Материал: Исследование статистической зависимости изменения свойств коллектора и пластовых флюидов в результате разработки нефтяных месторождений

Внимание! Если размещение файла нарушает Ваши авторские права, то обязательно сообщите нам

Исследование статистической зависимости изменения свойств коллектора и пластовых флюидов в результате разработки нефтяных месторождений

ГОСУДАРСТВЕННОЕ ОБРАЗОВАТЕЛЬНОЕ УЧРЕЖДЕНИЕ

ВЫСШЕГО ПРОФЕССИОНАЛЬНОГО ОБРАЗОВАНИЯ МОСКОВСКОЙ ОБЛАСТИ

Международный университет природы, общества и человека «Дубна»

Факультет ЕиИН

Кафедра прикладной математики и информатики







КУРСОВАЯ РАБОТА

ПО «Теории вероятности и математической статистике»

ТЕМА: Исследование статистической зависимости изменения свойств коллектора и пластовых флюидов в результате разработки нефтяных месторождений

Выполнил: Иноземцева Н. Г.




Дубна 2012 г.

Содержание

Введение

Исходные данные и их обработка

Корреляционная таблица

Гистограммы для признаков X и Y

Полигоны для признаков X и Y

Эмпирические функции для признаков X и Y

Линейная регрессия

Параболическая регрессия

Проверка гипотезы о нормальном распределении признака Х

Метод доверительных интервалов

Заключение

Список литературы

Введение


В данной курсовой работе проводится исследование статистической зависимости изменения свойств коллектора и пластовых флюидов в результате разработки нефтяных месторождений.

Изменения свойств коллектора и пластовых флюидов в результате разработки нефтяных месторождений, для объектов, находящихся в длительной и поздней стадии разработки, полно изучены и освещены в научно-технической литературе. Они вызваны изменением ФЕС(фотоэлектрическое сопротивление) пористой среды под воздействием различных термодинамических процессов, связанных с применением химических реагентов в различных технологических схемах, закачкой пресных и сточных вод, с нестационарностью изменения давления в пористых средах. Так наибольшее влияние на характеристику ФЕС могут оказывать нарушение равновесия минерального состава вод, отложение солей в порах, набухание глинистых включений, размыв и перенос цемента и зерен коллектора фильтруемой жидкостью, изменение температуры пласта при закачке холодной воды, разгазирование нефти, химические реакции и др. Исследование и оценка данных негативных явлений представляет значительную актуальность, так как термодинамические процессы, происходящие на единичных месторождениях, индивидуальны и существенно влияют на состояние разработки, хотя они имеют общую закономерность их возникновения в отдельных направлениях техногенного воздействия и для других месторождений, разделенных по признакам их протекания на обратимые и необратимые.

Наибольшее влияние на характеристики ФЕС оказывают изменение температуры и давления в пласте, приводящее к нарушению термодинамического равновесия насыщающих коллекторов флюидами, в результате которого происходит выпадение твердой фазы, асфальтено-смоло-парафиновых отложений (АСПО) из нефти, усиливаются процессы переноса данных частиц, способствуют протеканию сорбции, суффозии. Обобщая все виды техногенных изменений ФЕС, отметим, что они напрямую связаны с изменением коэффициента извлечения нефти (КИН), влиянием на численные значения остаточных запасов нефти и эффективность доразработки нефтяного месторождения.

Цель и задачи курсовой работы.

Исследование влияния техногенного воздействия на структуру порового пространства, фильтрационно-емкостные свойства нефтенасыщенных коллекторов и на коэффициент извлечения нефти.

Постановка задачи.

. Подобрать пример объекта, для которого Xi , Yi могли бы быть значениями двух признаков, связанных статистической зависимостью. Дать теоретическое обоснование.

. Построить диаграмму рассеивания. Вычислить выборочные параметры: выборочные средние, выборочные и исправленные дисперсии, средние квадратические отклонения, моды и медианы выборки по X и по Y , корреляционный момент и коэффициент корреляции (по несгруппированной выборке).

. Построить корреляционную таблицу (7 на 7). Построить полигоны, гистограммы нормированных относительных частот, эмпирические функции распределения по X и по Y, вычислить выборочные параметры (см. п.2) по корреляционной таблице (по сгруппированной выборке).

. Вычислить параметры для уравнения линейной регрессии Y на X , построить линию регрессии на диаграмме рассеивания.

. Вычислить параметры для уравнения параболической регрессии, построить найденную параболу на диаграмме рассеивания.

. Проверить гипотезу о нормальном распределении признака Х.

. Построить доверительный интервал для математического ожидания по Х.

Исходные данные и их обработка


Нам дана выборка (объемом n = 100) зависимости числа Y от числа X

Таблица 1. Исходные данные


Построим диаграмму рассеивания (см. рисунок 1):

Рис. 1 Диаграмма рассеивания

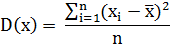
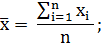
Найдем выборочные параметры:

По X:

ü  выборочное среднее:


5,49753;

ü  выборочную дисперсию:

*(x) = 8,658877;

ü  исправленную дисперсию:

(x) = 8,746341;

ü  среднеквадратичное отклонение:


σ*(x) = 2,942597;

ü  оценку среднеквадратичного отклонения:

, s* (x) = 2,957421;

По аналогии найдём и для Y:

ü  выборочное среднее: 11,8293;

ü  выборочную дисперсию: 35,07875;

ü  исправленную дисперсию: 35,43308;

ü  среднеквадратичное отклонение: 5,922732;

ü  оценку среднеквадратичного отклонения: 5,952569;

ü  Найдем корреляционный момент:


=17,217096;

ü  Найдем выборочный коэффициент корреляции:

= 0,987887.

Найдем также моду и медиану для X и Y.

 9,93,  17,3.

Медианой называется такое значение варьирующего признака, которое приходится на середину упорядоченного ряда:

 5,825, 13.

коллектор рассеивание корреляционный доверительный

Корреляционная таблица


Разобьем значения X и Y на 7 интервалов (см. табл. 2, табл. 3) и построим корреляционную таблицу (см. табл. 4).

Таблица 2. Интервалы разбиения Х

Интервалы разбиения Х

0,006 - 1,428

1,428 - 2,85

2,85 - 4,272

4,272 - 5,694

5,694 - 7,116

7,116 - 8,538

8,538 - 9,96

Представитель интервала

0,717

2,139

3,561

4,983

6,405

7,827

9,249


Таблица 3. Интервалы разбиения Y

Интервалы разбиения Y

-0,640 -2,465714

2,46571 -5,57142

5,57142 -8,677142

8,6771428 -11,782857

11,782857 -14,888571

14,888571 -17,994285

Представитель интервала

0,913

4,019

7,124

10,230

13,336

16,441


Таблица 4. Корреляционная таблица

Y/X

0,717

2,139

3,561

4,983

6,405

7,827

9,249

Ny

0,913

8

0

0

0

0

0

0

8

4,019

2

7

1

0

0

0

0

10

7,124

1

6

8

1

0

0

16

10,230

0

0

3

9

0

0

0

12

13,336

0

0

0

3

13

1

0

17

16,441

0

0

0

0

4

12

1

17

19,547

0

0

0

0

0

0

20

20

Nx

11

13

12

13

17

13

21

100


С помощью метода произведений найдём условные моменты различных порядков вариационного ряда с равноотстоящими вариантами. Зная же условные моменты, нетрудно найти интересующие нас выборочную среднюю и выборочную дисперсию.

Для этого понадобится расчётная таблица, которая составляется так:

)        В первый столбец таблицы записывают выборочные варианты, располагая их в возрастающем порядке;

)        во второй столбец записывают все частоты вариант и объём выборки n записывают в нижнюю клетку столбца;

)        в третий столбец записывают условные варианты  причем в качестве ложного нуля C выбирают варианту, которая расположена примерно в середине вариационного ряда, и полагают h равным разности между любыми двумя соседними вариантами; практически третий столбец заполняют так: в клетке строки, содержащей выбранный ложный куль, пишут 0; в клетках над нулём пишут последовательно -1,-2,-3 и т.д.

)        умножают частоты на условные варианты и записывают их произведения  в четвёртый столбец; сложив все полученные числа, их сумму  помещают в нижнюю клетку столбца;

)        умножают частоты на квадраты условных вариант и записывают их произведения  в пятый столбец; сложив все полученные числа, их сумму  помещают в нижнюю клетку столбца;

)        Умножают частоты на квадраты условных вариант, увеличенных каждая на единицу, и записывают произведения  в шестой столбец; сложив все полученные числа, их сумму  помещают в нижнюю клетку столбца. После того как расчётная таблица заполнена вычисляют условные моменты, выборочные среднюю и дисперсию по формулам:

.

,

,

ü  исправленную дисперсию -

;

8,34875;

ü  среднеквадратичное отклонение -

;

2,874938;

ü  оценку среднеквадратичного отклонения -

;

2,88942.

Найдем так же оценки для Y.

ü  Выборочное среднее :

ü  выборочную дисперсию :

35,397553

ü  исправленную дисперсию -

;

ü  35,755104;

ü  среднеквадратичное отклонение -

;

5,949584;

ü  оценку среднеквадратичного отклонения -

;

5,979557.

ü  Выборочный корреляционный момент:

;

= 17,217096;

ü  Выборочный коэффициент корреляции :

;

= 0,987887;

ü  Мода по сгруппированной выборке:


где  - нижняя граница модального интервала; h - ширина интервала группировки; - частота модального интервала; - частота интервала, предшествующего модальному; - частота интервала, последующего за модальным.

(x) =9,93

ü  Медиана по сгруппированной выборке:

Медианным будет тот интервал, в котором накопленная частота впервые окажется больше n/2 (n - объем выборки) или накопленная относительная частота - больше 0,5 и медиана определяется по следующей формуле:

+ ;

где  - нижняя граница медианного интервала; 0,5n - половина объема выборки;

 - ширина медианного интервала; - накопленная частота интервала, предшествующего медианному,;  - частота медианного интервала.

5,825.

Гистограммы для признаков X и Y

Рис. 2 Гистограмма нормированных относительных частот по Y