МИНИСТЕРСТВО ВЫСШЕГО ОБРАЗОВАНИЯ И НАУКИ РОССИЙСКОЙ ФЕДЕРАЦИИ
ФЕДЕРАЛЬНОЕ ГОСУДАРСТВЕННОЕ БЮДЖЕТНОЕ ОБРАЗОВАТЕЛЬНОЕ УЧРЕЖДЕНИЕ
ВЫСШЕГО ОБРАЗОВАНИЯ
«МАГНИТОГОРСКИЙ ГОСУДАРСТВЕННЫЙ ТЕХНИЧЕСКИЙ УНИВЕРСИТЕТ ИМ. Г.И. НОСОВА»
Кафедра автоматизированного электропривода и мехатроники
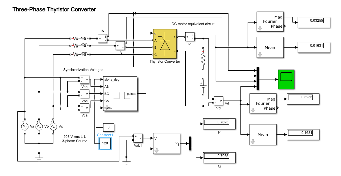
Лабораторная работа № 3
Исследование трехфазной мостовой управляемой
схемы выпрямления
Выполнил:
Проверил:
Магнитогорск, 2020
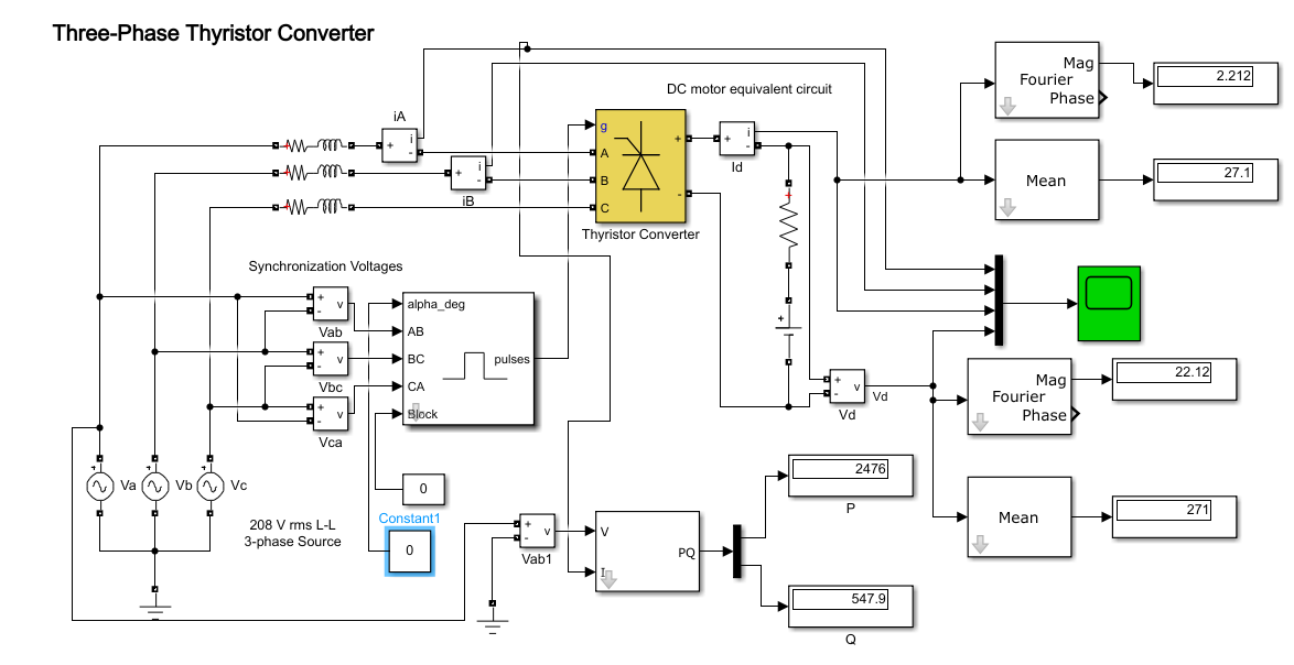
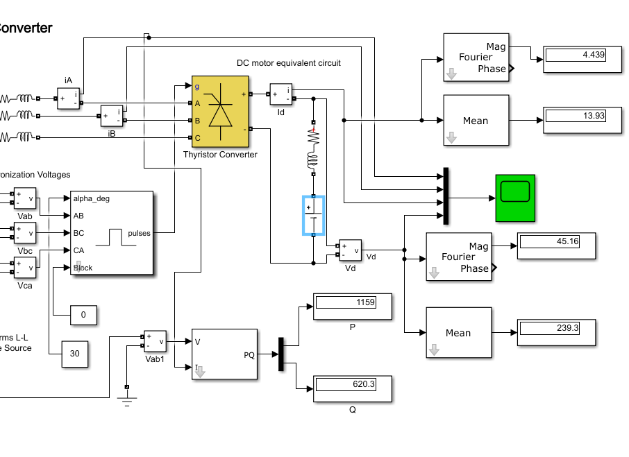
Первый опыт
Снятие регулировочной характеристики при чисто активной нагрузке
;
S=
|
Е,В |
R,Ом |
Ld, Гн |
Первый опыт |
||
|
0 |
10 |
0 |
|||
|
|
α |
||||
|
|
0о |
30 о |
60 о |
90 о |
120 о |
|
P |
2476 |
1925 |
775 |
102,9 |
0,7625 |
|
Q |
547,9 |
1110 |
1057 |
336,7 |
0,7035 |
|
|
|
|
|
|
|
|
S |
2535,896 |
2222,099 |
1310,677 |
352,0729 |
1,037458 |
|
χ |
0,976381 |
0,866298 |
0,591298 |
0,292269 |
0,073497 |
|
Ud |
271 |
236,3 |
138,1 |
36,33 |
0,1631 |

Рисунок 1 – Регулировочная характеристика.

Рисунок 2 – Зависимость коэффициента мощности выпрямителя от угла открытия.
Угол 0о


Работа при угле = 0о (работа неуправляемого выпрямителя). В каждый момент времени ток проводит 1 тиристор катодной группы, у которого U на аноде наиболее положительно, и один анодной группы, у которого U на аноде наиболее отрицательно. Через 2 проводящих тиристора к нагрузке прикладывается линейное напряжение. При чисто активной нагрузке выпрямленное напряжение и ток имеют одинаковую пульсирующую форму. Однако трансформатор, имеет некоторую индуктивность рассеяния фаз, вызванную наличием электромагнитных потоков рассеяния. Наличие индуктивности рассеяния фазы не позволяет току включаемой фазы мгновенно нарастать до установившегося значения, а току выключаемой фазы спадать мгновенно до нуля. Это приводит к тому, что появляются интервалы времени длительностью γ (эл. гр), называемые интервалами коммутации. В результате на интервале коммутации γ в проводящем состоянии одновременно находятся 3 тиристора выпрямителя. Эти тиристоры создают короткозамкнутый контур для вторичной обмотки трансформатора. Коммутационные явления в схеме выпрямителя приводят к возрастанию фазового сдвига потребляемого тока относительно напряжения питающей сети.
Угол 30о


Угол 60о


Угол 90о


Угол 120о

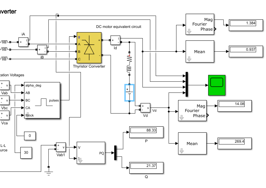
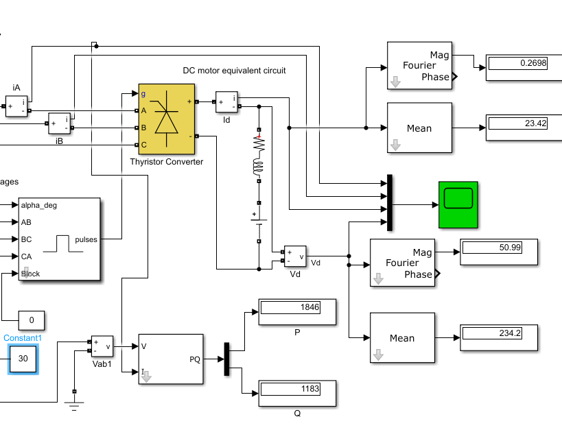
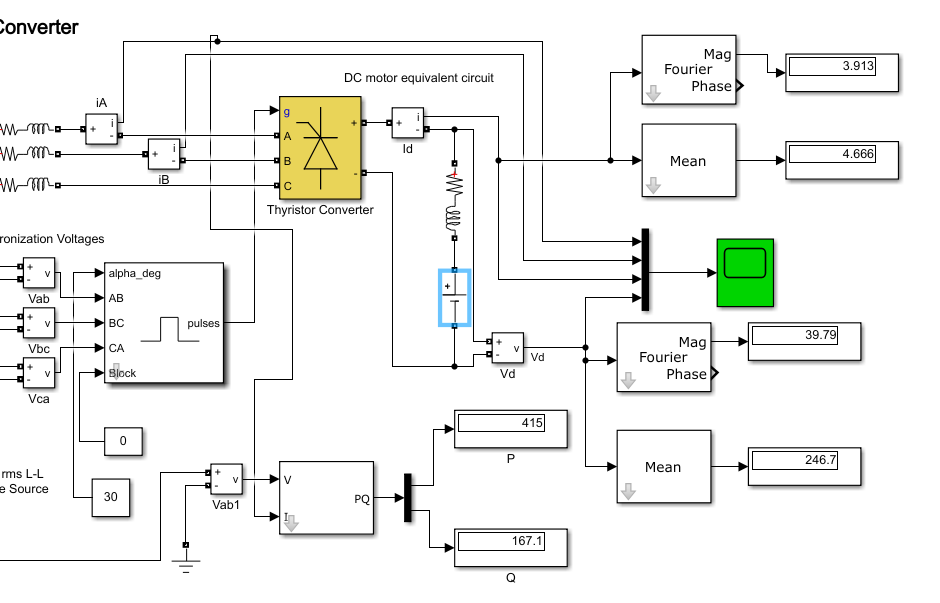
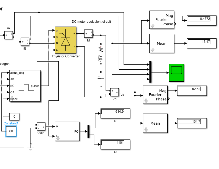
Второй опыт
Снятие регулировочной характеристики при активно-индуктивной нагрузке
|
Е |
R |
Ld |
Второй опыт |
|
|
0 |
10 |
0,1 |
||
|
|
α |
|||
|
|
0 |
30 |
60 |
90 |
|
P |
2461 |
1846 |
614,9 |
3,231 |
|
Q |
567,8 |
1183 |
1101 |
62,42 |
|
|
|
|
|
|
|
S |
2525,652 |
2192,534 |
1261,072 |
62,50357 |
|
χ |
0,974402 |
0,841948 |
0,487601 |
0,051693 |
|
Ud |
270,6 |
234,2 |
134,7 |
6,666 |

Рисунок 3 – Регулировочная характеристика.

Рисунок 4 – Зависимость коэффициента мощности выпрямителя от угла открытия.
Угол 0о

Из-за наличия индуктивности в цепи нагрузки, форма тока и напряжения на нагрузке получается сглаженным. Сглаживающее действие такого фильтра основано на возникновении в дросселе ЭДС самоиндукции, препятствующей изменению выпрямленного ток.
Угол 30о

Угол 60о

Угол 90о

При
изменении угла α
в диапазоне 0 до
переход напряжения ud
с одного линейного напряжения на другое
осуществляется в пределах положительной
полярности участков линейных напряжения.
Поэтому форма кривой напряжения ud
и
его среднее значение одинаковы как при
активной, так и при активно-индуктивной
нагрузках. Регулировочные характеристики
для активной и активно-индуктивной
нагрузки описываются формулой:

При
α ≥
вид кривой ud
зависит от характера нагрузки.
При
активно-индуктивной нагрузке ток id
продолжает протекать через тиристоры
и вторичные обмотки трансформатора
после изменения полярности их линейного
напряжения, в связи, с чем появляются
участки линейных напряжения отрицательной
полярности, при угле регулирования
α=
900)
среднее значение выпрямленного напряжение
будет равняться нулю, т.к. площади
положительного и отрицательного участков
становятся равными.
При
чисто активной нагрузке участки
напряжения отрицательной полярности
отсутствуют и в кривой ud
при α ≥
появляются
нулевые паузы, постоянная составляющая
выпрямленного напряжения, с увеличением
угла уменьшаются до нуля. Это объясняется
тем, что пульсация напряжения с увеличением
угла α повышается, действующее значение
напряжения убывает, и среднее значение
выпрямленного напряжения на интервале
регулирования 120о≥α
≥
находится
из выражения:

среднее
значение выпрямленного напряжения
будет равняться нулю при угле регулирования
равном 120о.

Третий опыт
|
Е |
R |
Ld |
Третий опыт |
|
||
|
0 |
10 |
0,001 |
|
|||
|
|
α |
|
|
|
|
|
|
|
30о |
|
|
|
|
|
|
Епротивоэдс |
280 |
260 |
240 |
220 |
200 |
150 |
|
Ud |
282,1 |
269,4 |
259,6 |
252,1 |
246,7 |
240,9 |
|
Id |
0,2143 |
0,937 |
1,959 |
3,212 |
4,666 |
9,094 |

Рисунок 5 –Зависимость выпрямленного напряжения от тока нагрузки.
Е=100 В - режим непрерывных токов

В этом случае ток нагрузки имеет пульсирующий характер и минимальное значение тока всегда больше нуля. В этом случае при работе на противо- ЭДС ток протекает непрерывно даже в периоды когда мгновенное значение ЭДС ТП становится меньше противо- ЭДС.
Е=220 В - гранично - непрерывных токов

При увеличении противо- ЭДС, снижается электромагнитная мощность в индуктивностях силовой цепи и поэтому пульсирующий ток начинается и заканчивается ненулевым значением.
Е=260 В - режим прерывистого тока


Бестоковые паузы образуются из-за того, что энергия, запасенная в индуктивности Ld на интервале, когда Ud>0 , оказывается недостаточной для обеспечения протекания тока Id в течение половины периода, вентиль, проводящий этот ток, выключится раньше, чем будет подан отпирающий импульс на другой вентиль, т.е. раньше момента, определяемого углом α.
В период бестоковой паузы, U на зажимах преобразователя становится равным противо- ЭДС, это приводит к тому, что среднее значение выпрямленного напряжения становится больше.
Четвертый опыт
Инверторный режим
|
Е |
R |
Ld |
Четвертый опыт |
|
|
|
|||||||||||
|
0 |
10 |
0,001 |
|
|
|
||||||||||||
|
α |
|
|
|
|
|
|
|
||||||||||
|
1200 |
|
|
|
|
|
|
|
||||||||||
|
Е |
-250 |
-220 |
-200 |
-180 |
-150 |
-100 |
-80 |
-50 |
|||||||||
|
Ud |
142,6 |
139,2 |
134,2 |
127,5 |
114,4 |
84,93 |
70,64 |
46,54 |
|||||||||
|
Id |
-10,74 |
-8,082 |
-6,576 |
-5,247 |
-3,561 |
-1,507 |
-0,936 |
-0,3461 |
|||||||||