Материал: Класифікація неперервних функцій за порядками їх найкращих наближень

Внимание! Если размещение файла нарушает Ваши авторские права, то обязательно сообщите нам

 

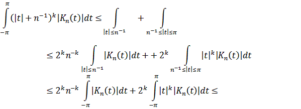
Доведення. Користуючись (3.2) і (3.3) маємо наступне


і лема доведена.

Теорема 3.1. Нехай

  (3.5)

 

Доведення. Нехай послідовність ядер   задовольняє всі умови леми 1. Покладемо


Видно, що  є тригонометричний поліном порядку не вище  Оцінимо . Маємо

Тому


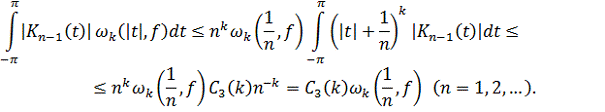
Оцінимо останній інтеграл. Вважаючи в нерівності (1.6) , отримаємо, що


Звідси і із (3.4) слідує:


Підставивши цю оцінку в (3.6), отримаємо твердження теореми.

Наслідок. Нехай  - натуральне число,  - ціле невід’ємне. Тоді


Дійсно, згідно (1.11),

Використання теореми 3.1 дає (3.7).

4.      Теорема С.Н. Бернштейна


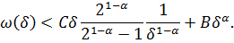
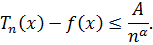
Теорема 4.1. Нехай  і  - її найкраще наближення поліномами із . Якщо при всіх натуральних  


тоді при  можна стверджувати, що


А якщо , то

 *).

 

Доведення. Для будь-якого натурального  існує тригонометричний поліном  порядку не вище , для якого


Покладемо


Легко побачити, що

або


Візьмемо будь-яке число , для якого


і нехай  Тоді


Нехай натуральне число  підібрано із умови


(очевидно, ). В такому разі


Дамо оцінку поліному


Звідси


отже,


де покладемо для кратності


З іншого боку,  є тригонометричний поліном порядку не вище . Отже, для його похідної на основі нерівності С. Н. Бернштейна*) справедлива оцінка


На основі формули Лагранжа


Тому


Зважаючи на те що  і  об’єднані єдиною умовою , остання нерівність показує, що


де . Помітно, що, в силу (4.1)


надамо останній нерівності вигляд


До цих пір міркування однаково відносились як до випадку, коли  так і до того, коли  Тепер нам треба розрізнити ці випадки.

Якщо  то


Але за (4.1)


Отже,

і


Інакше кажучи,


А це означає, що .

Якщо ж , то нерівність (4.2) має вигляд


Із нерівності  випливає, що


а так як  (або ), то


звідки


Позначимо через  число, більше, ніж  і , знаходимо


Що і завершує доведення теореми.

5.      Теорема про рівність класу Ліпшиця і класу Діціана і Тотіка


Розглянемо клас Ліпшиця порядка :


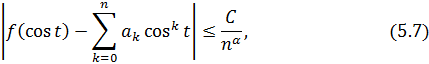
Нехай функція ,  :

Де

Зробимо заміну змінних. Нехай , де .

Функція .

За теоремою Джексона (2.1) існує тригонометричний поліном , порядку не вище , для якого справедлива оцінка:


Відомо, якщо функція  - парна, то тригонометричний поліном  - також буде парним. Тоді він матиме вигляд:


Доведемо, що поліном  можна представити у вигляді:


Для доведення рівності (5.3) скористаємося відомими тригонометричними формулами:


Із формули (5.5) справедлива наступна лема.


З формули (5.4) та леми 5.1 отримаємо:


Рівності (5.6) доводить справедливість рівності (5.3).

Отже, виходячи із оцінки (5.1) та рівності (5.3), отримаємо наступне:


повернемося до заміни :


Далі, застосуємо обернену теорему Діціана і Тотіка:


Отже, ми довели наступне, що якщо , тоді  також. (5.10)

Доведемо це твердження у зворотній бік. Нехай відомо, що


Тоді, за прямою теоремою Діціана і Тотіка, існує поліном , для якого виконується нерівність:


Знову, вводимо заміну: , де .

З (5.11) одержимо


Застосувавши обернену теорему Бернштейна, отримаємо те, що

 

Тобто, показали, якщо , то   (5.14)

Отже, можна зробити висновок. Із тверджень (5.10) і (5.14) випливає наступна рівність

.

Тобто ми довели, що клас Ліпшиця дорівнює класу Діціана і Тотіка.

Висновок

У дипломній роботі було розглянуто означення модуля неперервності та його властивості, а також властивості введені Діціаном і Тотіка. Були згадані такі теореми: теорема Джексона, узагальнена теорема Джексона, теорема Діціана і Тотіка, теорема С. Н. Бернштейна. Використовуючи властивості модулів неперервності і застосовуючи прямі і обернені теореми Джексона і Бернштейна та Діціана і Тотіка, у дипломній роботі встановлено зв’язок між класами Діціана-Тотіка і деякими класами, що задовольняють умову Ліпшиця.