Материал: Кольорометрія. Характеристики кольорометрії. Аналітичні органічні реагенти для якісного визначення йонів металів

Внимание! Если размещение файла нарушает Ваши авторские права, то обязательно сообщите нам

Кольорометрія. Характеристики кольорометрії. Аналітичні органічні реагенти для якісного визначення йонів металів













Кольорометрія. Характеристики кольорометрії. Аналітичні органічні реагенти для якісного визначення йонів металів

ВСТУП

Сьогодні оптичні методи охоплюють електронну спектрофотометрію та її продовження - так званий метод хімічної кольорометрії - науковий напрям про способи кількісного опису кольору об’єктів різної природи, який полягає в розрахунку колірних координат об’єктів на підставі наявних спектральних характеристик хімічних систем і дає змогу розрізняти спектрально близькі речовини й отримувати нові дані про них.

На практиці часто виникає потреба визначити якісний і кількісний вміст того або іншого металу в зразку (сплаві, деталі, воді і т. п.). Можливість виявлення металів і їх з'єднань в різних за своєю природою об'єктах заснована на відмінності в їх фізичних і хімічних властивостях.

1. Кольорометрія. Характеристики кольорометрії

колориметричний титрування іон метал

1.1 Особливості колориметричних методів аналізу

З оптичних методів аналізу в практиці аналітичних лабораторій найбільш широко застосовуються колориметричні методи. Колориметричні методи засновані на вимірі інтенсивності світлового потоку, що пройшов через забарвлений розчин. Колориметричний метод аналізу був запропонований російським вченим В. М. Севергіним ще в 1795 р.

У колориметричному методі використовуються хімічні реакції, що супроводжуються зміною кольору аналізованого розчину. Вимірюючи світопоглинання такого забарвленого розчину або порівнюючи отримане забарвлення з забарвленням розчину відомої концентрації, визначають зміст забарвленої речовини у випробуваному розчині.

Існує залежність між інтенсивністю забарвлення розчину і вмістом в цьому розчині забарвленої речовини. Ця залежність, звана законом Бугера-Ламберта-Бера, виражається рівнянням(1.1):

=I010-εCl                                                                                       (1.1)

де I - інтенсивність світла, що пройшло через розчин; I0 - інтенсивність падаючого на розчин світла; ε - коефіцієнт поглинання світла - постійна величина, характерна для кожної забарвленої речовини і залежна від його природи; С - концентрація забарвленої речовини в розчині; l - товщина шару світлопоглинання розчину.

Фізичний зміст цього закону можна виразити таким чином: розчини однієї та іншої ж забарвленої речовини при однаковій концентрації цієї речовини і товщині шару розчину поглинають рівну кількість світлової енергії, тобто світлопоглинання таких розчинів однакове. Для забарвленого розчину, укладеного в скляну кювету з паралельними стінками, можна сказати, що в міру збільшення концентрації і товщини шару розчину його забарвлення збільшується, а інтенсивність світла , що пройшов через поглинаючий розчин, зменшується в порівнянні з інтенсивністю падаючого світла I0 .

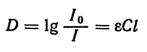
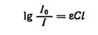
Оптична густина розчину. Якщо прологарифмувати рівняння закону Бера і змінити знаки на зворотні, то отримаємо рівняння(1.2):

          (1.2)

Величина є дуже важливою характеристикою забарвленого розчину, її називають оптичною густина розчину і позначають буквою D(1.3):

                                                                          (1.3)

З цього рівняння випливає, що оптична густина розчину прямо пропорційна концентрації забарвленої речовини і товщині шару розчину. Іншими словами, при однаковій товщині шару розчину даної речовини оптична густина цього розчину буде тим більше, чим більше в ньому міститься забарвленої речовини. Або, навпаки, при одній і тій же концентрації даної забарвленої речовини оптична густина розчину залежить тільки від товщини його шару. Звідси може бути зроблений наступний висновок: якщо два розчини одного і того ж кольору речовини мають різну концентрацію, однакова інтенсивність забарвлення цих розчинів буде досягнута при товщинах їх шарів, назад пропорційних концентраціям розчинів.

Таким чином, щоб визначити концентрацію (С) забарвленого розчину, необхідно виміряти його оптичну густина (D). Щоб виміряти оптичну густину, слід виміряти інтенсивність світлового потоку[1].

1.2 Характеристика колориметричних методів аналізу

Інтенсивність забарвлення розчинів можна вимірювати різними методами. Розрізняють суб'єктивні (або візуальні) методи колориметрії й об'єктивні (або фотоколориметрические).

1.2.1 Суб'єктивні методи колориметрії

Візуальними називаються такі методи, при яких оцінку інтенсивність забарвлення випробуваного розчину роблять неозброєним оком. До візуальних методів належать:

) метод стандартних серій;

) метод дублювання (колориметричне титрування);

) метод зрівнювання.

Метод стандартних серій.

При виконанні аналізу методом стандартних серій інтенсивність забарвлення аналізованого забарвленого розчину порівнюють з забарвленнями серії спеціально приготовлених стандартних розчинів (при однаковій товщині шару). Метод практично не вимагає обладнання, але досить трудомісткий, точність його не перевищує 10 %. Не вимагається виконання закону Бугера-Ламберта-Бера.

Колориметричне титрування (метод дублювання).

Цей метод заснований на порівнянні забарвлення аналізуємого розчину з забарвленням іншого розчину - контрольного. Для приготування контрольного розчину готують розчин, що містить всі компоненти досліджуваного розчину, за винятком визначається речовини, і все що вживалися при підготовці проби реактиви, і до нього добавляю з бюретки стандартний розчин визначається речовини. Коли цього розчину буде додано стільки, що інтенсивності забарвлення контрольного і аналізованого розчину зрівняються, вважають, що в аналізуємому розчині міститься стільки ж визначається речовини, скільки його було введено в контрольний розчин.

Метод зрівнювання.

Цей метод заснований на зрівняння забарвлень аналізованого розчину і розчину з відомою концентрацією речовини - стандартного розчину. Існують два варіанти виконання колориметричного визначення цим методом.

За першим варіантом зрівняння забарвлень двох розчинів з різною концентрацією забарвленої речовини проводять шляхом зміни товщини шарів цих розчинів при однаковій силі проходить через розчини світлового потоку. При цьому, незважаючи на відмінність концентрацій аналіуємого і стандартного розчинів, інтенсивність світлового потоку, що проходить через обидва шари цих розчинів, буде однакова.

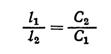
Співвідношення між товщиною шарів і концентраціями забарвленими речовини в розчинах в момент зрівнювання забарвлень буде виражатися рівнянням (1.4):

                                                                                 (1.4)

де l1 - товщина шару розчину з концентрацією забарвленої речовини С1;- товщина шару розчину з концентрацією забарвленої речовини С2.

У момент рівності забарвлень ставлення товщини шарів двох порівняльних розчинів обернено пропорційно відношенню їх концентрацій. На підставі наведеного рівняння, вимірявши товщину шарів двох однаково забарвлених розчинів і знаючи концентрацію одного з цих розчинів, легко можна розрахувати невідому концентрацію забарвленої речовини в іншому розчині. Для вимірювання товщини шару, через який проходить світловий потік, можна застосовувати скляні циліндри або пробірки, а при більш точних визначеннях спеціальні прилади - колориметри. За другим варіантом, для зрівнювання забарвлень двох розчинів з раз-особистої концентрацією забарвленої речовини, через шари розчинів однакової товщини пропускають світлові потоки різної інтенсивності. У цьому випадку обидва розчини мають однакову забарвлення, коли співвідношення логарифмів інтенсивностей падаючих світлових потоків дорівнює відношенню концентрацій. У момент досягнення однакового забарвлення двох порівнюваних розчинів, при рівній товщині їх шарів, концентрації розчинів прямо пропорційні логарифмам інтенсивностей падаючого на них світла. За другим варіантом визначення може бути виконано тільки за допомогою колориметра.

1.2.2 Об'єктивні методи колориметрії

При об'єктивних методах колориметричного визначення для вимірювання інтенсивності забарвлення випробуваного розчину замість безпосереднього спостереження користуються фотоелементами. Визначення в цьому випадку проводять в спеціальних приладах - фотоколориметрах, звідки і метод отримав назву фотоколориметричного.

Всі фотоколориметричні методи визначення засновані на одному загальному принципі. Світловий потік проходить через кювету або пробірку, наповнену забарвленим розчином. Світловий потік пройшовши, через розчин сприймається фотоелементом, в якому світлова енергія перетворюється в електричну. Виникає при цьому електричний струм вимірюють за допомогою чутливого гальванометра.

Рисунок 1.1- Принципова оптична схема фотоколориметра КФК-2: 1-джерело світла; 2 - теплозахисний фільтр; 3 - нейтральний світлофільтр; 4 - кольоровий світофільтр; 5 - кювета с досліджуваним розчином або розчином порівняння; 6 - пластина, яка ділить світловий потік на два потоки; 7 - фотодіод; 8 - фотоелемент

Для визначення цим методом концентрації досліджуваної речовини вимірюють оптичну густину досліджуваного розчину (Dдосл) і еталонного розчину, концентрація якого відома (Dетал).

Основними перевагами фотоколориметричного метода вимірювання інтенсивності забарвлення є швидкість і легкість визначень при високій їх точності.

Побудова калібрувальної кривої. При масових фото колориметричних аналізах, визначаючи концентрацію випробуваного розчину, що не порівнюють кожного разу його світлопоглинання зі світло поглинанням еталонного розчину, а попередньо будують так звану калібрувальну криву. Для цього користуються серією еталонних розчинів різної концентрації. Маючи таку криву, при визначенні концентрації випробовуваного розчину достатньо виміряти його світлопоглинання і по калібрувальній кривій знайти величину концентрації, відповідну знайденому світло поглинанню[2].

Умови фотоколориметрування.

Розробка фотоколориметричної методики включає наступні етапи:

. Вибір довжини хвилі світла.

Якщо в розчині є один компонент, то для вимірювання вибирають довжину хвилі, що відповідає максимуму поглинання фотометрованої форми (λmax), бо це забезпечить найвищу чутливість визначення. Якщо таких смуг є декілька, то вибирають ту з них, яка є найінтенсивнішою. Це забезпечує найвищу чутливість визначення. Найліпше вибирати пологий максимум, тому що відхилення значень тут незначні, якщо встановлення потрібної довжини хвилі відбувається з недостатньою точністю. Бажано, щоб довжина хвилі відповідала максимальному значенню екстинції даної забарвленої речовини.

. Вибір світлофільтра.

Кожен світлофільтр характеризується кривою пропускання, тобто залежністю Т,% - λ, та напівшириною смуги пропускання. Смуга пропускання коливається в межах кількох десятків нм для скляних і значно вужча (10-12 нм) для інтерференційних. З двох фільтрів ліпший той, для якого більший коефіцієнт Т і менша напівширина смуги пропускання. Щоб правильно вибрати фільтр, треба знати спектр поглинання досліджуваного розчину. Бажано максимальне перекривання кривих поглинання та кривої пропускання фільтра чи наближення максимуму поглинання сполуки в розчині (λmax) до довжини хвилі максимального пропускання (Тmax) світлофільтра. Орієнтовно при виборі світлофільтра використовують відоме правило, що колір фільтра повинен доповнювати колір розчину. Якщо потрібно вибрати фільтр з двох (чи більше) наявних з близькими характеристиками, то обирають той, з яким оптична густина розчину найбільша. Робочими значеннями А є межі 0,1-0,8, в яких середня відносна похибка визначення концентрації за рахунок похибки вимірювання А найменша. а) Максимум пропускання світлофільтра повинен відповідати максимуму поглинання речовини. б) Якомога менша ширина пропускання світлофільтра, щоб випромінювання було близьке до монохроматичного.

. Вибір розміру кювети.

Довжина кювети повинна бути така, щоб абсорбційність лежала в межах 0,4 - 1, бо в цьому випадку досягається найменша похибка визначення концентрації. Хоч з основного закону значення А пропорційне ℓ за сталих ελ і С і здавалося б варто прагнути до максимальних значень ℓ, бо відносна похибка зменшується зі збільшенням ℓ, проте не варто виходити за межі А=1,0. За великих ℓ зростають втрати за рахунок розсіювання потоку розчином, тому ℓ>5,0 cм практично не використовують, враховуючи головне зростання похибки визначення С при А>1,0.

. Вибір розчину порівняння.

Вимірювання А розчину завжди проводять стосовно розчину порівняння, при виборі якого враховують відповідність його складу досліджуваному розчину. Найліпшим варіантом є той, коли розчином порівняння є розчин холостого досліду. Часто за розчин порівняння беруть воду чи інший прозорий у цих умовах розчинник, вводячи поправку на поглинання сторонніми компонентами. Для більшої точності абсорбційність розчину порівняння повинна бути близькою до абсорбційності досліджуваного розчину. Неправильний вибір розчину порівняння може призвести до систематичної похибки фотометричного визначення.

. Спосіб приготування стандартних розчинів має бути ідентичним до способу приготування досліджуваних розчинів[3].

1.2.3 Математичний апарат в кольорометрії

Існує ряд методів комп'ютеризованого спектроскопічного аналізу із застосуванням кольоровимірювальних систем. Поява характерного забарвлення в результаті хімічної реакції зазвичай використовують в якісному аналізі для виявлення елементів. Відомо, що наш зір дуже чутливий до малої абсолютної інтенсивності світла і дозволяє досить добре розрізняти відтінки кольорів. Людське око здатне не тільки порівняти два випромінювання, але і визначити, яке з них більше (або менше) інтенсивніше. Для кількісної оцінки інтенсивності випромінювання створювалися і удосконалювалися кольоровимірювальні системи. Деякий час їх практичне застосування стримувалося труднощами апаратурного оформлення. Поштовхом до розвитку методу кольорометрії стала потреба у визначенні складу складних сумішей барвників, що використовуються в текстильній промисловості. Вирішення цього завдання дозволило не тільки розробити компактні кольоровимірювальні прилади, а й створити математичний апарат для розрахунку концентраційних залежностей по зміні параметрів кольору аналізованих проб.

Існують два основних способи вимірювання кольору, що розрізняються за методикою розрахунку: за спектральним складом випромінювання або по числу окремих кольорів в суміші, що дає визначуваний колір. Відповідно до цієї класифікації, всі кольоровимірювальні прилади і методики розрахунку координат кольору можна умовно розділити залежно від вимірюваної величини на два типи:

. Координати кольору розраховують за відомим спектральним складом випромінювання аналізованої суміші (спектру поглинання, відбиття і т.д.). Цей метод вважається найбільш точним.