Материал: koklyush_lektsia

Внимание! Если размещение файла нарушает Ваши авторские права, то обязательно сообщите нам

ЭПИДЕМИОЛОГИЯ И ИНФЕКЦИОННЫЕ БОЛЕЗНИ, Т. 19, № 4, 2014

Лекции

© Тюкавкина С.Ю., Харсеева Г.Г., 2014

УДК 616.98:579.814.94]-036.22-078-084

Тюкавкина С.Ю., Харсеева Г.Г.

КОКЛЮШ: ЭПИДЕМИОЛОГИЯ, БИОЛОГИЧЕСКИЕ СВОЙСТВА BORDETELLA PERTUSSIS, ПРИНЦиПЫ ЛАБОРАТОРНОЙ ДИАГНОСТИКИ

И СПЕЦИФИЧЕСКОЙ ПРОФИЛАКТИКИ

ГБОУ ВПО «ростовский государственный медицинский университет» Минздрава России, 344022, Ростов-на- Дону, 22, Нахичеванский пер., 29

Проблема эпидемиологии, лабораторной диагностики и специфической профилактики коклюша остается актуальной, поскольку уровень заболеваемости этой “управляемой” вакцинацией инфекцией ежегодно растет, несмотря на широкий охват прививками детского населения. Знание особенностей распространения и течения коклюшной инфекции, циркуляции штаммов Bordetella pertussis в современных условиях, факторов патогенности возбудителя и механизмов патогенеза заболевания важно как для студентов медицинских вузов, так и для врачей различных специальностей – не только педиатров, но и терапевтов, пульмонологов, бактериологов, эпидемиологов и др. Целесообразными являются рассмотрение принципов лабораторной диагностики коклюша и трудностей, с которыми сталкивается лабораторная служба при этом, а также сравнительная характеристика традиционных и экспресс-методовдиагно- стики коклюшной инфекции, возможных и регламентированных для проведения базовыми бактериологическими лабораториями на территории РФ. Основы вакцинопрофилактики коклюша как единственно эффективного средства предотвращения массовых вспышек этого заболевания также рассматриваются в рамках предлагаемой лекции.

К лючевые слова : коклюш; эпидемиология коклюша; патогенез коклюша; лабораторная диагностика коклюша; вакцинопрофилактика коклюша.

Tyukavkina S. U., Kharseeva G. G.

Whooping cough: epidemiology, biological features of Bordetella Pertussis, laboratory diagnostics and specific prophylaxis

Rostov State Medical University, 29, Nahichevansky av., Rostov-on-Don, Russian Federation, 344022

The problem of epidemiology, laboratory diagnosis and specific prophylaxis of pertussis remains to be relevant because the level of the morbidity rate of this infection ‘managed’by vaccination is rising, despite the wide coverage of immunization of the child population. Knowledge of the distribution and the course of pertussis infection, Bordetella pertussis strains circulating in modernconditions,factorsofpathogenicityofthecausativeagentandmechanismsofpathogenesisofthediseaseisimportantas wellformedicalstudentsasforphysiciansofvariousspecialties–notonlypediatricians,butalsotherapeutists,pulmonologists, microbiologists, epidemiologists and etc. It is worth to consider principles of laboratory diagnosis of pertussis and difficulties to which the laboratory service is faced at this as well as the comparative characteristics of traditional and express methods for diagnosing of pertussis infection – possible and regulated for implementation by basic bacteriological labotories in the territory of Russian Federation. Fundamentals of pertussis vaccination as the only effective means for prevention of mass outbreaks of this disease are also considered in the framework of the proposed lecture.

Key words: whooping cough; pertussis epidemiology; pathogenesis of pertussis; laboratory diagnosis of whooping cough; pertussis; vaccinal prevention.

В настоящее время проблема коклюша вновь актуальна для практического здравоохранения всех стран мира. Несмотря на проводимую более 50 лет вакцинопрофилактику этого заболевания, интенсивность эпидемического процесса и показатели заболеваемости начиная с конца 90-х годов XX века, неуклонно растут. При этом увеличение количества манифестных форм коклюша создает условия для вовлечения в эпидемический процесс детей первых месяцев жизни, что сопряжено с увеличением тяжести течения заболевания и летальности, а атипич-

Длякорреспонденции(correspondensto):ТюкавкинаСвет-

лана Юрьевна, канд. мед. наук, доцент каф. микробиологии и вирусологии № 2, e-mail: svetlanava@mail.ru

ных, клинически не выраженных форм – к отсутствию настороженности клиницистов к этой инфекции с первых дней болезни, являющихся наиболее благоприятными для лабораторной диагностики.

Этиология коклюша

Коклюш–этоостраявоздушно-капельнаяинфек- ция, вызываемая микроорганизмами вида Bordetella pertussis, характеризующаяся поражением слизистой оболочки преимущественно гортани, трахеи, бронхов и развитием судорожного приступообразного кашля.

Бактерии – возбудители коклюша были впервые выделены от больного ребенка в 1906 г. двумя учеными – бельгийцем Жюлем Борде (в честь него назван род) и французом Октавом Жангу (в честь них

50

обоих возбудитель коклюша также называют палоч-

инфекциям”: до 95% случаев выявляется именно

кой Борде–Жангу). Помимо описания микроба, они

у детей и лишь в 5% – у взрослых. Хотя реальная

разработали питательную среду для его культивиро-

частота коклюша у взрослых в официальной ста-

вания, которая широко используется по сей день и

тистике вряд ли может быть отражена в силу не-

называется также в их честь средой Борде–Жангу.

полной регистрации всех случаев, во-первых, из-за

В современной систематике бордетеллы относят

предубеждения терапевтов о возрастной категории,

к домену Bacteria, порядку Burcholderiales, семей-

подверженной этой инфекции – и потому малой на-

ствуAlcoligenaceae,родуBordetella.Впределахрода

стороженности в отношении нее, во-вторых, потому,

описано 9 видов, 3 из которых являются преимуще-

что коклюш у взрослых часто протекает в атипич-

ственно патогенными для человека: наиболее часто

ных формах и диагностируется как ОРЗ или ОР-

заболевания вызывает B.pertussis – возбудитель ко-

ВИ. Механизм передачи заболевания аэрогенный,

клюша,облигатныйпатогенчеловека;B.parapertussis

а путь – воздушно-капельный. Восприимчивость

– возбудитель паракоклюша (коклюшеподобного,

населения при

отсутствии

противококлюшного

клинически сходного с коклюшем заболевания), вы-

иммунитета очень высокая – до 90%. Но несмотря

деляется также от некоторых животных; B.trematum

это, а также массивность выделения возбудителя

– возбудитель раневых и ушных инфекций, описан-

во внешнюю среду, передача возможна только при

ный сравнительно недавно. Существует еще 4 вида,

тесном длительном общении по следующим причи-

являющиеся возбудителями заболеваний животных,

нам: аэрозоль, который создается при кашле больно-

но также потенциально патогенных для человека

го коклюшем, крупнодисперсный и быстро оседает

(вызывают инфекции в особо редких случаях, как

на предметы окружающей среды, распространяясь

правило, у иммунокомпрометированных пациен-

не более чем в радиусе 2–2,5 м, а его проникающая

тов): B.bronchiseptica – возбудитель бронхисепти-

способность в дыхательные пути мала, поскольку

коза (коклюшеподобного заболевания животных, у

крупные частицы задерживаются в верхних отделах

человека протекающего по типу ОРЗ); B. ansorpii,

дыхательных путей. Кроме того, бордетеллы коклю-

B.avium, B.hinzii. B. holmesii выделяются только

ша нестойки к действию природных факторов окру-

от людей, как правило, при инвазивных инфекциях

жающей среды – к инсоляции (причем как к дей-

(менингитах, эндокардитах, бактериемии и др.), од-

ствию УФ-лучей, так и повышенных температур), и

нако этиологическая роль этого вида в развитии ин-

при 50°С погибают в течение 30 мин, к высыханию.

фекций не доказана. B. petrii – единственный пред-

Однако во влажной мокроте, попавшей на объекты

ставитель рода, выделенный из окружающей среды

внешней среды, могут сохраняться несколько дней.

и способный жить в анаэробных условиях, однако

Анализируя заболеваемость коклюшем, вспом-

описана возможность его длительной персистенции

ним, что в допрививочный период, до 1959 г., в на-

у человека.

шей стране она достигала 480 случаев на 100 тыс.

Ранее, до 30-х годов прошлого столетия, борде-

населения при очень высокой летальности (0,25% в

теллы ошибочно относили к роду Haemophilus лишь

структуре общей смертности, или 6 на 100 тыс.); к

на том основании, что в среды для их культивирова-

1975 г. в связи с успехами проводившейся массовой

ния было необходимо вносить человеческую кровь.

вакцинации АКДС-вакциной заболеваемость упала

В большинство сред и сейчас вносят дефибриниро-

до 2,0 на 100 тыс., и это был рекордно низкий уро-

ванную кровь человека. Однако Breadford в более

вень, а смертность снизилась в несколько сотен раз

поздних исследованиях показал, что кровь не явля-

и сейчас регистрируется в единичных случаях – не

ется для бордетелл фактором роста и обязательным

более 10 за год. К концу XX столетия и по настоящее

компонентом при культивировании, а выполняет в

время отмечается неуклонный ежегодный рост по-

большей степени роль адсорбента токсических про-

казателей заболеваемости коклюшем. Так, в 2012 г.

дуктов метаболизма бактерий. По генотипу и фе-

по сравнению с 2011 г. она выросла почти в 1,5 раза

нотипическим свойствам бордетеллы также значи-

и составила 4,43 и 3,34 случая на 100 тыс. населения

тельно отличаются от гемофилов, что доказал Lopes

соответственно. Традиционно заболеваемость выше

в 50-х годах XX века. Это позволило выделить их в

в мегаполисах (первое место в РФ занимает в по-

самостоятельный род.

следние годы Санкт-Петербург).

Эпидемиология коклюша

Необходимо

отметить, что

фактическая заболе-

ваемость коклюшем, по-видимому, еще выше стати-

Необходимо отметить эпидемиологические осо-

стических цифр. Это может быть связано с неполной

бенности коклюша. Это строгий антропоноз, при

регистрацией, обусловленной наличием большого

котором основным источником инфекции является

количества “атипичных” форм коклюша, отсутствием

больной человек, бактерионосительство, как пока

надежных методов лабораторной диагностики, труд-

еще считается, не имеет эпидемиологического зна-

ностью дифференцирования с паракоклюшем и т. п.

чения и в коллективах, свободных от коклюша, не

Особенностями коклюша современного периода

зарегистрировано, а среди переболевших детей со-

является:

 

 

ставляет не более 1–2%, с незначительной длитель-

– “повзросление” – увеличение удельного веса

ностью его (до 2 нед). Коклюш относят к “детским

больных детей в возрастной группе 5–10 лет (макси-

 

 

 

51

ЭПИДЕМИОЛОГИЯ И ИНФЕКЦИОННЫЕ БОЛЕЗНИ, Т. 19, № 4, 2014

мум приходится на 7–8 лет), так как формирующий-

5 сут. Колонии паракоклюшного микроба схожи с

ся поствакциональный иммунитет недостаточно

коклюшными, но крупнее (до 2–4 мм), вокруг них

напряженный и длительный и к 7-летнему возрасту

может обнаруживаться потемнение среды, а на КУА

накапливается значительное число неиммунных к

– появляться кремовый и даже желто-коричневый

коклюшу детей (более 50%); в связи с этим появи-

оттенок, время формирования 24–48 ч. При изуче-

лись очаги инфекции в основном в общеобразова-

нии колоний бордетелл с помощью стереомикроско-

тельных школах с повторными случаями заболева-

па при боковом освещении виден так называемый

ний в организованных коллективах;

хвост кометы, представляющий собой конусообраз-

– последние периодические подъемы возникают

ную тень колонии на поверхности среды, однако

на фоне повышения охвата прививками детей ран-

этот феномен наблюдается не всегда. B.pertussis в

него возраста (по вышеуказанной причине);

отличие от других представителей рода биохими-

– возвращение высокотоксичного штамма 1, 2,

чески инертны и не разлагают мочевину, тирозин,

3 (этот серовариант циркулировал и преобладал в

углеводы, не утилизируют цитраты.

допрививочный период, в первые 10 лет вакцино-

Антигенные и токсичные субстанции бордетелл

профилактики произошла его смена на серовари-

достаточно многообразны и представлены следую-

ант 1.0.3) и большого количества среднетяжелых и

щими группами: поверхностными структурами (ми-

тяжелых форм коклюша; сейчас серовариант 1, 2, 3

крокапсула, фимбрии), структурами, локализован-

встречаетсяв12,5%случаев,выделяетсявосновном

нымивнаружноймембранеклеточнойстенки(фила-

от детей раннего возраста, непривитых, с тяжелой

ментозный гемагглютинин, пертактин) и токсинами,

формой коклюша;

основным из которых, участвующих в патогенезе,

– доминирование сероварианта 1, 0, 3 (до 70%

является коклюшный токсин (КТ), состоящий из

среди “расшифрованных случаев”), который выде-

компонента А (S1-субъединица), обусловливающе-

ляется в основном от привитых и больных с легкой

го токсичность, и В (S2-, S3-, S4-, S5 субъединиц),

формой;

ответственного за прикрепление токсина к клеткам

– увеличение количества атипичных форм ко-

 

 

 

клюша.

 

 

Таблица 1

Биологические свойства возбудителя

 

 

Факторы патогенности Bordetella pertussis

Возбудители коклюша представляют собой гра-

 

 

 

Название фактора

 

Роль в патогенезе

мотрицательные мелкие палочки, длина которых

 

 

 

 

I. Поверхностные структуры

по размеру приближается к поперечнику, а потому

 

напоминающие при микроскопии овальные кокки,

1. Микрокапсула

 

обусловливает незавершенный характер

называемые коккобактериями; имеют микрокап-

 

 

фагоцитоза

сулу, пили, неподвижны и не образуют спор. Они

2. Фимбрии (пили)

 

адгезия на клетках цилиарного эпителия

аэробны, лучше развиваются во влажной атмосфере

II. Структуры, локализованные в наружной мембране клеточной

при температуре 35–36°C, относятся к “прихотли-

 

 

етенки

вым”, или “капризным” к условиям культивирова-

1. Филаментозный

 

адгезия и колонизация цилиарного эпителия

ния, бактериям со сложными питательными потреб-

гемаг-глютинин

 

 

ностями. В питательные среды, кроме питательной

2. Пертактин

 

адгезия и инвазия возбудителя коклюша в

основы и факторов роста обязательно включают

 

 

клетки цилиарного эпителия и альвеолярные

адсорбенты токсичных продуктов метаболизма бор-

 

 

макрофаги

детелл, активно выделяемых в процессе их жиз-

 

 

III. Токсичные субстанции

недеятельности. Существует 2 типа адсорбентов:

1. Коклюшный

 

адгезия и инвазия возбудителя в реснитчатый

1) дефибринированная человеческая кровь, вно-

токсин – ведущий

 

эпителий; индукция лимфоцитоза, гиперсекре-

симая в количестве 20–30% в среду Борде–Жангу

фактор патоген-

 

ции инсулина, сенсибилизации к гистамину,

ности

 

ГЗТ, токсическое действие на клетки раз-

(картофельно-глицериновый агар) и являющаяся не

 

 

личных органов и их гибель; обусловливает

только адсорбентом, но и дополнительным источ-

 

 

протективность

ником нативных белков, аминокислот; 2) активиро-

2. Эндотоксин

 

общетоксическое, пирогенное, адъювантное

ванный уголь, используемый в таких полусинтети-

 

 

действие, индукция синтеза фактора некроза

 

 

опухолей

ческих средах, как казеиново-угольный агар (КУА),

 

 

3. Термолабильный

 

вызывает атрофию и некроз эпителия ды-

бордетеллагар. Качество полусинтетических сред

 

токсин (дермоне-

 

хательных путей, клеток печени, селезенки,

можно улучшить путем добавления 10–15% дефи-

кротизин)

 

лимфоузлов, спазм периферических сосудов,

бринированной крови.

 

 

избирательное возбуждает нейроны кашлевого

Колонии коклюшного микроба мелкие (около

 

 

центра в продолговатом мозге

4. Трахеальный

 

угнетает деятельность реснитчатого эпителия,

1–2 мм в диаметре), очень выпуклые, сферические,

 

с гладкими краями, серого цвета с серебристым от-

цилиотоксин

 

участвует в развитии приступов спастического

 

 

кашля

тенком, напоминающие капельки ртути или жемчу-

5. Аденилатциклаза

 

нарушает метаболизм клеток организма, об-

жины. Они обладают вязкой консистенцией и вы-

 

 

 

ладает цитотоксическим действием, протек-

растают через 48–72 ч, иногда рост затягивается до

 

 

тивностью

52

реснитчатого эпителия. Нема-

 

 

 

 

 

 

 

 

 

 

 

 

 

 

 

 

 

 

 

 

 

 

 

 

 

 

 

 

 

 

 

 

 

 

 

 

 

 

 

 

 

 

 

 

 

 

 

 

 

 

 

 

 

 

 

 

 

 

 

 

 

 

 

 

 

 

 

 

 

 

 

 

 

 

 

 

ловажную

роль

играют также

 

 

 

 

 

 

 

 

 

 

 

 

 

 

 

 

 

 

 

 

 

 

 

 

 

 

 

 

 

 

 

 

 

 

 

 

 

 

 

 

 

 

 

 

 

 

 

 

 

 

 

 

 

 

 

 

 

 

 

 

 

 

 

 

 

 

 

 

 

 

 

 

 

 

 

 

 

 

 

 

 

 

 

 

 

 

 

 

 

 

 

 

 

 

 

 

 

 

 

 

 

 

 

 

 

 

 

 

 

 

 

 

 

 

эндотоксин,

термолабильный

 

 

 

 

 

 

 

 

 

 

 

 

 

 

 

 

 

 

 

 

 

 

 

 

 

 

 

 

 

 

 

 

 

 

 

 

 

 

 

 

 

 

 

 

 

 

 

 

 

 

 

 

 

 

 

 

 

 

 

 

 

 

 

 

 

 

 

 

 

 

 

 

 

 

 

 

токсин, трахеальный цилиоток-

 

 

 

 

 

 

 

 

 

 

 

 

 

 

 

 

 

 

 

 

 

 

 

 

 

 

 

 

 

 

 

 

 

 

 

 

 

 

син, аденилатциклаза (табл. 1).

 

 

 

 

 

 

 

 

 

 

 

 

 

 

 

 

 

 

 

 

 

 

 

 

 

 

 

 

 

 

 

 

 

 

 

 

 

 

Все вышеперечисленные факто-

 

 

 

 

 

 

 

 

 

 

 

 

 

 

 

 

 

 

 

 

 

 

 

 

 

 

 

 

 

 

 

 

 

 

 

 

 

 

ры присутствуют у свежевыде-

 

 

 

 

 

 

 

 

 

 

 

 

 

 

 

 

 

 

 

 

 

 

 

 

 

 

 

 

 

 

 

 

 

 

 

 

 

 

ленных

штаммов коклюшного

 

 

 

 

 

 

 

 

 

 

 

 

 

 

 

 

 

 

 

 

 

 

 

 

 

 

 

 

 

 

 

 

 

 

 

 

 

 

 

 

 

 

 

 

 

 

 

 

 

 

 

 

 

 

 

 

 

 

 

 

 

 

 

 

 

 

 

 

 

 

 

 

 

 

 

 

микроба.

 

 

 

 

 

 

 

 

 

 

 

 

 

 

 

 

 

 

 

 

 

 

 

 

 

 

 

 

 

 

 

 

 

 

 

 

 

 

 

 

 

 

 

 

 

 

 

 

 

 

 

 

 

 

 

 

 

 

 

 

 

 

 

 

 

 

 

 

 

 

 

 

 

 

 

 

 

 

 

 

 

 

Из антигенов бордетелл наи-

 

 

 

 

 

 

 

 

 

 

 

 

 

 

 

 

 

 

 

 

 

 

 

 

 

 

 

 

 

 

 

 

 

 

 

 

 

 

 

 

 

 

 

 

 

 

 

 

 

 

 

 

 

 

 

 

 

 

 

 

 

 

 

 

 

 

 

 

 

 

 

 

 

 

 

 

больший интерес представляют

 

 

 

 

 

 

 

 

 

 

 

 

 

 

 

 

 

 

 

 

 

 

 

 

 

 

 

 

 

 

 

 

 

 

 

 

 

 

 

 

 

 

 

 

 

 

 

 

 

 

 

 

 

 

 

 

 

 

 

 

 

 

 

 

 

 

 

 

 

 

 

 

 

 

 

 

поверхностные,

локализован-

 

 

 

 

 

 

 

 

 

 

 

 

 

 

 

 

 

 

 

 

 

 

 

 

 

 

 

 

 

 

 

 

 

 

 

 

 

 

 

 

 

 

 

 

 

 

 

 

 

 

 

 

 

 

 

 

 

 

 

 

 

 

 

 

 

 

 

 

 

 

 

 

 

 

 

 

ные в фимбриях, так называе-

 

 

 

 

 

 

 

 

 

 

 

 

 

 

 

 

 

 

 

 

 

 

 

 

 

 

 

 

 

 

 

 

 

 

 

 

 

 

 

 

 

 

 

 

 

 

 

 

 

 

 

 

 

 

 

 

 

 

 

 

 

 

 

 

 

 

 

 

 

 

 

 

 

 

 

 

мые агглютиногены, иначе на-

 

 

 

 

 

 

 

 

 

 

 

 

 

 

 

 

 

 

 

 

 

 

 

 

 

 

 

 

 

 

 

 

 

 

 

 

 

 

зываемые “факторами”. Это

 

 

 

 

 

 

 

 

 

 

 

 

 

 

 

 

 

 

 

 

 

 

 

 

 

 

 

 

 

 

 

 

 

 

 

 

 

 

нетоксичные протеины с низкой

 

 

 

 

 

 

 

 

 

 

 

 

 

 

 

 

 

 

 

 

 

 

 

 

 

 

 

 

 

 

 

 

 

 

 

 

 

 

 

 

 

 

 

 

 

 

 

 

 

 

 

 

 

 

 

 

 

 

 

 

 

 

 

 

 

 

 

 

 

 

 

 

 

 

 

 

молекулярноймассой,имеющие

 

 

 

 

 

 

 

 

 

 

 

 

 

 

 

 

 

 

 

 

 

 

 

 

 

 

 

 

 

 

 

 

 

 

 

 

 

 

 

 

 

 

 

 

 

 

 

 

 

 

 

 

 

 

 

 

 

 

 

 

 

 

 

 

 

 

 

 

 

 

 

 

 

 

 

 

значение в формировании защи-

 

 

 

 

 

 

 

 

 

 

 

 

 

 

 

 

 

 

 

 

 

 

 

 

 

 

 

 

 

 

 

 

 

 

 

 

 

 

 

 

 

 

 

 

 

 

 

 

 

 

 

 

 

 

 

 

 

 

 

 

 

 

 

 

 

 

 

 

 

 

 

 

 

 

 

 

ты при коклюшной инфекции и

 

 

 

 

 

 

 

 

 

 

 

 

 

 

 

 

 

 

 

 

 

 

 

 

 

 

 

 

 

 

 

 

 

 

 

 

 

 

 

 

 

 

 

 

 

 

 

 

 

 

 

 

 

 

 

 

 

 

 

 

 

 

 

 

 

 

 

 

 

 

 

 

 

 

 

 

выявляющиеся в реакциях аг-

 

 

 

 

 

 

 

 

 

 

 

 

 

 

 

 

 

 

 

 

 

 

 

 

 

 

 

 

 

 

 

 

 

 

 

 

 

 

глютинации, что и послужило

 

 

 

 

 

 

 

 

 

 

 

 

 

 

 

 

 

 

 

 

 

 

 

 

 

 

 

 

 

 

 

 

 

 

 

 

 

 

поводом для их названия.

 

 

 

 

 

 

 

 

 

 

 

 

 

 

 

 

 

 

 

 

 

 

 

 

 

 

 

 

 

 

 

 

 

 

 

 

 

 

 

 

 

 

 

 

 

 

 

 

 

 

 

 

 

 

 

 

 

 

 

 

 

 

 

 

 

 

 

 

 

 

 

 

 

 

 

 

Anderson и Eldering еще в

 

 

 

 

 

 

 

 

 

 

 

 

 

 

 

 

 

 

 

 

 

 

 

 

 

 

 

 

 

 

 

 

 

 

 

 

 

 

50-е годы прошлого века опи-

 

 

 

 

 

 

 

 

 

 

 

 

 

 

 

 

 

 

 

 

 

 

 

 

 

 

 

 

 

 

 

 

 

 

 

 

 

 

сали 14 агглютиногенов борде-

 

 

 

 

 

 

 

 

 

 

 

 

 

 

 

 

 

 

 

 

 

 

 

 

 

 

 

 

 

 

 

 

 

 

 

 

 

 

телл, обозначив их арабскими

 

 

 

 

 

 

 

 

 

 

 

 

 

 

 

 

 

 

 

 

 

 

 

 

 

 

 

 

 

 

 

 

 

 

 

 

 

 

цифрами (в настоящее время

 

 

 

 

 

 

 

 

 

 

 

 

 

 

 

 

 

 

 

 

 

 

 

 

 

 

 

 

 

 

 

 

 

 

 

 

 

 

известно уже 16). Родовым, об-

 

 

 

 

 

 

 

 

 

 

 

 

 

 

 

 

 

 

 

 

 

 

 

 

 

 

 

 

 

 

 

 

 

 

 

 

 

 

щим для всех бордетелл, являет-

 

 

 

 

 

 

 

 

 

 

 

 

 

 

 

 

 

 

 

 

 

 

 

 

 

 

 

 

 

 

 

 

 

 

 

 

 

 

 

 

 

 

 

 

 

 

 

 

 

 

 

 

 

 

 

 

 

 

 

 

 

 

 

 

 

 

 

 

 

 

 

 

 

 

 

 

ся агглютиноген 7; видовым для

 

 

 

 

 

 

 

 

 

 

 

 

 

 

 

 

 

 

 

 

 

 

 

 

 

 

 

 

 

 

 

 

 

 

 

 

 

 

 

 

 

 

 

 

 

 

 

 

 

 

 

 

 

 

 

 

 

 

 

 

 

 

 

 

 

 

 

 

 

 

 

 

 

 

 

 

B.pertussis – 1 (обязательный),

 

 

 

 

 

 

 

 

 

 

 

 

 

 

 

 

 

 

 

 

 

 

 

 

 

 

 

 

 

 

 

 

 

 

 

 

 

 

внутривидовыми

(штаммовы-

 

 

 

 

 

 

 

 

 

 

 

 

 

 

 

 

 

 

 

 

 

 

 

 

 

 

 

 

 

 

 

 

 

 

 

 

 

 

 

 

 

 

 

 

 

 

 

 

 

 

 

 

 

 

 

 

 

 

 

 

 

 

 

 

 

 

 

 

 

 

 

 

 

 

 

 

ми) – 2–6, 13, 15, 16 (необяза-

 

 

 

 

 

 

 

 

 

 

 

 

 

 

 

 

 

 

 

 

 

 

 

 

 

 

 

 

 

 

 

 

 

 

 

 

 

 

тельные);

для

B.parapertussis

 

 

 

 

 

 

 

 

 

 

 

 

 

 

 

 

 

 

 

 

 

 

 

 

 

 

 

 

 

 

 

 

 

 

 

 

 

 

 

 

 

 

 

 

 

 

 

 

 

 

 

 

 

 

 

 

 

 

 

 

 

 

 

 

 

 

 

 

 

 

 

 

 

 

 

 

– соответственно 14 и 8–10, для

 

 

 

 

 

 

 

 

 

 

 

 

 

 

 

 

 

 

 

 

 

 

 

 

 

 

 

 

 

 

 

 

 

 

 

 

 

 

 

 

 

 

 

 

 

 

 

 

 

 

 

 

 

 

 

 

 

 

 

 

 

 

 

 

 

 

 

 

 

 

 

 

 

 

 

 

B.bronchiseptica – 12 и 8–11.

 

 

 

 

 

 

 

 

 

 

 

 

 

 

 

 

 

 

 

 

 

 

 

 

 

 

 

 

 

 

 

 

 

 

 

 

 

 

 

 

 

 

 

 

 

 

 

 

 

 

 

 

 

 

 

 

 

 

 

 

 

 

 

 

 

 

 

 

 

 

 

 

 

 

 

 

Обнаружение их используют в

 

 

 

 

 

 

 

 

 

 

 

 

 

 

 

 

 

 

 

 

 

 

 

 

 

 

 

 

 

 

 

 

 

 

 

 

 

 

лабораторной

диагностике ко-

Рис. 1. Основные этапы патогенеза типичной формы коклюша.

клюша

при

дифференциации

соответствующих видов и для

ФГА – филаментозный гемагглютинин, КТ – коклюшный токсин, ТЦТ – трахеальный цитотоксин,

АдЦ – аденилатциклаза, ДнТ – дермонекротоксин, ДП – дыхательные пути.

разделения штаммов B.pertussis

 

 

 

 

 

 

 

 

 

 

 

 

 

 

 

 

 

 

 

 

 

 

 

 

 

 

 

 

 

 

 

 

 

 

 

 

 

 

на серологические варианты.

 

 

 

 

 

 

 

 

 

 

 

 

 

возбудителя развивается воспаление, угнетается

Четыре существующих сероварианта B.pertussis

устанавливают по сочетаниям факторов 1, 2, 3; 1, 0,

деятельность реснитчатого эпителия, увеличива-

0; 1, 2, 0; 1, 0, 3; 1, 2, 3.

 

 

 

 

 

 

 

 

 

 

 

 

 

ется секреция слизи, появляются изъязвления эпи-

Патогенез коклюшной инфекции

телия дыхательных путей (ДП) и очаговый некроз.

Патологический процесс наиболее выражен в брон-

Входными воротами инфекции является слизи-

хах и бронхиолах, менее – в трахее, гортани, носо-

стая оболочка респираторного тракта. Палочки ко-

глотке. Формирующиеся слизисто-гнойные пробки

клюша проявляют строгий тропизм к клеткам мер-

закупоривают просвет бронхов и приводят к очаго-

цательного эпителия, прикрепляются к ним и раз-

вому ателектазу. Постоянное механическое раздра-

множаются на поверхности слизистой оболочки, не

жение рецепторов ДП, а также действие на них КТ,

проникая в кровоток. Размножение обычно проис-

дермонекротизина и продуктов жизнедеятельности

ходит на протяжении 2–3 нед и сопровождается вы-

B. pertussis обусловливают развитие приступов каш-

делением ряда сильных экзотоксинов, основными

ля и приводят к формированию в дыхательном цен-

из них являются КТ и аденилатциклаза. Через 2–3

тре очага возбуждения типа доминанты, вследствие

нед возбудитель коклюша разрушается с высвобож-

чегоразвиваетсяхарактерныйспастическийкашель.

дением большого комплекса внутриклеточных фак-

К этому моменту патологический процесс в бронхах

торов патогенности. В месте колонизации и инвазии

самоподдерживается уже в отсутствие возбудителя.

 

 

 

 

 

 

 

 

 

 

 

 

 

 

 

 

 

 

53

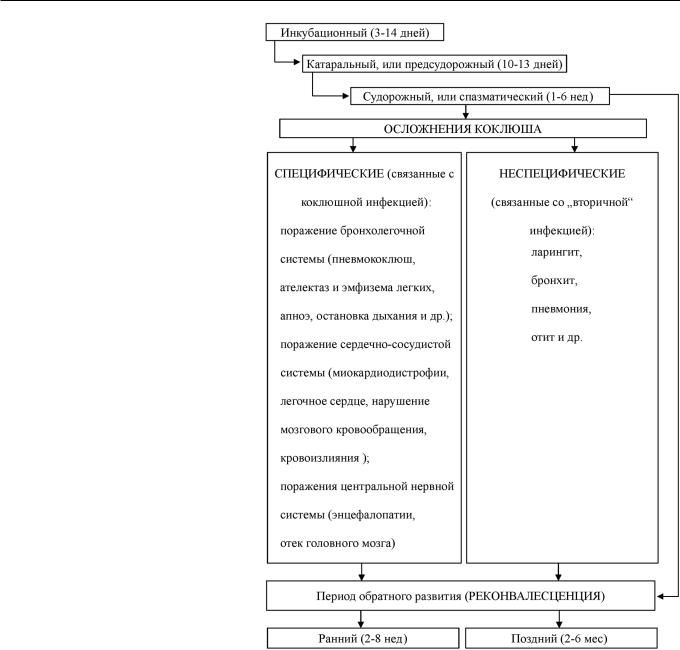
Рис. 2. Клинические периоды течения коклюша.

ЭПИДЕМИОЛОГИЯ И ИНФЕКЦИОННЫЕ БОЛЕЗНИ, Т. 19, № 4, 2014

И даже после полного исчезновения возбудителя из организма и воспалительных процессов в ДП кашель может сохраняться очень длительно (от 1 до 6 мес) за счет наличия доминантного очага в дыхательном центре (рис. 1). Возможна иррадиация возбуждения из ДП в другие отделы нервной системы, в результате чего возникают симптомы со стороны соответствующих систем: сокращение мышц лица, туловища, рвота, увеличение артериального давления и др.

Особенностями инфекционного процесса при коклюше являются отсутствие фазы бактериемии, первичного инфекционного токсикоза с выраженной температурной реакцией и катаральных явлений, а также медленное, постепенное развитие заболевания. Отсутствие выраженного первичного токсикоза объясняется тем, что B. pertussis при своем размножении и гибели образует малое количество КТ. Несмотря на это, КТ оказывает выраженное влияние на весь организм, и прежде всего на дыхательную, сосудистую и нервную системы, вызывая спазм бронхов, повышение проницаемости сосудистой стенки и тонуса периферических сосудов. Возникающий генерализованный сосудистый спазм может приводить к развитию артериальной гипертензии, формировантию венозного застоя в малом круге кровообращения.

Кроме того, возбудитель коклюша способен оказывать неблагоприятное влияние на желудочно-кишечный тракт, усиливая перистальтику кишечника и способствуя развитию диарейного синдрома, приводить к исчезновению облигатных представителей кишечной микрофлоры и как следствие к сниже-

нию колонизационной резистентности, размножению условно-патогенных энтеробактерий, кокков и грибов и развитию дисбактериоза кишечника. Эти эффекты обусловлены действием преимущественно КТ и аденилатциклазы.

Немаловажноезначениевпатогенезекоклюшапо современным представлениям имеет апоптогенное действие токсинов B.pertussis на клетки иммунной системы организма. Возникающий вследствие этого вторичный иммунодефицит является предрасполагающим фактором для развития неспецифических осложнений коклюша, таких как бронхиты и пневмонии, связанных чаще всего с активизацией собственной бактериальной флоры дыхательных путей или “наслоением” ОРВИ, хламидийных, микоплазменных инфекций, являясь прекрасным “проводни-

ком” для них. Подобные осложнения значительно увеличивают риск развития бронхообструкции и дыхательной недостаточности.

Клиническая картина коклюша

Коклюш в типичной манифестной форме (“стандартное определение” случая) характеризуется следующими симптомами: сухим кашлем с постепенным его усилением и приобретением характера приступообразного спазматического на 2–3-й неделе заболевания, особенно в ночное время суток или после физической и эмоциональной нагрузки; явлениями апноэ, гиперемией лица, цианозом, слезотечением, рвотой, лейко- и лимфоцитозом в периферической крови, развитием “коклюшного легкого”, жестким дыханием, отделением вязкой мокроты;

54