Підсумкова робота
по темі: «Інтеграл та його застосування»
І варіант
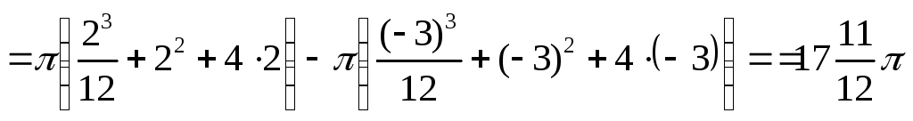
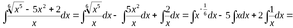
1. Обчислити інтеграли:
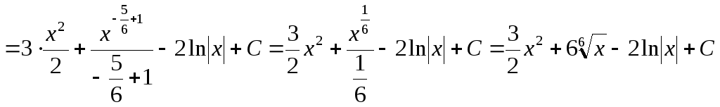
а)

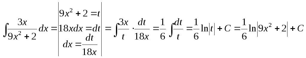
б) 
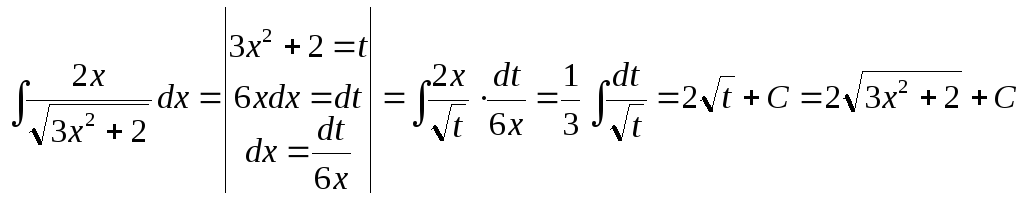
в)
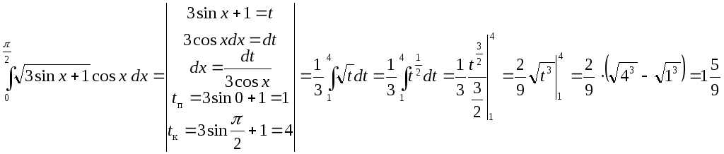
![]()
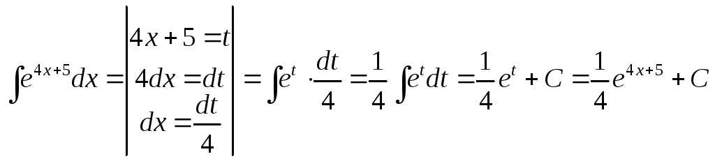
г) 
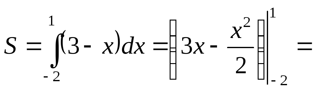
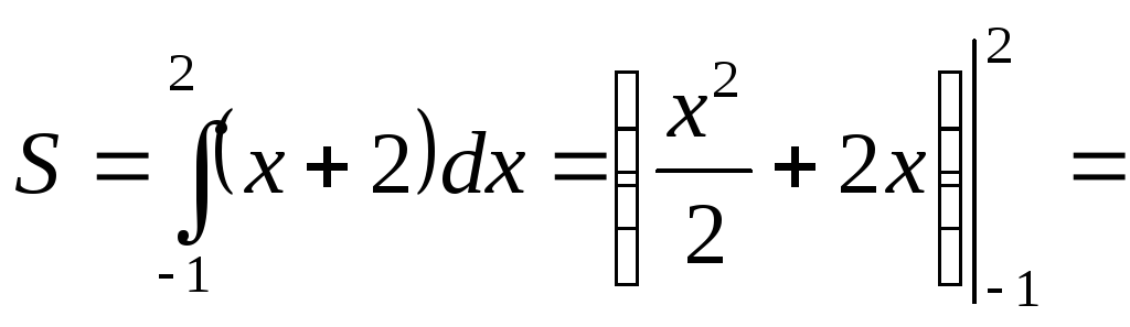
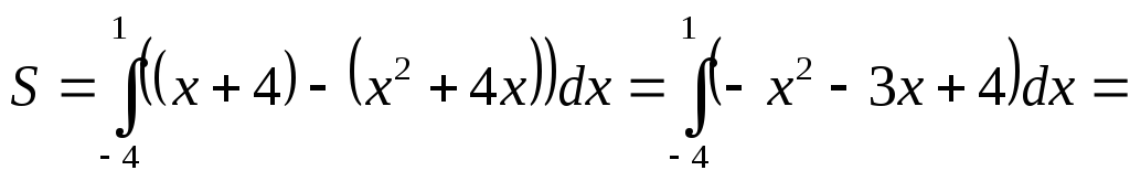
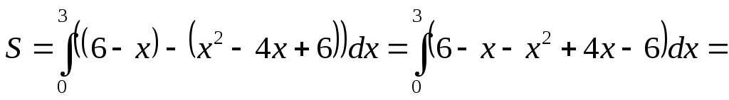
2. Обчислити площу фігури, обмежену заданими лініями:
а)
,
,
,
![]()
|
|
1)
2)
|
б)
,
![]()
|
|
1)
2)
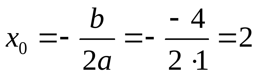
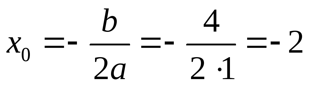
3) Точки перетину параболи
і прямої:
4) |
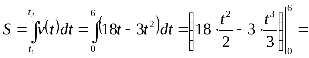
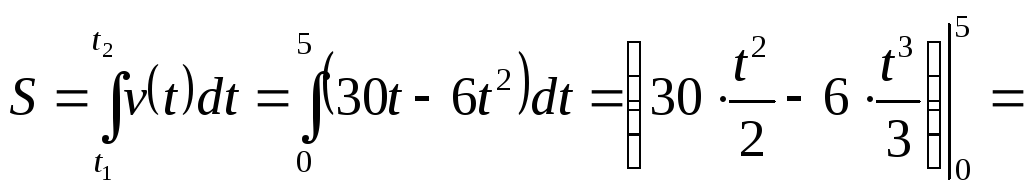
3. Тіло рухається прямолінійно із
швидкістю
(м/с).
Обчислити шлях, який пройшло тіло від
початку руху до зупинки.
|
Дано:
|
|
|
|
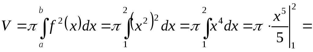
4. Обчислити об’єм тіла, яке утворюється обертанням фігури, обмеженої заданими лініями:
,
,
,
![]()
|
|
1)
2) |
Підсумкова робота
по темі: «Інтеграл та його застосування»
ІІ варіант
1. Обчислити інтеграли:
а)

б) 
в)
![]()
г) 
2. Обчислити площу фігури, обмежену заданими лініями:
а)
,
,
,
![]()
|
|
1)
2)
|
б)
,
![]()
|
|
1)
2)
3) Точки перетину параболи
і прямої:
4) |
3. Тіло рухається прямолінійно із
швидкістю
(м/с).
Обчислити шлях, який пройшло тіло від
початку руху до зупинки.
|
Дано:
|
|
|
|
4. Обчислити об’єм тіла, яке утворюється обертанням фігури, обмеженої заданими лініями:
,
,
,
![]()
|
|
1)
2) |
Підсумкова робота
по темі: «Інтеграл та його застосування»
ІІІ варіант
1. Обчислити інтеграли:
а)

б) 
в)
![]()
г) 
2. Обчислити площу фігури, обмежену заданими лініями:
а)
,
,
,
![]()
|
|
1)
2)
|
б)
,
![]()
|
|
1)
2)
3) Точки перетину параболи
і прямої:
4) |