Материал: Источники питания РЭА

Внимание! Если размещение файла нарушает Ваши авторские права, то обязательно сообщите нам

Прецизионные источники опорного напряжения. Бывают двух ви-

дов: температурно–стабилизированные (термостатированные) источники ОН и источники ОН без подогрева.

Температурно–стабилизированные источники опорного напряжения представляют собой ИМС отличающиеся наличием дополнительного нагревательного элемента, управляющегося по сигналам термодатчика. Идея очень проста: кристалл нагревается в процессе работы до повышенной температуры, величина которой поддерживается на одном и том же заданном уровне. Стабильность достигает 10-6/° С и даже лучше.

Такие источники применяются уже длительное время. Они входят в состав, например, сверхстабильных генераторов.

К недостаткам метода относятся, прежде всего, большая потребляемая мощность и запаздывание в выходе на режим (порядка нескольких секунд). Например, LM199 имеет температурный коэффициент 2·10-7/° С (0,00002%/° С). Мощность, потребляемая нагревателем кристалла ≈ 0,25Вт и время установления режима 3 – 5 с.

Прецизионные источники опорного напряжения без подогрева. Термостатированные ИМС не имеют особых преимуществ перед обычными источниками ОН кроме температурного коэффициента. Такие параметры, как шум или долговременный дрейф, у них явно отстают от температурной стабильности.

Существуют ИМС обеспечивающие аналогичную температурную стабильность без подогрева кристалла. Кроме этого они меньше шумят и более стабильны во временном плане. Так ИМС REF10KM фирмы Burr Brown имеет температурный коэффициент 10-6/° С. А LT21000 фирмы Linear Technology показывает результат на уровне 0,05 – 0,10/° С. При этом, в соответствии со справочными данными, у нее на порядок лучшие параметры шума и дрейфа по сравнению с термостатированными микросхемами.

3. ИМПУЛЬСНЫЕ ИСТОЧНИКИ ПИТАНИЯ

3.1. Общие сведения

Как уже отмечалось ранее, линейные стабилизированные ИП имеют низкий КПД, значительные габариты и вес. Экономичность линейных стабилизированных ИП (линейных стабилизаторов) оказывается особенно низкой в случае изменения величины выходного напряжения в широких пределах, так как на регулирующем (проходном) транзисторе, работающем в непрерывном режиме и являющимся активным своеобразным гасящим резистором, рассеивается значительная мощность.

Коэффициент полезного действия стабилизаторов повышается, если регулирующий элемент работает в ключевом (импульсном) режиме. При этом за счет увеличения частоты переключения (до 20 – 50 кГц вместо

50 Гц) значительно уменьшаются массы и габариты трансформаторов и конденсаторов фильтра импульсного ИП.

Сравним, например, два источника питания фирмы Power-one: линейный F5-25 (5 В, 25 А) и импульсный SPL130-1005 (5 В, 26 А). Модель F5-25 весит более 7 кг, в то время как вес импульсного ИП равен примерно 1кг. При этом объем модели SPL130-1005 в четыре раза меньше чем объем линейного ИП. Модель SPL130-1005 практически не нагревается, а линейный источник при максимальном выходном токе рассеивает мощность порядка 75 Вт.

Управление регулирующим элементом в импульсных ИП. Не-

смотря на большое разнообразие схем импульсных источников питания, все они разделяются по способу управления регулирующим элементом на две группы: ИП с широтно-импульсной (или частотной модуляцией) и ИП с релейным управлением регулирующим элементом.

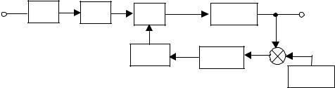
Принцип действия ИП с широтно-импульсной модуляцией (ШИМ) заключается в следующем (рис.3.1):

В

Ф

РЭ

ФВН

Uвых

 

Cеть

 

Uупр

∆U

Uоп

U ~

 

 

МУ

УПТ

 

 

 

ИОН

Рис.3.1. Импульсный источник питания с ШИМ В – выпрямитель;

Ф – низкочастотный сглаживающий фильтр; РЭ – регулирующий элемент; ФВН – формирователь выходного напряжения; МУ – модулирующее устройство; УПТ – усилитель постоянного тока;

ИОН – источник постоянного напряжения.

Выпрямление напряжения питающей сети переменного тока сглаживается фильтром низкой частоты и передается в формирователь выходного напряжения через электронный ключ (регулирующий элемент), в качестве которого в подавляющем большинстве случаев используется транзистор. Выходное напряжение зависит от энергии, передаваемой в ФВН в единицу времени и нагрузки ИП.

Регулирующий элемент осуществляет управление процессом передачи энергии от питающей сети к ФВН. Выходное напряжение Uвых срав-

нивается с опорным напряжением Uоп и сигнал разности ∆U=Uвых-Uоп через УПТ поступает на модулирующее устройство, преобразующее сигнал постоянного тока в импульсы с различной длительностью и постоянным

периодом. Длительность импульсов управляющего напряжения Uупр

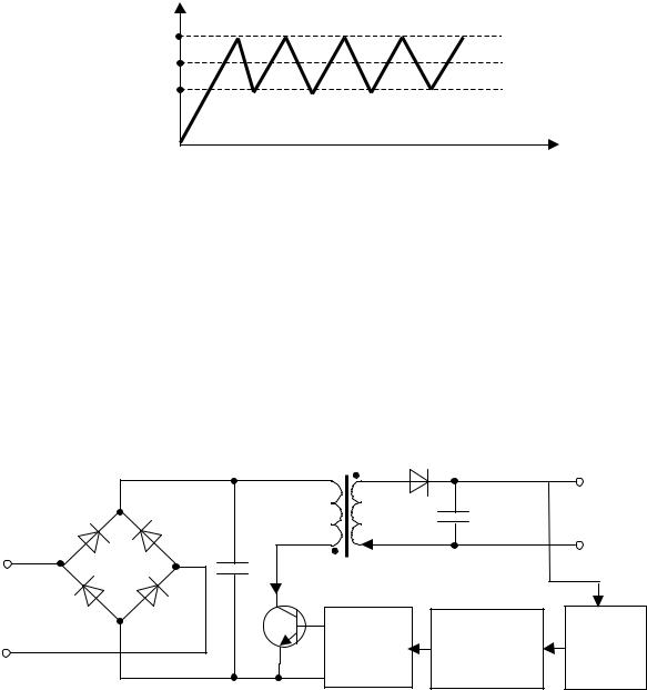
функционально связана с разностью напряжений ∆U. С МУ сигнал поступает на РЭ, который периодически переключается. Таким образом, выходное напряжение ИП зависит, при неизменном периоде, от длительности управляющих импульсов. Процесс широтно-импульсной модуляции поясняется на рис.3.2.

При изменении мощности, отдаваемой ИП в нагрузку, изменяется соотношение длительности импульса tи и периода следования импульсов Uупр. На рис.3.2 показаны диаграммы Uупр для различных значений мощности, отдаваемой в нагрузку Рн: рис.3.2,а соответствует самому малому

значению Рн, рис.3.2,б среднему Рн, рис.3.2,в большему значению Рн. Один из широко используемых способов изменения ширины импульсов поясняется на рис.3.3. Схема управления регулирующим элементом содержит генератор вспомогательного линейно-изменяющегося напряжения

Uлин. Это напряжение сравнивается с Uвых. Независимо от вида вспомогательного напряжения (линейнонарастающее или линейно-спадающее) переключение уровня напряжения Uупр осуществляется в момент времени, когда Uлин = Uвых. Причем в любом случае, когда Uвых<Uлин, формируется сигнал Uупр, открывающий регулирующий элемент. В противном случае (Uвых>Uлин) Uупр = 0 и регулирующий элемент закрыт.

 

T

Uупр

tн

а

t

Uупр

б

t

Uупр

в

t

Рис.3.2. Иллюстрация процесса ШИМ-модуляции

а – tи=0,25Т; б – tи=0,50Т; в – tи=0,75Т.

а

Uвых

Uлин

б

Uвых

 

 

U

 

 

 

вых

Uлин

 

 

Uлин

 

 

 

 

 

 

t

Uупр

 

Т

Uупр

 

 

 

 

 

 

tн

 

 

 

t

Uвых

U

 

лин

 

t

 

Т

 

tн

 

t

Рис.3.3. Временные диаграммы, иллюстрирующие работу ШИМ-модулятора а при линейно-нарастающем вспомогательном напряжении; б при линейно-спадающем вспомогательном напряжении.

 

Rб

VT

 

 

 

 

 

 

 

 

 

 

 

 

 

 

 

 

 

 

Uоп

 

 

 

 

 

 

Uвых

 

 

 

Uупр

 

 

 

 

 

 

 

 

 

 

 

 

 

 

 

 

 

 

 

 

Пороговый

 

 

 

 

 

 

 

 

 

 

 

 

 

 

 

 

 

 

Uвх

 

 

 

 

модулятор

 

 

 

 

 

 

 

 

 

 

Rн

 

 

 

 

 

 

 

 

 

 

 

 

 

 

 

 

 

 

 

 

 

 

C

 

 

 

 

 

 

 

 

 

 

 

 

 

 

 

 

 

 

 

 

 

 

 

+

Рис.3.4. Релейное управление регулирующим элементом.

Упрощенная схема ИП (стабилизатора) с релейным управлением регулирующим элементом представлена на рис.3.4.

Как и в схеме (рис.3.1), регулирующий элемент (транзистор VT) открывается управляющим напряжением Uупр, формируемым модулятором.

Различие заключается в способе формирования Uупр. Для схемы (рис.3.4) процесс формирования управляющих импульсов поясняет рис.3.5. Когда транзистор VT открыт, конденсатор С заряжается через токоограничиваю-

щий (балластный) резистор Rб. Как только напряжение на конденсаторе С

достигнет заданного верхнего значения Uвых.макс, пороговый модулятор запирает регулирующий транзистор и напряжение на конденсаторе С

уменьшается вследствие его разряда через нагрузку (Rн). При уменьшении

Uвых до величины нижнего порога срабатывания Uвых.мин пороговый модулятор открывает регулирующий транзистор, смещая его эмиттерный переход в прямом направлении напряжением Uупр. Частота переключения в

процессе работы меняется зависит прежде всего от Rб, Rн, С и в

∆U=Uвых.макс – Uвых.мин.

Uвых

Uвых макс

Uвых ном

Uвых мин

t

Рис.3.5. Временная диаграмма выходного напряжения схемы на рис.3.4.

Емкость конденсатора С и гистерезис схемы U не должны быть очень малыми во избежание высокой частоты переключения регулирующего транзистора VT, так как с увеличением частоты возрастают потери в регулирующем транзисторе.

Обратноходовые и прямоходовые импульсные ИП. На рис.3.6

представлена упрощенная схема обратноходового преобразователя напряжения питающей сети переменного тока в постоянное выходное напряжение (АС-DC конвертора). Диоды VD1 – VD4 и конденсатор С1 образуют выпрямитель сетевого напряжения.

 

TP

VD5

 

 

 

VD1…VD4

 

+

+

 

I2 С2

Uвых

 

+

 

 

 

 

 

I1

 

 

 

U ~

С1

 

 

 

Сети

 

ШИМ -

Гальвани-

Схема

 

 

 

VT

модуля-

ческая

срав-

 

 

тор

развязка

нения

Рис.3.6. Обратноходовый импульсный источник питания.

Так как понижающий трансформатор отсутствует, конденсатор С1 заряжается до амплитудного значения переменного напряжения сети (220 В·1,4). Поэтому конденсатор С1 должен иметь значение рабочего напряжения не менее 350 – 400 В. Петля обратной связи, по которой сигнал от выхода передается назад на ключевой транзистор, имеет гальваническую развязку (маломощный сигнальный трансформатор или оптопара) для того, чтобы выходная линия постоянного тока не имела эклектической связи с питающей сетью переменного тока.

Работу обратноходового преобразователя поясняет рис.3.7.