рис. 2. Стратегічні групи конкурентів
підприємства
Наявні прямі конкуренти - це підприємства, що в минулому і тепер безпосередньо конкурують із фірмою. Серед потенційних конкурентів розрізняють:
наявні підприємства, що розширюють коло пропонованих товарів і/або послуг, удосконалюють товарну стратегію задля того, щоб краще задовольняти потреби споживачів, а надалі мають намір стати прямими конкурентами;
нові фірми, що вступають у конкурентну боротьбу.
Розмежування стратегічних груп уможливлює перетворення процесу аналізу діяльності конкуренції на більш керований. Так, дії різних конкурентів потрібно проаналізувати з різним ступенем глибини.
Збір усіх даних, необхідних для аналізу
конкурентів, практично майже завжди неможливий. Тому часто використовують схему
досліджень, запропоновану американським ученим М. Портером (рис. 3). Ця схема
містить чотири основні елементи, що характеризують конкурентів: мета на
майбутнє, по! точні стратегії, уявлення про себе та ринкові можливості.
Рис. 3 Елементи аналізу діяльності конкурентів
Проведення аналізу діяльності конкурентів пов'язане з систематичним нагромадженням відповідної інформації. Усю інформацію можна поділити на дві групи:
) кількісна, або формальна, інформація:
організаційно-правова форма;
кількість персоналу;
активи;
доступ до інших джерел ресурсів;
обсяг продажу;
частка ринку;
рентабельність;
керівники підприємства;
наявність і розміри філіальної мережі;
перелік основних видів товарів і/або послуг;
інші кількісні дані (наприклад, вартість послуг, витрати на рекламу тощо);
) якісна інформація:
репутація конкурентів;
популярність, престиж;
досвід керівництва та персоналу;
частота трудових конфліктів;
пріоритети на ринку;
гнучкість маркетингової стратегії;
ефективність продуктової стратегії;
робота щодо виведення нових товарів;
цінова стратегія;
збутова стратегія;
комунікаційна стратегія;
організація маркетингу;
рівень обслуговування споживачів;
переваги споживачів;
реакції конкурентів на зміни в ринковій ситуації.
Кількісна інформація є об'єктивною й відображає фактичні дані про діяльність конкурентів. Оскільки товари та послуги сприймаються індивідуально і часто залежать від того, хто їх виробляє та надає, великого значення набувають якісні характеристики конкурентів. Якісна інформація є сукупністю суб'єктивних оцінок, тому що відображає неформалізовані параметри. Вона може бути доповнена відгуками споживачів, клієнтів, експертів.
Комплексну оцінку діяльності конкурентів можна отримати шляхом використання спеціальних таблиць, у яких наведено дані про основних конкурентів. Аналіз матеріалів даних таблиць дає змогу правильно та своєчасно реагувати на:
зміну основних конкурентів;
специфічні особливості стратегії конкурентів.
Результати аналізу показують:
де найсильніші місця конкурентів і де найслабкіші;
чому конкуренти віддають перевагу;
як швидко можна очікувати реакції конкурентів;
які існують бар'єри для входження на ринок;
які перспективи вистояти в конкурентній боротьбі.
Загалом, процес діагностики конкурентного середовища компанії включає ряд логічно взаємопов’язаних етапів:
. Виявлення переліку фірм, що знаходяться на релевантному зовнішньому ринку; визначення прямих конкурентів; побудова карти стратегічних груп конкурентів.
. Збір вихідної інформації та приведення економічних показників до співставного виду.
. Визначення типу обраного ринку та розрахунок характеристик, що відображають рівень впливу на підприємство конкурентних сил.
. Розрахунок узагальнюючих показників інтенсивності конкуренції та оцінка ступеню монополізації ринку.
. Аналіз конкурентних позицій компаній на релевантному зовнішньому ринку:
визначення ринкових часток компаній на початок і кінець аналізованого періоду;
розрахунок середньої ринкової частки, формування груп фірм, які знаходяться на ринку і розрахунок середньої ринкової частки для кожної групи;
розрахунок темпів приросту ринкових часток кожної фірми та визначених груп;
факторний аналіз динаміки ринкової частки досліджуваної компанії;
визначення виду статистичного розподілу ринкових часток.
. Побудова конкурентної карти ринку, виявлення стратегічних положень фірм на релевантному ринку, ситуаційний аналіз і прогнозування конкурентної стратегії фірми.
На першому етапі діагностики конкурентного середовища необхідно визначити коло існуючих на ринку конкурентів. Для цього можна скористатися кількома критеріями. Наприклад, можна досліджувати тільки безпосередніх конкурентів, які виробляють аналогічну продукцію, обсяги реалізації яких у натуральному та вартісному виразі найбільш близькі до відповідних показників підприємств, що досліджується. Такі фірми зазвичай орієнтуються на одну ринкову нішу, їх називають стратегічною групою. Стратегічна група конкурентів - це певна кількість підприємств, які займають близькі позиції на ринку та конкурують між собою на основі схожих конкурентних переваг аналогічними методами. Диференціація ніш дещо послаблює конкурентну боротьбу між різними стратегічними групами, проте посилює її в межах таких груп.
Практика менеджменту виробила систему критеріїв віднесення компаній до однієї стратегічної групи:
а) маркетингово-збутові:
спрямованість на одних замовників;
задоволення потреб покупців, що потребують однакових особливостей у виробах;
використання однієї системи розподілу;
використання подібних прийомів у засобах масової реклами тощо.
б) виробничо-технологічні:
однакові тип і ступінь вертикальної інтеграції;
ідентичні технологічні підходи до виготовлення та обслуговування продуктів або надання послуг тощо.
в) продуктові:
схожа структура асортименту продукції;
діяльність в одному інтервалі параметрів "ціна-якість";
пропонування покупцям аналогічних послуг та технічної допомоги в експлуатації тощо.
г) управлінські (тактичні і стратегічні):
схожі стратегічні орієнтири та механізм їх досягнення;
однакова поведінка на ринку тощо.
Відомі американські економісти А. Томсон та А. Стрікленд для ідентифікації стратегічних груп конкурентів на ринку пропонують застосовувати графічний метод, а саме побудову карти стратегічних груп.
Наступним етапом діагностики є характеристика конкурентних сил та визначення типу ринку, що здійснюється експертним шляхом на основі моделі "п’яти сил" М. Портера. Для оцінки впливу окремих факторів конкурентного середовища доцільно використовувати 3-х бальну шкалу: 1 бал - слабкий вплив, 2 бали - помірний вплив і 3 бали - сильний вплив. По кожній конкурентній силі підраховується середнє значення її впливу.
Наступним важливим етапом діагностики конкурентного середовища є оцінка інтенсивності конкуренції. В практиці менеджменту напрацьовано ряд методик оцінки інтенсивності конкурентної боротьби та визначення рівня монополізації ринку.
Вже на даному етапі діагностики конкурентного середовища можна робити певні узагальнюючі висновки про стан конкурентоспроможності досліджуваного підприємства, а також динаміку конкурентних позицій його основних конкурентів. Так, якщо ринкова частка компанії має стабільну тенденцію до зростання, то це свідчить не лише про підвищення ефективності маркетингово-збутової діяльності підприємства, але й про збільшення ресурсів фірми за одночасного відносного скорочення їх у інших гравців на ринку. В умовах незмінного обсягу продажів на ринку збільшення ринкової частки обов’язково означає одночасне її зменшення у конкурентів.
Інформація про конкурентів, згрупована за окремими показниками, уможливлює побудову конкурентної карти ринку.
Завершальним етапом діагностики конкурентного середовища фірми є побудова конкурентної карти ринку. Вона має вигляд матриці, в якій по рядках фірми групуються за темпом росту ринкової частки (швидке покращення конкурентної позиції; покращення конкурентної позиції; погіршення конкурентної позиції; швидке погіршення конкурентної позиції), а по стовпцях - залежно від обсягу ринкової частки (лідер, сильна конкурентна позиція, слабка конкурентна позиція, аутсайдер) (табл.).
З метою виділення типових груп фірм на основі визначених раніше середніх значень ринкових часток для компаній зі слабкою (Sm1) та сильною конкурентними позиціями (Sm2), а також темпу приросту обсягів ринку (Tt) розраховуються середньоквадратичні відхилення ринкових часток фірм, а також середньоквадратичне відхилення темпів приросту їх ринкових часток:
Таблиця 1.1
Визначення виду статистичного розподілу ринкових
часток та їх приростів
Показник
Розрахунок
Середньоквадратичне
відхилення ринкових часток фірм із слабкою конкурентною позицією
Середньоквадратичне
відхилення ринкових часток фірм із сильною конкурентною позицією
Середньоквадратичне
відхилення темпів приросту ринкових часток фірм
Розраховані показники є основними для визначення
меж типових стратегічних положень фірм на конкурентній карті ринку.
Конкурентна карта дозволяє досить точно визначити
співвідношення сил у галузі, встановити стратегічні завдання розвитку фірми на
релевантному ринку, ідентифікувати позиції безпосередніх та непрямих
конкурентів, оцінити потенціал виникнення проблеми міжнародної
конкурентоспроможності підприємства, окреслити рекомендації щодо вдосконалення
конкурентної стратегії компанії тощо.
Так, для компаній-лідерів за розміром ринкової
частки головними напрямами конкурентної боротьби можуть бути: посилення тиску
на конкурентів на основі агресивного інвестування в інноваційні розробки;
стабілізація конкурентної позиції шляхом підтримки досягнутого рівня
рентабельності, створення додаткових вхідних бар’єрів, покращення сервісу,
гнучкішої цінової політики тощо.
Таблиця 1.2
Конкурентна карта ринку
КЛАСИФІКАЦІЯ
ЗА ТЕМПОМ ЗРОСТАННЯ РИНКОВОЇ ЧАСТКИ
КЛАСИФІКАЦІЯ
ЗА РОЗМІРОМ РИНКОВОЇ ЧАСТКИ
І.
Лідер
ІІ.
Сильна конкурентна позиція
ІІІ.
Слабка конкурентна позиція І.
Швидке покращення конкурентної позиції
Smax
> S > Sm + 3s2 ПОЗИЦІЯ 1 Tmax > Ts > Tt
+ 3st
Sm
+ 3s2> S > Sm ПОЗИЦІЯ
5 Tmax > Ts > Tt + 3st
Sm
> S > Sm - 3s1 ПОЗИЦІЯ 9 Tmax > Ts > Tt
+ 3st
Sm
- 3s1> S > Smin
ПОЗИЦІЯ 13 Tmax > Ts > Tt + 3st
ІІ.
Покращення конкурентної позиції
Smax
> S > Sm + 3s2 ПОЗИЦІЯ 2 Tt + 3st > Ts > Tt
Sm
+ 3s2> S > Sm
ПОЗИЦІЯ 6 Tt + 3st > Ts > Tt
Sm
> S > Sm - 3s1 ПОЗИЦІЯ 10 Tt + 3st > Ts > Tt
Sm
- 3s1> S > Smin
ПОЗИЦІЯ 14 Tt + 3st > Ts > Tt
ІІІ.
Погіршення конкурентної позиції
Smax
> S > Sm + 3s2 ПОЗИЦІЯ 3 Tt > Ts > Tt - 3st
Sm
+ 3s2> S > Sm
ПОЗИЦІЯ 7 Tt > Ts > Tt - 3st
Sm
> S > Sm - 3s1 ПОЗИЦІЯ 11 Tt > Ts > Tt - 3st
Sm
- 3s1> S > Smin
ПОЗИЦІЯ 15 Tt > Ts > Tt - 3st
ІV.
Швидке погіршення конкурентної позиції
Smax
> S > Sm + 3s2 ПОЗИЦІЯ 4 Tt - 3st > Ts > Tmin
Sm
+ 3s2> S > Sm ПОЗИЦІЯ
8 Tt - 3st >
Ts > Tmin
Sm
> S > Sm - 3s1 ПОЗИЦІЯ 12 Tt - 3st > Ts > Tmin
Sm
- 3s1> S > Smin
ПОЗИЦІЯ 16 Tt - 3st > Ts > Tmin
Конкурентна карта ринку може бути побудована з
використанням двох показників: частки ринку підприємства та динаміки ринкової
частки. Розподіл ринкової частки дає змогу виділити низку стандартних станів
підприємств на ринку: лідери ринку; підприємства з сильною конкурентною
позицією; підприємства зі слабкою конкурентною позицією; аутсайдери ринку.
Під час оцінювання динамічної зміни частки ринку
використовують показник величини темпу зростання ринкової частки.
Для визначення ступеня зміни конкурентної позиції
доцільно виділяти типові стани підприємства згідно з динамікою його ринкової
частки:
підприємства зі швидкозростаючою конкурентною
позицією;
підприємства з конкурентною позицією, що
поліпшується;
підприємства з конкурентною позицією, що
погіршується;
підприємства з конкурентною позицією, що швидко
погіршується.
Конкурентна карта ринку (табл. 1.3) будується,
виходячи з перехресної класифікації розміру та динаміки ринкової частки. Це дає
змогу виділити 16 типових станів підприємств, які відрізняються ступенем
використання конкурентних переваг. У найкращому стані перебувають підприємства
першої групи, у найгіршому - аутсайдери ринку.
Таблиця 1.3
Матриця формування конкурентної карти ринку
За рівних ринкових часток використовується
показник їхньої стабільності. Він характеризує ступінь надання переваг
споживачами товарам чи послугам підприємства та показує, яку частину в
загальному обсязі продажу становлять продажі постійним покупцям. Використання
показника стабільності ринкової частки як уточнюючого коефіцієнта дає змогу
однозначно розподілити підприємства всередині кожної класифікаційної групи.
Оцінка конкурентного статусу уможливлює виконання
низки важливих завдань:
визначити особливості розвитку конкурентної
ситуації;
виявити ступінь домінування підприємств на ринку;
визначити найближчих конкурентів;
встановити відносну позицію підприємства серед
учасників ринку.
Усе це в комплексі дає змогу більш обґрунтовано
підійти до питань розробки стратегії з метою досягнення конкурентних переваг,
які враховують конкурентний статус підприємства й особливості його ринкового
оточення.
Компаніям із сильною конкурентною позицією
рекомендуються наступні стратегічні альтернативи: пошук незайнятої ніші зі
слабкою конкуренцією, пристосування до обраного цільового ринку, наслідування
поведінки лідера, поглинання дрібних конкурентів тощо.
Фірми зі слабкою конкурентною позицією мають
орієнтуватися на здешевлення товарів/послуг або їх ефективну диференціацію,
збереження існуючої частки ринку і рентабельності; реінвестиції на рівні
достатнього мінімуму для одержання короткострокових прибутків, або вилучення
ресурсів з нерентабельного напрямку бізнесу з метою їх алокації у більш перспективні
сфери.
Позиція аутсайдерів на даному ринку вимагає або
радикальної реорганізації бізнесу (із суттєвим зниженням витрат або, навпаки,
підвищенням цін у випадку нееластичності попиту), або виходу компанії з даного
бізнесу з розпродажем активів та скороченням персоналу.
Відрізняються стратегічні напрямки ведення
бізнесу також залежно від темпів зростання ринкової частки та платоспроможного
попиту на ринку в цілому. Так, на швидко зростаючому ринку конкурентоспроможні
компанії повинні орієнтуватися на інноваційний стиль ведення бізнесу, швидке
реагування на появу нових технологій, закріплення переваг пріоритету,
розширення меж ринку, формування лояльності споживачів, захист власних позицій
до приходу великих конкурентів.
На ринку з позиційним (уповільненим) характером
зростання важливими напрямами забезпечення конкурентоспроможності є скорочення
витрат, впровадження технологічних інновацій, орієнтація на досягнення ефекту
масштабів, врахування цінової політики конкурентів, зміцнення зв’язків з традиційними
клієнтами. Для такого ринку характерне наростання інтенсивності конкурентної
боротьби, що вимагає пошуку конкурентів - кандидатів на виведення з ринку,
оцінки можливості виходу на зовнішні ринки з метою розширення ресурсної та
клієнтської бази.
Для ринку на етапі стагнації або скорочення
перспективними напрямами проектування конкурентної стратегії є концентрація
зусиль на зростаючих сегментах в межах такого ринку, зниження собівартості
продукції, інвестування в радикальні інновації, що відкривають шлях для
нецінової конкуренції.
В Полтавській області функціонує близько 350
сільськогосподарських підприємств. Значно менше підприємств займається
виробництвом плодоовочевої продукції. Для дослідження конкурентних позицій
підприємств, що виробляють плодоовочеву продукцію, нами обрано 35 підприємств
різних форм господарювання з різних районів Полтавської області.
Для визначення головних конкурентних сил у галузі
ми скористалися методикою діагностики конкурентного середовища ринку,
запропонованою Т.А. Бурцевою [2], на основі якої будується конкурентна карта
ринку.
Для її побудови проводиться класифікація
підприємств за двома показниками: частка ринку підприємства та темп зростання
обсягів продажу.
Всю сукупність підприємств, що діє на
плодоовочевому ринку, ділимо на два сектора, для яких значення часток ринку
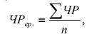
більше або менше середнього значення, що розрахується за формулою:
де ЧР - частки ринку досліджуваних підприємств,
%.- кількість досліджуваних підприємств, що діють на плодоовочевому ринку.
Розраховане середнє значення ринкових часток
становить 3,04%. У кожному з секторів (в 1 секторі - 23 підприємства, в 2
секторі - 12 підприємств) розраховуємо середньоквадратичне відхилення, яке
разом із мінімальним та максимальним значеннями визначає межі представлених
груп. Середньоквадратичне відхилення частки ринку підприємств розраховуємо по
секторам ( ) ЧРi ³ £ ЧРср.
Розраховані середньоарифметичні значення ринкової частки в 1 та 2 групах
становлять, відповідно, ЧРср.1 = 0,79% та ЧРср.2 = 7,35%.
Розраховані середньоквадратичні відхилення частки
ринку підприємств по секторах становлять S1=0,84 та S2=5,13,
відповідно. Для обліку кон’юнктурної ситуації на ринку розраховуємо показник
тенденції зміни обсягів продажу і пов’язану з нею зміну конкурентної позиції
підприємства. Тенденція оцінюється з допомогою показника темпу зростання
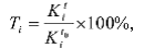
обсягів продажу, який розраховується за формулою:
де Ti - темп приросту частки
ринку і-го підприємства, %;
Середній темп зростання обсягів продажу
розраховується за формулою:
де n - кількість підприємств, що розглядається,
од.
Розрахований нами середній темп зростання
становить Tср = 2,97%. Розподіляємо всі
підприємства на 2 групи, для яких значення темпів зростання більше або менше
середнього значення. Середньоквадратичне відхилення темпів зростання обсягів
продажу підприємств розраховуємо по групах Ti ³ (£) Tср.
Розраховані середньоарифметичні значення темпів зростання обсягів продажу
підприємств у 1 та 2 групах становлять, відповідно, Tср.1 = 1,38% та Tср.2
= 8,83%.
Розраховані середньоквадратичні відхилення темпів
зростання обсягів продажу підприємств по групах становлять S3=0,74 та
S4=8,30, відповідно.
Для оцінки ступеню зміни конкурентної позиції
виділяють 4 типових стани підприємства за темпом зростання обсягів продажу.
Матриця формування конкурентної карти ринку наведена в таблиці 1, що заснована
на перехресній класифікації розміру та динаміки її часток ринку по
плодоовочевій продукції.
За результатами аналізу лідерами ринку вийшли ВАТ
"Бурякорадгосп Ланнівський", причому конкурентна позиція даного
підприємства в звітному році покращилася в порівнянні з базовим, та ФГ
"Пустовіт і сини", конкурентна позиція якого є несприятливою. Значна кількість
аналізованих підприємств потрапила до групи аутсайдерів ринку, однак такі
підприємства як СТОВ ім. Воровського, СТОВ ім. Калашника, СК "Іскра",
ФГ "Лан" та ПСП "Маяк" (Семенівського району) поліпшили
свої позиції на ринку в звітному році в порівнянні з базовим роком.
Решта підприємств, що потрапили до числа
аутсайдерів, мають гіршу ситуацію, - їх конкурентні позиції в звітному році
несприятливі. Серед тих підприємств, що займають сильні позиції на ринку, ФГ
"Виноґрона" має найбільш сприятливу конкурентну позицію. СТОВ
"СС "Тростянець", ТОВ "Декор Агро", ТОВ АФ
"Маяк" (Котелевського району), ПСП "Дружба" та ПСП
"Нива" мають конкурентні позиції, що покращуються. Конкурентні позиції
інших підприємств, які ввійшли до цієї групи, погіршуються. До групи
підприємств зі слабкою конкурентною позицією потрапило ФГ "Щаслива
доля", яке поліпшило свої конкурентні позиції, а також ФГ
"Бакін", конкурентна позиція якого в звітному році погіршилась в
порівнянні з базовим.
Компанія "Конті" була заснована у 1997
році як закрите акціонерне товариство з найменуванням "Виробниче
об'єднання "Київ-Конті". До складу підприємства на той момент входила
одна кондитерська фабрика - Костянтинівська, з традиційним асортиментом
цукерок, печива, карамелі та драже.
У 1999 році виробництво було розширене за рахунок
придбання Горлівської кондитерської фабрики, що спеціалізується на випуску
різних видів печива. У 2001 році до складу компанії увійшла Донецька
кондитерська фабрика, яка після модернізації стала сучасним інноваційним
підприємством Компанії "Конті". З 2004 року Компанія виходить на
російський ринок за рахунок придбання Курської кондитерської фабрики.
Поєднавши виробництво в Українi та Росiї було
створено Групу "Контi", до складу якої входять Приватне акціонерне
товариство "Виробниче об’єднання "Конті" в Українi та ЗАТ
"Конті-Рус" в Росiї. Зараз Група "Конті" входить в трійку
провідних виробників кондитерського ринку Східної Європи [16].
В результаті змін, що відбулися за 15 років
існування компанії, на сьогоднішній день сформувалась потужна виробнича
структура, що представлена на рисунку 2.1.
З наведеного вище рисунку видно, що компанія має
значні виробничі потужності на території України. Кожна фабрика спеціалізується
на виробленні визначеного ряду товарних позицій, що дає можливість компанії
більш ефективно організувати свою діяльність. Компанії також належить Курська
КФ, у 2010 році відкрито Нову Фабрику та у 2011 році запущено потужний
виробничо-адміністративний комплекс в Курську, що полегшує розширення
присутності на російському ринку, особливо в умовах невизначеності подальших
зовнішньоекономічних відносин з України з Росією та підвищення митних ставок на
ввіз кондитерської продукції в Росію.
Для ефективного управління діяльністю компанії
сформовано організаційну структуру, яка відповідає нормам українського
законодавства та забезпечує розподіл повноважень органів управління у
реалізації стратегії компанії. Структура управління АТ "ВО
"Конті" наведена на рисунку 2.2.
Рисунок 2.2 - Організаційна структура управління
АТ "ВО "Конті" [24; 25]
З наведеної вище структури бачимо, що вищім
органом органом управління АТ "ВО "Конті" є Загальні збори
акціонерів. В функції Наглядової Ради входить захист інтересів акціонерів,
питання стратегічного управляння та контролю за діяльність Виконавчого органу.
Члени Наглядової Ради, у тому числі її Голова призначаються Загальними зборами
акціонерів та є їм підзвітними. В коло питань Виконавчого органу входить
оперативне управляння діяльністю компанії. Генеральний директор, що входить до
складу Виконавчого органу здійснює керівництво поточною діяльністю компанії,
виробляє політику з метою збереження та збільшення прибутковості та
конкурентоздатності компанії. Генеральний директор створює на власний розсуд
організаційну структуру компанії з Департаментів, відділів та підрозділів,
призначає керівників даних органів. Правління та Генеральний директор є
підконтрольними та підзвітними Наглядовій Раді та Зборам акціонерів. В
організаційну структуру АТ "ВО "Конті" входить ряд підрозділів,
між якими розподілені відповідні операційні функції.
У всіх структурних підрозділах Групи працює біля
10 тис. співробітників, з них 5,5 тис. в Україні. Кадрова програма компанії,
спрямована на забезпечення високого рiвня квалiфiкацiї її працiвникiв. Компанія
iнвестує значну суму коштiв на навчання та покращення квалiфiкацiї персоналу.
Система навчання обiймає всi структурнi пiдроздiли та всi категорiї
спiвробiтникiв. Компанія придiляє значну роль перiодичним атестацiя як робочих
мiсць, так й посад.
На фабриках Компанії "Конті" працює 59
сучасних високотехнологічних ліній по випуску кондитерської продукції.
Виробниче обладнання для компанії розробляють і поставляють провідні
європейські компанії за спеціальним замовленням. Інноваційне високоякісне
обладнання дає можливість компанії випускати кондитерські вироби, що не мають
аналогів на ринку, дотримуватися всіх санітарно-гігієнічних та технологічних
норм, а також гарантувати високу якість виробленої продукції [16].
Ефективність виробничо-господарської діяльності
Компанії "Конті" відображають її поточні результати, що визначають
місце компанії на ринку. Так, за результатами 2011 р. компанія займає майже 12%
кондитерського ринку України та 4% ринку Росії. Результативність діяльності
демонструють фінансові показники компанії (див. рис 2.3.).
Рисунок 2.3 - Динаміка чистих продаж та чистого
прибутку Компанії "Конті" за 2004-2013 рр.
Як видно з наведених вище даних Компанія
"Конті" постійно нарощує обсяг продажу, що свідчить про постійне
зростання попиту на продукцію підприємства та його популярність на ринку, обсяг
продажу в грошовому вимірі в 2013 році склав 4,2 млрд. грн.
Як бачимо, у 2008 році відбулося падіння чистого
прибутку компанії на 7%, однак це було обумовлено негативною курсовою різницею
по валютним позикам компанії, викликаною девальвацією гривні, однак зараз всі
позики переведені в гривню та рубль.
Безумовно, стратегічну зацікавленість Компанії
"Конті" є розширення присутності на російському ринку. Однак це не
єдиний напрямок експорту продукції компанії. Географічна структура експорту
Компанії "Конті" у 2013 році наведена на рисунку 2.4.
Рисунок 2.4 - Географічна структура експорту
Компанії "Конті" за 2012 р., %
Як бачимо, компанія експортує свою продукцію не
тільки в Росію, хоча її частка в експорті є найбільшою, але і в інші країни
світу, в основному орієнтуючись на країни СНД та Балтії.
На сьогоднішній день Компанія "Конті"
виробляє широкий асортимент кондитерської прордукції, серед якої - шоколад,
шоколаднi цукерки, цукерки помаднi, печиво, шоколадно-вафельнi торти, шоколаднi
батончики, вафлi, карамель, драже, мармелад, крекер, пралiновi цукерки,
тарталетки, тоффi, бiсквiтнi рулети, бiсквiтнi торти.
Структура виробництва за основними товарними
групами представлена на рисунку 2.5.
Рисунок 2.5 - Структура виробництва Компанії
"Конті" за товарними групами за 2012 р., %
З наведених вище даних можемо зробити висновок,
що найбільшу питому вагу у виробництві Компанії "Конті" займають
цукерки та печиво. Взагалі, дана компанія є безперечним лідером українського
ринку у сегменті шоколадних цукерок. Значну частку у виробництві займають також
карамель, десерти та вафлі. При цьому компанія проводить постійний моніторинг
споживчих вподобань та реагує на них регулярно пропонуючи на ринок нові
продукти та змінюючи існуючу структуру виробництва.
Основними торговельними марками групи
"Конті" є: "Конті", "AMOUR", "Бонжур",
"Мамулiн торт", "Белiссiмо", "Мелодiка",
"Супер-Контiк", "Гранд" та інші [12].
Компанія "Конті" виробляє продукцію
високої якості, що забезпечується за рахунок використання високоякісної
сировини та використання натуральних продуктів, інноваційних технологій
виробництва та безпечних умов зберігання продукції. Про високу якість
кондитерських виробів "КОНТІ" та відповідність міжнародним стандартам
свідчать сертифікати: Сертифікат ISO 22000: 2005 та Сертифікат ISO 9001: 2008
[16].
Досліджуючи конкурентоспроможность продукції
Компанії "Конті" проведемо аналізу її інновативності у порівнянні з
конкурентами (табл.2)
Таблиця 2 - Асортимент та інноваційність
продукції Компанії "Конті" [15-22]
Назва
фірми
Торгова
марка
Кількість
видів продукції, що реалізовано у 2012 році
Кількість
нових видів продукції, що в середньому з`являється кожен рік
Корпорація
"Roshen"
"Roshen"
270
37-43
Компанія
"Конті"
"Конті",
"BisKonti", "Bonjour", "Amour"
255
35-37
Компанія
"АВК"
"Королівский
Шедевр", "Domior", "Королівський шарм",
"Крем-суфле", "Мажор", "Фрутта - смачна
хвилина"
235
28-30
ПАТ
"Бісквіт-Шоколад"
"Old
Collection", "Забодайка"
220
29
ПАТ
"Полтавакондитер"
"Doмiнік"
180
16-18
ЗАТ
"Житомирські ласощі"
"ЖЛ",
"Doma", "Optimix"
215
27
ПАТ
"Крафт Фудз Україна"
"Корона",
"Milka", "Oreo", "Picnic", "Ведмедик
"Барні", "Belvita. Добрий ранок!", "Halls"
90
10
Львівська
КФ "Світоч"
"Nestlé", "Світоч", "Aero", "Lion"
65
8-10
Інші
-
4-7
З наведених вище даних можна зробити висновок, що
найширший асортиментний ряд мають компанії "Roshen" та
"Конті". На третьому місці знаходиться Бісквіт-Шоколад, що займає
сильні позиції у сегменті кондитерських виробів середньої цінової категорії.
Подібні характеристики має також Житомирські ласощі. Однин із найпотужніших
гравців кондитерського ринку - компанія "АВК" за асортиментом дещо
поступається названим конкурентам через орієнтацію на виробництво шоколадних
цукерок. Найменший асортимент серед досліджуваних фірм мають Крафт Фудз Україна
та Львівська КФ "Світоч", що переважно спеціалізуються на виробах з
шоколаду. Що стосується інновативності продукції, то трійку лідерів формують
"Roshen", "Конті" та "АВК", що випускають на рік
близько 37-43, 35-37, 28-30 відповідно нових видів продукції. Найменшу
кількість нових продуктів вводять щороку Крафт Фудз Україна та Львівська КФ
"Світоч".
Наступним етапом оцінки конкурентоспроможності продукції
Компанії "Конті" має бути порівняльний аналіз продукції компанії з
товарами компаній-конкурентів. Для цього використаємо метод експертних оцінок.
Порівняємо продукцію Компанії "Конті" та її конкурентів за основними
характеристиками використовуючи 10-бальну шкалу. Результати експертного
оцінювання та вихідні данні для побудови багатокутників конкурентоспроможності
(рис.2.6) наведені у таблиці А.1.
Порівнявши площину отриманих багатокутників можна
зробити висновок, що найбільш конкурентоспроможною є продукція Корпорації
"Рошен". На другому місці знаходиться продукція Компанії
"Конті". Компанія "АВК" займає третє місце за рівнем
конкурентоспроможності продукції. Найменш конкурентоспроможною виявилась
продукція ПАТ "Бісквіт-Шоколад". Характеристиками, що забезпечили
високий рівень конкурентоспроможності продукції Компанії "Конті" є:
якість продукції, ефективність реклами, відомість бренду та привабливість
упаковки. Однак ціна продукції є дещо вищою порівняно з основними конкурентами.
Рисунок 2.6 - Багатокутники
конкурентоспроможності продукції Компанії "Конті" та її конкурентів
Врахувавши вагомість кожного з наведених вище
факторів конкурентоспроможності та просумувавши зважені оцінки розрахуємо
інтегральний показник конкурентоспроможності продукції компаній. Так, загальна
інтегральна оцінка конкурентоспроможності продукції найвища у Корпорації
"Рошен" - 9,1. Друге місце розділяють Компанія "Конті" та
Компанія "АВК" з показником 8,7. Дещо нижча конкурентоспроможність кондитерських
виробів ПАТ "Бісквіт-Шоколад" та ПАТ "Крафт Фудз Україна". Характеристика конкурентного середовища
підприємства
Ринок кондитерських виробів сьогодні інтенсивно
розвивається в Україні. Неухильно зростає попит на солодощі серед населення,
посилюються вимоги до якості та безпеки харчових продуктів, з’являються нові
види товарів - все це призводить до зростання конкуренції виробників [10].
Динаміка розвитку кондитерського ринку України представлена на рисунку 2.7.
Рисунок 2.7 - Обсяг ринку кондитерських виробів
України за 2001-2013 рр., млрд. дол.
Виходячи з наведених вище даних можна дійти
висновку, що світова фінансова криза вплинула на розвиток кондитерського ринку,
при чому це проявилося як через негативну курсову динаміку, що призвела до
відносного подорожчання імпортної сировини, зокрема какао-бобів та
какао-порошку, так і через погіршення фінансового стану підприємств та зниження
купівельної спроможності споживачів. Однак вже починаючи з середини 2009 року
ринок відновив тенденцію до зростання і в 2013 році обсяг кондитерського ринку
України склав 2,32 млрд. дол. США, що на 9,5% більше, ніж у попередньому році
[27].
Важливим показником стану ринку є характер
розподілу ринку між конкурентами (рис 2.8).
Рисунок 2.8 - Розподіл ринку кондитерських
виробів України за основними виробниками у 2012 р.
Отже, український кондитерський ринок є відносно
консолідованим. В 2012 році на долю 10 найбільших учасників ринку приходилось
близько 60% всього ринку в натуральному вираженні. При цьому найбільшими
виробниками незмінно виступають Корпорація "Рошен", Компанія
"Конті" та Компанія "АВК". В цілому більша частина
внутрішнього попиту задовольняється вітчизняними виробниками, обсяг імпортної
продукції не перевищує 13%.
Товарна структура ринку кондитерської продукції
представлена на рисунку 2.9.
Рисунок 2.9 - Cтруктура виробництва кондитерських
виробів в Україні за товарними групами у 2012 р., %
Отже, найбільшу частку у виробництві займають
цукерки та печиво, що свідчить про високу популярність цих товарних груп у
споживачів, а отже і про найбільш сильну конкуренцію саме ві цих сегментах ринку.
Споживання кондитерських виробiв на душу
населення в Українi становить 15 кг/рiк на людину, що поки що нижче нiж в iнших
країнах Європи (22-25кг/рiк на людину). Бiльшу частину попиту задовольняють
українські виробники. Основними ринками збуту українських кондитерських виробів
залишаються країни СНД (94% у 2011 р.), далеке ж зарубіжжя практично закрите
для них: європейський ринок захищений високими митними ставками - від 50% [9].
Поряд із факторами привабливості кондитерського
рину існує і ряд ризиків для його учасників. Так, виробництво шоколадних
виробів потребує імпортної сировини (какао-боби), що свідчить про наявність
значних зовнішніх ризиків, а саме валютних ризиків, а також ризиків країни.
Також, оскільки продукція галузі є високотехнологічною та постійно оновлюється,
це вимагає відповідної технічної бази, що в свою чергу неможливо без залучення
значних коштів. А особливо в кризових умовах фінансовий стан підприємств
погіршився та зросла вартість залучення додаткових коштів. Крім того, значний вплив
на ефективність господарювання підприємств справляє та обставина, що
виробництво кондитерської продукції є матеріаломісткім, що в свою чергу
свідчить про значну чутливість підприємств галузі до стану та динаміки ринків
сировини, а саме ринку цукру та какао-бобів [11].
Поряд із цим на дiяльнiсть пiдприємства можуть
впливати стандартні ризики, такі як ризик змiн в законодавствi, податковiй
полiтицi, ризик загального погiршення економiчної ситуацiї в країнi [12].
Наступним етапом дослідження є оцінка інтенсивності
конкуренції в галузі. Для цього перш за все визначимо сильні та слабкі сторони
конкурентів кондитерського ринку
Проаналізувавши конкурентів компанії
"Конті" можна дійти висновку, що основними конкурентами компанії є
корпорація "Рошен" та компанія "АВК" оскільки данні
підприємства мають розвинуті бренди, користуються лояльністю споживачів, мають
розвинуту мережу збуту продукції, а також діють як універсальні виробники,
тобто присутні майже на всіх сегментах кондитерського ринку. Такі компанії як
ПАТ "Крафт Фудз Україна" та Львівська КФ "Світоч"
становлять меншу загрозу через свою спеціалізацію на окремих сегментах ринку.
Інші компанії, що підлягали дослідженню не мають достатньо розвинутих
торговельних марок, орієнтуються більше на обслуговування сегменту середньої та
низької цінової категорії.
Наступним етапом діагностики конкурентного
середовища є характеристика конкурентних сил та визначення типу ринку, що
здійснюється на основі моделі "п’яти сил конкуренції" М. Портера.
Експертним шляхом оцінимо загальний вплив конкурентного середовища на
діяльність компанії "Конті". Для оцінки впливу окремих факторів
конкурентного середовища будемо використовувати 3-х бальну шкалу: 1 - слабкий
вплив, 2 - помірний вплив, 3 - сильний вплив. Та підрахуємо
середнє значення впливу по кожній конкурентній силі.
Розрахунок коефіцієнту загального впливу
конкурентного середовища на діяльність підприємства:
Квпливу = 0,2 *Інк + 0,2*Ітз
+ 0,3*Іпок + 0,1*Іпост + 0,2*Ік = 0,2*1,63 +
0,2*2,0 + 0,3*2,67 + 0,1*2,00 + 0,2*2,28 = 2,18
Для більш детального дослідження рівня
інтенсивності конкуренції в галузі розрахуємо показники інтенсивності
конкуренції за методикою М. Портера. Результати розрахунків наведені в таблиці
3.
Таблиця 3 - Розрахунок показників інтенсивності
конкуренції
Показник
Формула
для розрахунку
Значення
Чотирьохчастковий показник концентрації (СR4 -
Соnсеntгаtіоn Rаtiо) де OPi
- обсяг реалізованої продукції і-го підприємства; OP - загальний обсяг
реалізації продукції завданого асортименту0,49
Індекс Герфіндаля-Гершмана (In) де Дi -
частка і-го підприємства в загальному обсязі продажу на ринку809,50
Інтенсивність конкуренції, розрахована на основі оцінки
ступеня схожості часток конкурентів (UД) де Дср
- середнє значення Дi, n - кількість підприємств0,44
Показник інтенсивності конкуренції з врахуванням
рентабельності ринку (UР) де П -
прибуток, отриманий підприємствами на даному ринку0,34
Показник
інтенсивності конкуренції з врахуванням темпу зростання ринку (UТР)
UTP
= (140 - TP) /70,де річний темп зростання обсягу продажу на ринку
0,33
Узагальнений
показник інтенсивності конкуренції (UК)
Оцінюючи результати розрахунків коефіцієнтів
інтенсивності конкуренції, що наведені в таблиці 4, можемо зробити наступні
висновки:
. За показником концентрації CR4, який
дорівнює 49%, ринок є достатньо конкурентним, оскільки не досягає критичного
значення. Частки чотирьох лідерів ринку є близькими. Крім того на ринку
кондитерських виробів діє ще велика кількість підприємств.
2. Більш інформативним, порівняно з
попереднім показником є індекс Герфіндаля-Гіршмана (In). У нашому випадку
індекс має значення 809,5. Тому середовище вважається конкурентним оскільки
його значення менше 1000.
. Інтенсивність конкуренції тим вища, чим
нижчий коефіцієнт варіації ринкових часток. Оцінивши ступінь схожості часток
конкурентів можемо дійти висновку, що інтенсивність конкуренції в галузі є
середньою, оскільки отримане значення (0,44) майже однаково віддалене від
граничних значень (0;1).
. Показник інтенсивності конкуренції з
врахуванням рентабельності ринку, відображає високий рівень рентабельності
бізнесу, оскільки отримане значення суттєво відрізняється від одиниці.
. Важливими чинниками конкурентної
боротьби є динаміка розвитку ринку. Вважається, що річний темп зростання ринку
має дві критичні межі: максимальна - 140%, мінімальна - 70%. У нашому випадку
темп росту ринку складає 117%, а отже ринок проходить стадію помірного росту.
. Висока прибутковість бізнесу та помірні
темпи зростання попиту усувають необхідність жорсткої конкуренції, що обумовлює
наближення показників UТР та UР до нуля.
. Узагальнений показник інтенсивності
конкуренції Uк = 0,37. Цей показник наближається до 0, а значить, що
конкурентне середовище є не дуже активним, інтенсивність конкуренції є досить
слабкою.
Наступним етапом дослідження конкурентного
середовища є побудова конкурентної карти ринку, що дозволяє досить точно визначити
співвідношення сил у галузі, ідентифікувати позиції конкурентів, окреслити
рекомендації щодо вдосконалення конкурентної стратегії компанії тощо.
Проведемо розрахунок показників, необхідних для
побудови конкурентної карти ринку.
Таблиця 4 - Показники оцінки конкурентного
середовища для побудови конкурентної карти ринку
Назва
фірми
S = Vb/
Vm
S' =
Vb'/Vm'
Ts
= (S' - S) / S
ПАТ
"Roshen"
0,211
0, 200
-0,052
ПрАТ
"Конті"
0,124
0,120
-0,038
ПрАТ
"АВК"
0,104
0,106
0,015
ПАТ
"Бісквіт-Шоколад"
0,067
0,066
-0,015 0,049
0,045
-0,077
ЗАТ
"Житомирські ласощі"
0,059
0,055
-0,078
ПАТ
"Крафт Фунз Україна"
0,047
0,052
0,106
Львівська
КФ "Світоч" (Nestlé)
0,046
0,058
0,260
Інші
0,293
0,299
0,022
де S, S' - ринкова частка фірми (відповідно на
початок і кінець 2012 року);,Vm' - обсяг ринку (відповідно на початок і кінець
періоду);,Vb' - обсяг реалізації фірми (відповідно на початок і кінець
періоду);S - темп приросту ринкової частки фірми.
Розрахуємо додаткові показники для побудови
конкурентної карти ринку:
. Середня ринкова частка фірми на
релевантному ринку:
= ∑Si /N =
(20,018+11,952+10,586+6,572+4,510+5,452+5,210+5,786) /8 = 8,761
. Середня ринкова частка фірми із слабкою
конкурентною позицією:
m1 = 1/N1*∑Si =
(6,572+4,510+5,452+5,210+5,786) /5=5,506;
де Sm < середнього показника;-
кількість фірм із слабкою конкурентною позицією (нижчою від середньої)
. Середня ринкова частка фірми із сильною
конкурентною позицією:
m2 = 1/N2*∑Si =
(20,018+11,952+10,586) /3=14,185;
де Sm > середнього показника; N2 -
кількість фірм із сильною конкурентною позицією (вищою від середньої)
. Темп приросту ринку:
5. Середньоквадратичне відхилення ринкових
часток фірм із слабкою конкурентною позицією:
6. Середньоквадратичне відхилення ринкових
часток фірм із сильною конкурентною позицією:
Слід зауважити, середньоквадратичне відхилення є достатньо
високим, оскільки в групу компаній, що мають сильні конкурентні позиції,
входить лише 3 фірми - "Рошен", "Конті" та "АВК",
при цьому частка корпорації "Рошен" є значно більшою.
7. Середньоквадратичне відхилення темпів
приросту ринкових часток фірм:
Розраховані показники є основними для визначення
меж типових стратегічних положень фірм на конкурентній карті ринку.
Використовуючи отримані показники віднесемо кожну фірму до відповідного
сегменту конкурентної карти (табл. 5).
Таблиця 5 - Конкурентна карта ринку кондитерських
виробів
Класифікація
за темпом зростання ринкової частки
Класифікація
за розміром ринкової частки
Лідер
Сильна
конкурентна позиція
Слабка
конкурентна позиція
Аутсайдер
Швидке
покращення конкурентної позиції
Покращення
конкурентної позиції
"Крафт
Фунз Україна", "Світоч"
Погіршення
конкурентної позиції
"Конті",
"АВК"
"Бісквіт-Шоколад",
"Полтава-кондитер", "Житомирські ласощі",
Швидке
погіршення конкурентної позиції
"Рошен"
Отже, лідером ринку є Корпорація
"Рошен". Компанія "Конті" має сильну конкурентну позицію,
однак спостерігається її погіршення. Аналогічне положення має Компанія
"АВК". Дані учасники ринку є основними конкурентами. Однак загрозу
становлять і ті конкуренти, що демонструють швидке покращення конкурентної
позиції, такі як ПАТ "Крафт Фудз Україна" та Львівська КФ
"Світоч". Також слід відмітити, що компаніям із сильною конкурентною
позицією рекомендуються наступні стратегічні альтернативи: пошук незайнятої
ніші зі слабкою конкуренцією, пристосування до обраного цільового ринку,
наслідування поведінки лідера, поглинання дрібних конкурентів тощо.
Для сучасної підприємницької діяльності
характерним є високий ступінь конкуренції. Визначення головних конкурентів
дозволяє більш ефективно будувати свою конкурентну стратегію і тактику,
заощаджувати час і гроші на проведення аналізу конкурентів.
Для ефективного існування і зміцнення своїх
позицій на певному ринку підприємство має дізнатися про своїх конкурентів все,
що тільки можна. Виникає необхідність постійно порівнювати свої товари, ціни,
канали розподілу і стимулювання збуту з тими, які використовують найближчі
конкуренти. Відтак в умовах сучасної продовольчої кризи і підприємства харчової
промисловості мають пильно стежити за діями своїх конкурентів.
Аналіз поведінки конкурентів і розробка плану
конкретних дій стосовно головних суперників часто приносить більше користі, ніж
навіть суттєве реальне зростання на даному сегменті ринку. Знаючи слабкі та
сильні сторони конкурентів, можна оцінити їхні потенціал, цілі, наявну та
майбутню стратегії.
На першому етапі діагностики конкурентного
середовища необхідно визначити коло існуючих на ринку конкурентів. Наступним
етапом діагностики є характеристика конкурентних сил та визначення типу ринку,
що здійснюється експертним шляхом на основі моделі "п’яти сил" М.
Портера. Наступним важливим етапом діагностики конкурентного середовища є
оцінка інтенсивності конкуренції. В практиці менеджменту напрацьовано ряд методик
оцінки інтенсивності конкурентної боротьби та визначення рівня монополізації
ринку. Завершальним етапом діагностики конкурентного середовища фірми є
побудова конкурентної карти ринку. Уроботі наведено два приклади побудови
конкурентної карти рингу - сільськогосподарського ринку Полтавської області та
кондитерського ринку на прикладі Компанії "Конті".
1. Азоев, Г.Л. Конкурентные преимущества фирмы [Текст]:
навч. посіб. / Г.Л. Азоев, А.П. Челенков. - М.: Новости, 2000 - 256с.
2. Бурцева Т.А. Управление маркетингом: учебное пособие /
Бурцева Т.А., Сизов В.С., Цень О.А. - М.: Экономистъ, 2005. - 271 с.
3. Гірчук О. Розвиток ринку кондитерських виробів в Україні:
конкурентні аспекти [Електронний ресурс] - Режим доступу: http://intkonf.org/girchuk-o-levitska-a-o-rozvitok-rinku-konditerskih-virobiv-v-ukrayini-konkurentni-aspekti/
. Дейнека М. Аналіз стратегій розвитку підприємств
кондитерської промисловості України http [Електронний ресурс] - Режим доступу:
http://www.nbuv.gov.ua/portal/Soc_Gum/Ecan/2011_9_3/pdf/deyneka. PDF
5. Должанський, І.З. Конкурентоспроможність підприємства
[Текст]: навч. посіб. / В.В. Должанський, Т.О. Загорна. - К.: Центр навчальної
літератури, 2006. - 384 с.
. Єкель, Г.В. Дослідження конкурентних позицій на ринку кондитерських
виробів за допомогою методики SWOT-аналізу [Електронний ресурс] - Режим
доступу: http://www.nbuv.gov.ua/portal/soc_gum/znptdau/2012_2_2/18-2-14. pdf
7. Зовнішньоекономічний менеджмент [Текст]: навч.
посіб. / І.І. Дахно, Г.В. Бабіч, В.М. Барановська та ін. - К.: Центр учбової
літератури, 2012. - 568 с.
. Маркетингові дослідження - Павленко А.Ф., Войчак А. В
Маркетинг Підручник - К. КНЕУ, 2003. - 246 с
9. Маркова О.В. Методичні підходи до формування маркетингової
конкурентноїстратегії / О.В. Маркова // Науковий вісник Луганського
національного аграрного університету. - Луганськ. - "Елтон-2". -
2010. - № 15. - С.228-234.
. Опис бізнесу ПрАТ "Виробниче об’єднання
"Конті" [Електронний ресурс] - Режим доступу: http://tables.
finance.ua/ua/emitents/show/~/25112243/2005/4
. Офіційний сайт "Світоч" [Електронний ресурс] -
Режим доступу: http://www.nestle.ua . Офіційний сайт Групи "Конті" [Електронний
ресурс] - Режим доступу: http://www.konti.com
. Офіційний сайт Державного комітету статистики України
[Електронний ресурс] - Режим доступу: http://www.ukrstat.gov.ua/
. Офіційний сайт ЗАТ "Житомирські ласощі"
[Електронний ресурс] - Режим доступу: http://www.sladosti.com.ua/
. Офіційний сайт Компанії "АВК" [Електронний
ресурс] - Режим доступу: http://www.avk.ua/
. Офіційний сайт Корпорації "Рошен" [Електронний
ресурс] - Режим доступу: http://roshen.com
. Офіційний сайт ПАТ "Бісквіт-Шоколад"
[Електронний ресурс] - Режим доступу: http://www.biscuit.com.ua/
. Офіційний сайт ПАТ "Крафт Фудз Україна"
[Електронний ресурс] - Режим доступу: http://www.mondelezinternational.com/
. Офіційний сайт ПАТ "Полтавакондитер"
[Електронний ресурс] - Режим доступу: http://dominic.com.ua/
. Павленко А.Ф., Войчак А.В. Маркетинг: Підручник. - К.:
КНЕУ, 2003, сс.35-65.
22. Пономарева,
Е.В. <http://www.m-economy.ru/author.php?nAuthorId=2639> Инновационная
политика в обеспечении конкурентоспособности бизнес-структур СНГ [Електронний
ресурс] - Режим доступу: http://www.m-economy.ru/art. php? nArtId=3773
. Портер,
М. Стратегія конкуренції [Текст]: навч. посіб. / пер. з англ. / А. Олійник, Р.
Скільський. - К.: Основи, 1998. - 282. - там где написано про конкур переваги
24. Распопов, Р.С. Условия экономической эффективности
основных производственных мощностей [Електронний ресурс] - Режим доступу:
http://library. donntu.edu.ua/fem/vip100-2/100-2_04. pdf
25. Річна інформація емітента цінних паперів ПрАТ "Виробниче
об’єднання "Конті" за 2011 рік [Електронний ресурс] - Режим доступу:
http://www.konti.com/upload/konti/content/24/fin_otcetnost_2011_17_10. pdf
. Романенко Л.Ф. Маркетинг: Навч. посіб. для дистанційного
навчання. - К.: Університет "Україна", 2005, сс.32-58; 169-195.
27. Саймон, Ф.Л. Разработка и внедрение глобальной стратегии
[Текст]: навч. посіб. / Ф.Л. Саймон, Д. Є. Секстон. - М.: Издатцентр, 1997
28. Сокол, П.М. Аналіз та перспективи розвитку кондитерської
галузі України [Електронний ресурс] - Режим доступу:
http://www.nbuv.gov.ua/portal/chem_biol/vsna/ekon/2011_5_2/07. pdf
29. Стрельнікова Д.О. Конкурентні стратегії вітчизняних
виробників кондитерських виробів [Електронний ресурс] - Режим доступу:
http://essuir. sumdu.edu.ua/bitstream/123456789/29110/1/Strelnikova. pdf
30. Сущность
международной и глобальной конкуренции
<http://www.economy-web.org/?p=154> [Електронний ресурс] - Режим доступу:
http://www.economy-web.org/? p=154
31. Управління міжнародною конкурентоспроможністю підприємств
[Текст]: навч. посіб. / І.Ю. Сіваченко, Ю.Г. Козак, Н.С. Логвінова та ін. - К.:
Центр учбової літератури, 2010. - 312 с.
. Усик, С.П. Маркетингові комунікації на ринку
кондитерських виробів [Електронний ресурс] - Режим доступу:
http://www.nbuv.gov.ua/portal/Natural/Vknutd/2011_3/158_165. pdf
. Швиданенко, О.А. Глобальна парадигма
конкурентоспроможності: імперативи становлення та розвитку [Текст]: дис. на
здоб. наук. ступ. д. е. н.: спец.08.00.02 - світове господарство і міжнародні
економічні відносини / Олег Анатолійович Швиданенко; Київський національний
економічний університет імені Вадима Гетьмана. - К., 2007
Формування
конкурентної карти регіонального ринку плодоовочевої продукції в Полтавській
області
- об'єм реалізованої плодоовочевої продукції і-м
підприємством в період часу t (t0), тис. грн.
Оцінка
міжнародної конкурентоспроможності продукції Компанії "Конті"

,
,
,
,
0,37
= 0,167
= 0,822
= 4,162
= 0,186
Висновки
писок
використаної літератури