Материал: Исследование температурной зависимости свойств преобразователя оптического излучения

Внимание! Если размещение файла нарушает Ваши авторские права, то обязательно сообщите нам

Исследование температурной зависимости свойств преобразователя оптического излучения














Дипломная работа

Исследование температурной зависимости свойств преобразователя оптического излучения

РЕФЕРАТ

оптический излучение преобразователь прибор

ПРЕОБРАЗОВАТЕЛЬ ОПТИЧЕСКОГО ИЗЛУЧЕНИЯ, ПИД-РЕГУЛЯТОР ОВЕН ТРМ101, ТЕМПЕРАТУРНАЯ ЗАВИСИМОСТЬ, НИОБАТ ЛИТИЯ, ТЕПЛОВАЯ РАССТРОЙКА, ТЕПЛОВАЯ САМОФОКУСИРОВКА, ОПТИМАЛЬНЫЙ НАГРЕВ.

Объектом исследования данной дипломной работы являются оптические свойства преобразователей оптического излучения при разных температурах.

Целью дипломной работы является изучение температурной зависимости оптических свойств преобразователей оптического излучения.

В результате выполнения дипломной работы было произведено изучение оптических свойств преобразователей оптического излучения, при различных температурах и выведены зависимости этих показателей от температуры образца. Также, в связи с возникшими сложностями, при попытках нагревания кристалла было произведено изучение возможностей прибора для нагревания кристаллов, собранного на базе ПИД-регулятора ОВЕН ТРМ101, и произведена настройка прибора, написана инструкция по пользованию им, для возможности его использования студентами в дальнейшем.

ВВЕДЕНИЕ

Люминесцентные параметры кристаллов, зависят от их температуры, и для получения более полных знаний необходимо проводить исследования при различных температурах. Для исследований было выбрано две «температурные группы»:

.        От температуры кипения азота, до комнатной температуры.

.        От комнатной температуры и до температур плавления самих кристаллов.

Как то надо начать, но настройкой прибора до этого никто не занимался, поэтому сначала была поставлена приоритетная задача: изучить возможности прибора, а также составить подробную инструкцию для использования прибора студентами в дальнейшем. При этом прибор необходимо было настроить так, чтобы он удовлетворял следующим требованиям:

.        Наиболее оптимальное время нагрева (максимально быстрое, но при этом не разрушающее сам кристалл)

.        Поддерживание необходимой температуры нагрева в пределах ±1оС

.        Минимальное количество параметров, которые надо изменять для нормальной работы прибора.

Таким образом, целью дипломной работы так же была настройка рабочего стенда, для изучения температурных зависимостей оптических свойств кристаллов, в том числе ниобата лития, и испытание данного прибора во время измерений.

1      
Тепловая настройка, тепловой синхронизм

В процессе генерации второй гармоники в нелинейном кристалле происходит некоторое поглощение энергии основного излучения и второй гармоники, и, как следствие, нагрев нелинейного кристалла. Он играет существенную роль при относительно больших (больше 1Вт) средних мощностях излучения, реализуемых в импульсных лазерах периодического действия (частота повторения импульсов f= 10-103 Гц), квазинепрервных (f=10-103 кГц) и непрерывных лазерах. Нагрев кристалл, как правило, пространственно неоднороден, что затрудняет, а зачастую и принципиально не позволяет скомпенсировать тепловые эффекты.

1.1    Нелинейная тепловая расстройка, нелинейная тепловая рефракция

В стационарном тепловом режиме световой пучок распространяется в слабопоглощающей среде самосогласованно. Это означает, что характеристики среды в известной мере определяются самим пучком, так что можно говорить о самовоздействий светового пучка. В связи с этим используется термин «тепловые самовоздействия».

В основе тепловых самовоздействий лежит возникновение в нелинейном кристалле неоднородного температурного поля вследствие поглощения излучения. Неоднородный нагрев кристалла приводит, в свою очередь, к изменению показателей преломления волн основного излучения и второй гармоники. Полное приращение ∆n для каждого показателя преломления складывается из двух членов:

 1

Здесь ∆nт - приращение, связанное со свободным равномерным нагревом кристалла, а ∆n’ - приращение, обусловленное термоупругими напряжениями, возникающими из-за неоднородного характера нагрева.

Пространственно-неоднородное распределение значений показателей преломления обуславливает два побочных нелинейных эффекта, влияющих на эффективность генерации второй гармоники. Во-первых, возникает пространственно-неоднородное дисперсионное двулучепреломление B, а, следовательно, и неоднородная по сечению пучка фазовая расстройка ∆k, что существенно ограничивает эффективность преобразования. Во-вторых, наблюдается эффект нелинейной рефракции (преломления). Иначе говоря, в кристалле возникает тепловая линза, приводящая к тепловой самофокусировке или самодефокусировке излучения.

Первый из указанных эффектов (возникновение нелинейной тепловой расстройки) проявляется заметно раньше второго. При рассмотрении тепловых самовоздействий вводят радиус тепловой самофокусировки Rнел, который можно интерпретировать как фокусное расстояние тепловой линзы. При Rнел>>l эффект нелинейной рефракции на длине кристалла l не проявляется. При этом, однако, необходимо учитывать возникновение нелинейной тепловой расстройки.

Фактически указанные эффекты имеют общее происхождение. В результате возникновения неоднородного температурного поля (с учетом вклада термоупругих напряжений) фазовый фронт световой искривляется. Если на длине кристалла амплитудный профиль волны не успевает претерпеть заметных изменений, то наблюдается только тепловая расстройка. В этом случае фокальная точка для искривленного фронта лежит далеко за пределами кристалла (Rнел>>l), и нелинейной рефракцией можно пренебречь. Говорят, что в рассматриваемом случае имеет место внешняя тепловая самофокусировка. Если же Rнел ≤ l, то фокальная точка попадает внутрь кристалла. То в таком случае имеет место внутренняя тепловая фокусировка. Тогда амплитудный профиль успевает заметно измениться на длине кристалла, что приводит к необходимости учета как тепловой расстройки, так и к нелинейной рефракции[3].

Далее ограничимся лишь рассмотрением случая внешней самофокусировки и, следовательно, будем пренебрегать нелинейной рефракцией.

1.2    Основные допущения

Будем рассматривать аксионально-симметричную задачу. Предположим, что нелинейный кристалл представляет собой цилиндр длинныlи радиуса r0, при этом r0<<l, а усредненная по времени плотность мощности основного излучения на выходе кристалла имеет вид:

 (2)

Для импульсного или квазинепрерывного режима усредненная плотность мощности S1(r,z) выражается через мгновенную плотность мощности S1(r,z,t) следующим образом:

 (3)

Где f - частота повторения импульсов.

Тепловую картину в кристалле условимся полагать стационарной (будем использовать стационарное уравнение теплопроводности). Для непрерывных лазеров это условие не вызывает возражений. В случае импульсных лазеров периодического действия достаточно потребовать, чтобы выполнялось неравенство:

 (4)

Где τт - характерное время установления теплового режима. Так, при ρ0=0,1см можно принять τт≈1с; в этом случае тепловую картину можно полагать стационарной при f>10 Гц.

Будем считать, что теплообмен кристалла с окружающей средой (термостатом) осуществляется только через боковую поверхность. При r0<<lможно пренебречь краевыми эффектами в сечениях z=0 и z=l. Наконец, будем пренебрегать дифракцией, апертурными эффектами и термоупругими напряжениями, а также влиянием способа крепления нелинейного кристалла в лазере с преобразованием частоты [7].

1.3    Критическая мощность самофокусировки

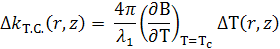
Температуру T(r,z) в некоторой точке (r,z) кристалла представим в виде

 (5)

Здесь T(r0,z) - температура боковой поверхности кристалла, ∆T(r,z) - пространственно неоднородная «добавка», обусловленная поглощением излучения в кристалле; ∆T(r0,z)=0.

Рисунок 1 - Зависимость температуры от расстояния до центра пучка лазера

Функция T(r,z) для некоторого фиксированного значения z показана на рис.1; T0 - температура термостата, Тс - температура синхронизма (для данной ориентации кристалла и данных значений λ1 и θс). Благодаря внутренним источникам тепловыделения температура внутри кристалла тем выше, чем меньше r. Обратим внимание на наличие скачка температуры при переходе через боковую поверхность кристалла. В результате возникает тепловой поток в направлении от кристалла к термостату. В отсутствие этого потока говорят об идеальном тепловом контакте на границе кристалл-термостат.

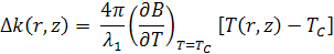
Волновая расстройка ∆k(r,z), обусловленная отличием T(r,z) от Tc, может быть представлена в виде:

 (6)

С учетом (5) перепишем это равенство следующим образом:

 (7)

Где

 (8)

расстройка, связанная с отличием температуры боковой поверхности кристалла (в сечении z) от температуры синхронизма,

 (9)

дополнительная расстройка, обусловленная тепловыми самовоздействиями, или тепловая расстройка.

Используя (9), найдем полуширину ∆Т температурной кривой синхронизма. Функция


Равна половине своего максимального значения при ∆kт.с.=π/l. Подставляя в это равенство результат (9), находим искомую полуширину:

 (10)

Введем критическую мощность тепловой самофокусировки:

 (11)

где ϰ - коэффициент теплопроводности. Если средняя входная мощность основного излучения больше Pкр, то фазовый фронт волны существенно искажается вследствие тепловых самовоздействий.

Используя (11), перепишем (10) в виде

 (12)

При Pкр=10-2 Вт, ϰ=1,3*10-2 Вт/см*К, l=4 см получаем ∆Т≈0,2 К. Приведенные оценки характерны для кристалла ADP. Многие высокоэффективные кристаллы, например КТР, характеризуются значительно более высокими ∆Т, достигающими единиц и даже десятков градусов. В этом случае влиянием тепловых самовоздействий можно пренебречь[2].

С учетом (11) соотношения (8) и (9) преобразуются к виду

 (8а)

 (9а)

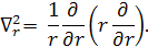
1.4    Уравнение теплопроводности

Запишем уравнение теплопроводности в виде:

 (13)



Это и есть стационарное уравнение теплопроводности для аксиально-симметричного тела с внутренними источниками тепловыделения. Последние описываются слагаемыми 2δiSi(r,z), где S1(r,z) и S2(r,z) - усредненные по времени плотности мощности основного излучения и второй гармоники соответственно.

Используя (9а), преобразуем уравнение (13) к виду

 (14)

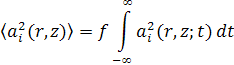
Вводя усредненные по времени квадраты вещественных амплитуд:


перепишем (14) следующим образом:

 (15)

или

 (16)

где ρ=r/ρ0.

При рассмотрении уравнения теплопроводности используют условия разного типа. Граничные условия первого рода предполагают задание определенных значений температур на поверхности тела. Граничные условия второго рода задают на поверхности тела производную от температур по нормали к поверхности, иначе говоря, задают плотность теплового потока через поверхность. Граничные условия третьего рода предполагают, что тепловой поток через поверхность тела пропорционален разности температур поверхности и термостата; при этом задается коэффициент пропорциональности, его называют коэффициентом теплоотдачи.

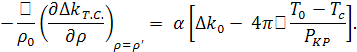
Граничные условия третьего рода в рассматриваемом здесь случае могут быть записаны соотношением:

 (17)

где α - коэффициент теплоотдачи, ρ’= r0/ρ0. С учетом (8а) и (9а) преобразуем (17) к виду:


Это выражение можно переписать следующим образом:

 (18)

где

 (19)

 (20)

Безразмерный параметр Bi (параметр Био) характеризует степень теплового контакта на границе кристалл-термостат. При Bi→∞ тепловой контакт приближается к идеальному, что адекватно отсутствию теплового потока через боковую поверхность кристалла. В этом случае граничное условие (18) может быть заменено условием первого рода (задана постоянная температура поверхности кристалла).

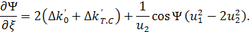
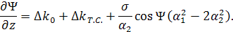
Исходя из системы укороченных уравнений для вещественных амплитуд α1(z) и α2(z) и обобщенной фазы Ψ(z):


Полагая σ1=σ2=σ и учитывая (7), перепишем эту систему в виде:

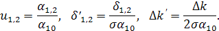
 (21)

Введем вместо z переменную ξ=zσa10, где α10 - вещественная амплитуда волны основного излучения на входе кристалла на оси пучка в максимуме импульса. Кроме того, введем обозначения:

                                 (22)

В результате система уравнений (21) примет следующий вид:

                          (23)

Генерация второй гармоники с учетом тепловых самовоздействий может быть рассмотрена на основе решения систем укороченных уравнений (23) совместно с уравнением теплопроводности (16). Таким образом, надо решать следующую систему уравнений относительно функции u1,2(ρ,ξ,t), Ψ(ρ,ξ), ∆k’т.с.(ρ,ξ):