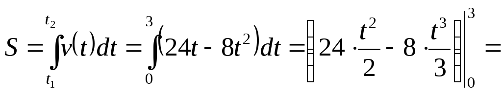
3. Тіло рухається прямолінійно із
швидкістю
(м/с).
Обчислити шлях, який пройшло тіло від
початку руху до зупинки.
|
Дано:
|
|
|
|
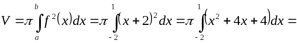
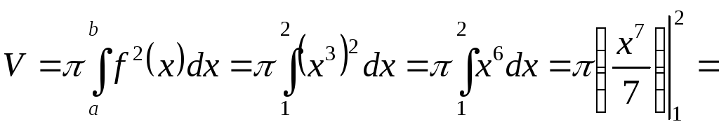
4. Обчислити об’єм тіла, яке утворюється обертанням фігури, обмеженої заданими лініями:
,
,
,
![]()
|
|
1)
2) |
Підсумкова робота
по темі: «Інтеграл та його застосування»
ІV варіант
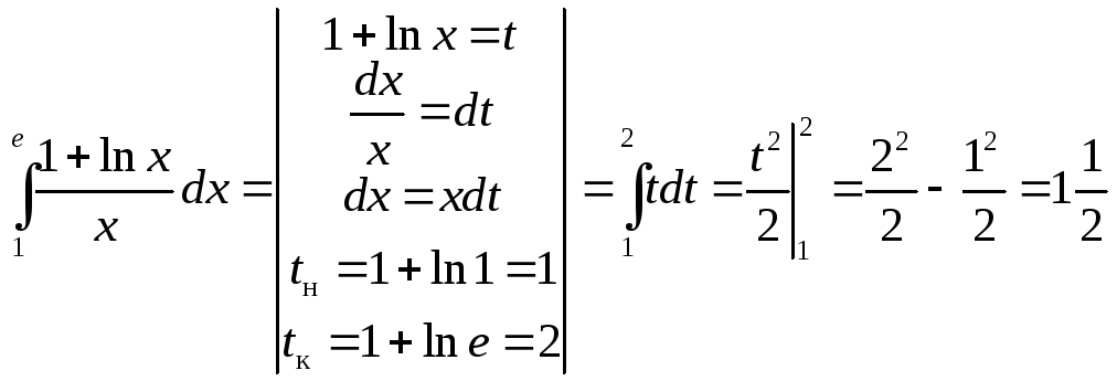
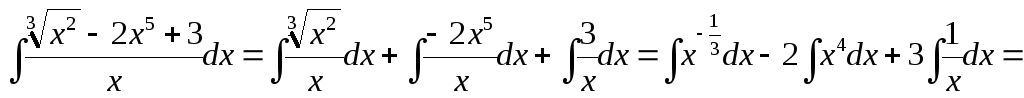
1. Обчислити інтеграли:
а)

б)
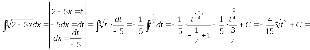
![]()
в)
г) 
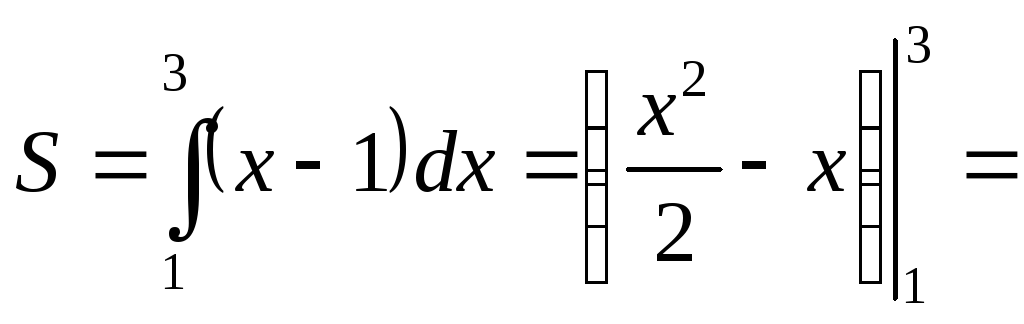
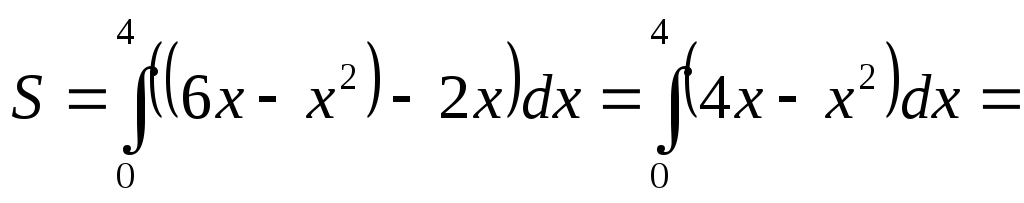
2. Обчислити площу фігури, обмежену заданими лініями:
а)
,
,
,
![]()
|
|
1)
2)
|
б)
,
![]()
|
|
1)
2)
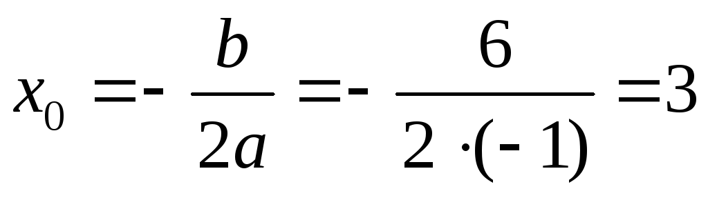
3) Точки перетину параболи
і прямої:
4) |
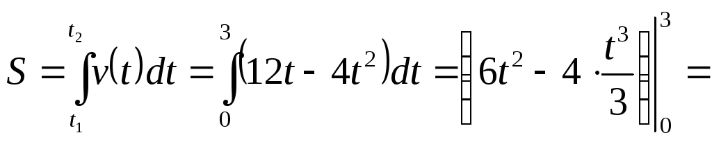
3. Тіло рухається прямолінійно із
швидкістю
(м/с).
Обчислити шлях, який пройшло тіло від
початку руху до зупинки.
|
Дано:
|
|
|
|
4. Обчислити об’єм тіла, яке утворюється обертанням фігури, обмеженої заданими лініями:
,
,
,
![]()
|
|
1)
2) |