Материал: ИЗ_П-31_Лопатина

Внимание! Если размещение файла нарушает Ваши авторские права, то обязательно сообщите нам

Министерство образования и науки Российской Федерации

Федеральное государственное автономное образовательное

учреждение высшего образования

Национальный исследовательский университет “МИЭТ”

Институт Системной и программной инженерии и информационных технологий

Дисциплина: Численные методы

Отчёт по индивидуальному заданию №2

СРС с использованием информационных справочных систем

Вариант 23

Выполнил:

Студент П-31

Лопатина Татьяна

Москва, 2021

Формулировка задания

Составить математическую модель для приближённого вычисления производной 1-го порядка функции f(x) с третьим порядком аппроксимации. Используя построенную модель, найти численно 1-ю производную функции f(x) = x3 – 4x2 в точке x0 = 1, шаг между узлами взять равным 0,1. Найти абсолютную погрешность результата. По итогам работы составить отчёт в письменной или печатной (электронной) форме.

Этапы выполнения задания

Этап 1. Регистрация в ЭБС «Лань».

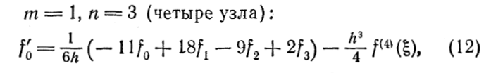
Этап 2. Поиск источников в ЭБС «Лань», нахождение подходящих вариантов формул для разностной производной.

Указание литературных источников и электронных ресурсов, сканы источников из ИСС, из которых были взяты применённые формулы.

  1. Волков Е.А. Численные методы: учебное пособие для вузов / Е.А. Волков. – 6-е изд., стер. – Санкт-Петербург: Лань, 2021. – 252 с. – Текст: непосредственный.

https://e.lanbook.com/reader/book/167179/#2

Этап 3. Составление математической модели и решение задачи на её основе.

  1. Составленную математическую модель (формулу для соответствующей разностной производной с заданным порядком аппроксимации)

y’(xi) = (–11*yi + 18*yi+1 – 9*yi+2 + 2*yi+3) /6h + h3/4*y’’’’(e) – правая разностная производная 3 порядка аппроксимации, где

yi = f (xi)

yi+1 = f (xi+1)

yi+2 = f (xi+2)

yi+3 = f (xi+3)

h = xi+1 – xi = const = 0,1 – шаг между узлами

x0 = 1

xi+1 = xi + h

xi+2 = xi + 2*h

xi+3 = xi + 3*h

y’’’’ = (x3 – 4x2)’’’’ = (3x2 – 8x)’’’ = (6x – 8)’’ = 6’ = 0

h3/4*y’’’’(e) = h3/4*0 = 0 – погрешность

  1. Вычисленное приближённое значение заданной производной в заданной точке.

y’+(xi) = (–11*yi + 18*yi+1 – 9*yi+2 + 2*yi+3) /6h =

= (–11* y(xi) + 18* y(xi+1) – 9* y(xi+2)+ 2* y(xi+3)) /6h =

= (–11* y(xi) + 18* y(xi + h) – 9* y(xi + 2*h)+ 2* y(xi + 3*h)) /6h =

= (–11* y(x0) + 18* y(x0 + 0,1) – 9* y(x0 + 0,2)+ 2* y(x0 + 0,3)) /6*0,1 =

= (–11* y(1) + 18* y(1,1) – 9* y(1,2)+ 2* y(1,3)) /0,6 =

y(1) = x3 – 4x2 = 1 – 4 = –3

y(1,1) = (1,1)3 – 4*(1,1)2 = 1,331 – 4,84 = –3,509

y(1,2) = (1,2)3 – 4*(1,2)2 = 1,728 – 5,76 = –4,032

y(1,3) = (1,3)3 – 4*(1,3)2 = 2,197 – 6,76 = –4,563

= (–11*(–3) + 18*(–3,509) – 9* (–4,032)+ 2* (–4,563)) /0,6 =

= (33 – 63,162 + 36,288 – 9,126) /0,6 = –5

  1. Вычисленное аналитически точное значение заданной производной в заданной точке.

y’(x) = 3*x2 – 8*x

y’(xi) = 3 – 8 = –5

  1. Вычисленную абсолютную погрешность результата

r (xi) = | –5 – (–5) | = 0

Вывод: В ходе выполнения задания были использованы информационная справочная система ЭБС «Лань». В книге Волкова Е.А «Численные методы» была найдена формула аппроксимации 3 порядка для производной 1 порядка, по ней была составлена математическая модель, и с её помощью вычислено приближённое значение функции f(x) в заданной точке с заданным шагом. Также в исходной формуле была погрешность, которая совпала с погрешностью, посчитанной с использованием точного и приближённого значения функции f(x).

Страница 4 из 4