Давление на силовом насосе повышается, и погружной агрегат начинает работать.
При необходимости подъема погружного агрегата силовая жидкость от наземного силового насоса подается в кольцевой зазор между колоннами НКТ 1 и 2. Через отверстия 4 в посадочном конусе 3 силовая жидкость воздействует снизу на погружной агрегат (обратный клапан 6 при этом закрывается), выдавливает его из посадочного конуса 3 и поднимает до устья скважины.
Таким образом, необходимость в бригаде подземного ремонта отпадает.
Очевидно, что при работе по описанной схеме, необходимо иметь дополнительное оборудование для фиксации и удержания погружного агрегата на устье скважины, а также специальное устройство для переключения подачи силовой жидкости из колонны НКТ в кольцевой зазор и наоборот.
Многообразие и сложность как наземного, так и погружного оборудования, необходимость качественной подготовки силовой жидкости (сепарация от свободного газа, удаление из нее воды и очистка от механических примесей) не способствуют широкому промышленному использованию ГПНУ для эксплуатации скважин в России, большинство основных месторождений нефти которой находится в зоне суровых климатических условий.
Расчет основных технологических параметров добывающей системы при эксплуатации ее ГПНУ принципиально ничем не отличается от такового при ее эксплуатации плунжерными насосами (установками скважинных штанговых насосов).
Известны и другие способы насосной эксплуатации скважин, например, установками вибрационных, винтовых или диафрагменных насосов, которые кратко будут рассмотрены ниже и которые подробно изучаются в курсе оборудования для добычи нефти.
С технологической точки зрения расчеты основных параметров добывающей системы при эксплуатации скважин перечисленными установками не отличаются от уже рассмотренных ранее.
Характеристики насоса
В настоящее время выпускаются установки:
УГН25-150-25
УГН40-250-20
УГН100-2000-18
УГН160-380-155
2. Расчет фонтанной эксплуатации скважин
Исходные данные
|
1 |
Дебит по жидкости при ст. Условиях, м3/сут |
55 |
|
2 |
Давление в выкидной линии ,МПа |
1,5 |
|
3 |
Пластовая температура, К |
322 |
|
4 |
Обводненность продукции, доли ед. |
0,35 |
|
5 |
Глубина скважины, м |
1683 |
|
6 |
Угол отклонения ствола от вертикали, град. |
16 |
|
7 |
Внутренний диаметр НКТ, м |
0,0503 |
|
8 |
Внутренний диаметр обсадной колонны, м |
0,133 |
|
9 |
Плотность нефти при ст.условиях, кг/м3 |
880 |
|
10 |
Вязкость нефти при ст.условиях, мПа*с |
12,1 |
|
11 |
Давление насыщения нефти газом, МПа |
8,0 |
|
12 |
Пластовое давление, МПа |
16,4 |
|
13 |
Газовый фактор, нм3/м3 |
|
|
14 |
Плотность газа при норм.условиях, кг/м3 |
1,37 |
|
15 |
Доля азота в составе газа, доли ед. |
0,17 |
|
16 |
Доля метана в составе газа, доли ед. |
0,3 |
|
17 |
Коэффициент продуктивности, м3/(сут*МПа) |
54 |
|
18 |
Концентрация солей в воде, г/л |
200 |
|
19 |
Плотность воды, кг/м3 |
1170 |
|
20 |
Коэффициент сверхсжимаемости газа |
0,84 |
Задача 1
Исходя из условий прочности НКТ на разрыв в опасном сечении, на страгивающие нагрузки в резьбовом соединении и на внутреннее давление, определить глубину спуска ступеней колонны гладких насосно-компрессорных труб с треугольной резьбой из стали групп прочности "Д", "К" общей длиной 1600 м для фонтанирующей скважины глубиной 1683 м, имеющей обсадную колонну диаметром 140 х 7 мм. При расчете пренебрегаем потерей веса колонны труб в жидкости, так так уровень жидкости в межтрубном пространстве во время работы может быть оттеснен до башмака колонны труб.
Решение
Расчет насосно-компрессорных труб при фонтанно-компрессорной эксплуатации
скважин следует проводить на страгивающую нагрузку в резьбовом соединении, на
предельную нагрузку в опасном сечении и на внутреннее давление.
Таблица 2.1.
Трубы гладкие с треугольной резьбой
|
Условный диаметр трубы |
Наружный диаметр D, мм |
Толщина стенки δ, мм |
Наружный диаметр муфты Dм, мм |
Масса 1 п.м, кг |
Высота резьбы, h, мм |
Длина резьбы до основной плоскости L, мм |
|
33 |
33,4 |
3,5 |
42,2 |
2,65 |
1,412 |
16,3 |
|
42 |
42,2 |
3,5 |
52,2 |
3,37 |
" |
19,3 |
|
48 |
48,3 |
4,0 |
55,9 |
4,46 |
" |
22,3 |
|
60 |
60,3 |
5,0 |
73,0 |
6,96 |
" |
29,3 |
|
73 |
73,0 |
5,5; 7,0 |
88,9 |
9,5; 11,7 |
" |
40,3 |
|
89 |
6,5 |
108,0 |
13,65 |
" |
47,3 |
|
|
102 |
101,6 |
6,5 |
120,6 |
15,76 |
1,81 |
49,3 |
|
114 |
114,3 |
7,0 |
132,1 |
19,1 |
" |
52,3 |
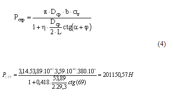
Примем за 1-ю секцию гладкие НКТ 60,3 х 5 из стали групп прочности "Д" (σт = 380 МПа).
Страгивающую нагрузку определим по формуле Ф.И. Яковлева:
, (1)
где b = δ - h1 - толщина тела трубы под резьбой в основной плоскости; h1 - высота профиля резьбы;
Dср = d + b - средний диаметр тела трубы под резьбой; d - внутренний диаметр трубы;
η = b / (δ + b) - поправка Шумилова; α - угол наклона несущей поверхности резьбы к оси трубы;
φ - угол трения в резьбе (φ = 7°-9°);
L - длина резьбы с полным профилем; σт - предел текучести материала трубы.
мм; D=d +2.
=50,3+2.5=60,3 мм
мм;
L=29,3 мм;
Предельная нагрузка
Где
- диаметр резьбы в основной плоскости по впадине витков для
гладких НКТ или диаметр наружной основного тела НКТ с высаженными наружу
концами и НКБ.
Выбрав страгивающую нагрузку за расчетную как наименьшую, определим
допустимую глубину спуска секции НКТ по формуле:
где
- расчетная нагрузка; q - масса 1 погонного метра трубы с
учетом муфт и высаженной части; n - коэффициент запаса (n = 1,2 - 1,3); g =
9,81 м/с2 - ускорение свободного падения.
Потому,что
>1600 ,мы берем только одну секцию длины 1600 М
Минимальный зазор с обсадной колонной составит S = 140 - 2·7 -
= 126 - 73 = 53 мм.
Расчет на внутреннее давление производится на допустимое давление, исходя
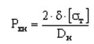
из прочности и геометрических параметров трубы по формуле Барлоу:
(2)
где δ - толщина основного тела трубы; [σт] = σт/η - допустимое значение предела текучести (по ГОСТ-633-80, η = 1,25; по другим источникам η = 1,3 - 1,5);
Dн - наружный диаметр основного тела трубы.
для нижней трубы НКТ 60,3 х 5 мм
Определяем фактическое внутреннее давление трубы, по формуле
где Lтр1 - длины секций НКТ;
- плотность жидкости; g = 9,81 м/с2.
Условием надежной работы НКТ является
При плотности добываемой жидкости
Следовательно, выбранная нами ступенчатая колонна НКТ проходит как по условию прочности, так и по внутреннему давлению для заданных условий скважины.
Защитные покрытия наносятся на поверхность НКТ с целью предотвращения отложений в них парафина, солей и гипса, а также защиты от коррозии внутренней поверхности труб. Кроме того, наблюдается снижение гидравлических сопротивлений протоку на 20-25% [24].
Внутреннюю поверхность НКТ покрывают стеклом, эмалями, эпоксидными смолами или лаками. Покрытие стеклом обладает высокой теплостойкостью и достаточно прочно при небольших деформациях труб.
Основным недостатком остеклованных труб является разрушение стекла при деформации труб.
Причиной этого являются различные модули упругости стали (0,21 106 МПа) и стекла (0,057-106 МПа). Вследствие этого при растяжении металла труб тонкому слою стекла, передаются большие усилия, нарушающие его целостность. Это сказывается при больших глубинах подвески труб и при их транспортировке.
Задача 2
Рассчитать максимальную глубину спуска гладких остеклованных НКТ 60,3 x 5 мм "Д" при фонтанно-компрессорной эксплуатации скважин, если предел прочности стекла составляет 50 МПа. (предел прочтности стекла от 30 до 100 Мпа).
Решение
Допустимую нагрузку на остеклованные трубы определим по формуле
(3)
где Р - допустимая нагрузка на трубы, определенная по условию сохранения прочности стекла;
- предел прочности стекла;
n - запас прочности (n = 1,3-1,5);
Fст - площадь поперечного сечения слоя стекла;
Fтр - площадь поперечного сечения трубы;
Ест, Етр - модули упругости стекла и труб соответственно.
Полагая, что по технологии изготовления средняя толщина слоя стекла составляет 1 мм.
Тогда

Для сравнения страгивающая нагрузка для НКТ 60,3 х 5 "Д"
составит
Где
мм; D=d +2.
=50,3+2.5=60,3 мм
м;
L=29,3 мм;
Допустимая глубина спуска по страгивающей нагрузке
Таким образом, покрытие из стекла уменьшает допустимую глубину спуска НКТ 60 мм на 599 м или приблизительно на 21,2%.
а) Расчет распределения давления в скважине (от забоя по ЭК)
· Расчет распределения давления в эксплуатационной колонне (ЭК) жидкости
без газа. Находим глубину (НГ), на которой начнет выделяться газ
![]()
(
)
Где
НГ - Глубина на которой начнет выделяться газ (м)- Дебит скважины (м3/с)
Рпл - Пластовое давление (Па)
Рзаб - Забойное давление (Па)
Рнас - Давление насыщения (Па)эк - Внутренний диаметр ЭК (М)ж - Скорость подъема жидкости в ЭК (м/с)
Ρж - Плотность жидкости (кг/м3)
ρн - Плотность нефти (кг/м3)
ρв - Плотность воды (кг/м3)в - Обводненность продукции (д.е.)- Число Рейнольдса
Μн - Вязкость нефти (Па*с)- Ускорение свободного падения =9,81 (м2/с)
Λ - Коэффициент гидравлического трения потока
Εэк - Абсолютная шероховатость внутренней поверхности ЭК
Α - Угол отклонения скважины от вертикали (град)к - Глубина кровли пласта (м)
Б) Расчет распределения давления газированной жидкости по методике Поэтмана-Карпентера.
Для расчета необходимо задаться диаметром (d
)
Определяем давление, для которого будем находить глубину
Где
Определяем температуру в каждом сечении
Где
Dl - Шаг изменения глубины для расчета давления (м)- Глубина, начиная с которой начнет выделяться газ (м)- Количество интервалов (выбирается в зависимости от длины участка, где движется газожидкостная смесь) (м)
Ωп - Температурный градиент потока (К/м)- Дебит скважины (м3/с)- Внутренний диаметр (М)
Тj - Температура в интервале Hj (К)
Тпл -
Температура пласта (К)к - Глубина кровли пласта (м)- Интервал, на котором рассчитывается
давление (м)
Где
Рjнас - Давление насыщения при Тj (Па)
Рнас - Давление насыщения (Па)
Тпл - Температура пласта (К)
Тj - Температура в интервале Hj (К)
Г - Газовый фактор (м3/м3)- Молярная доля азота в составе газа (д.е.)- Молярная доля метана в составе газа (д.е.)
Рj - Давление в интервале Нj (Па)
R(P)(T)(T)
Коэффициенты для расчета объема выделившегося газа
Ρн - Плотность нефти (кг/м3)
Ρг - Плотность газа (кг/м3)ГВ
- Удельный объем выделившегося газа (м3/м3)