ПЛАН
Електромагнітні хвилі. Рівняння Максвела.
Інтерференція світла. Принцип Гюйгенса.
Дифракція світла. Принцип Гюйгенса – Френеля.
Поляризація світла.
Дисперсія і поглинання світла.
Розсіяння світла.
Джерелом
електростатичного
поля є електричні заряди. Це поле є
потенціальним (
),
його силові лінії не замкнуті, а
починаються на позитивному заряді і
закінчуються на негативному заряді.
Але
існують електричні поля, що народжуються
змінним магнітним полем, це вихрові
електричні
поля, їх силові лінії замкнуті (
).
Циркуляція вектора напруженості по
довільному замкнутому контуру не
дорівнює нулю, а дорівнює швидкості
зміни магнітного потоку, яка пронизує
довільну поверхню, що спирається на
контур інтегрування. Такі вихрові
електричні поля зумовлюють неперервний
рух електричних зарядів уздовж замкнутих
провідників, вміщених в це поле і є
причиною виникнення індукційних струмів.
Максвел
висунув гіпотезу: „ Всяке
змінне в часі магнітне поле збуджує в
оточуючому просторі вихрове електричне
поле”.
.
Електромагнітне поле – форма матерії, через яку здійснюється взаємодія між електричними зарядженими частинками.
Електромагнітне
поле може існувати і вільно, незалежно
від джерел, які його створили, у вигляді
електромагнітних хвиль, що розповсюджуються
в просторі із швидкістю
.
У вакуумі електромагнітне поле
характеризується векторами напруженості
електричного поля
і магнітної індукції
.
Цими векторами визначають сили, які
діють з боку електромагнітного поля на
рухомі і нерухомі електричні заряди.
Для середовища такими характеристиками
є вектор індукції електричного поля
і вектор напруженості магнітного поля
.
Вихрове
електричне поле збуджується змінним
магнітним полем
.
Змінне електричне поле народжує змінне
магнітне поле
.
(Це
інтегральний запис рівнянь Максвела).
Рівняння
Максвела можна записати в диференціальному
запису:
або

Рівняння
електромагнітної хвилі:
,
де хвильове число
.
Швидкість поширення електромагнітних
хвиль у вакуумі
,
а в середовищі
.
Багатьма дослідами було доведено, що око людини, тварин, фотопластинка та інші прилади, які реєструють світло, сприймають електричну складову електромагнітної хвилі – коливання вектора електричної напруженості в електромагнітній хвилі.
Закон
Максвела:
.
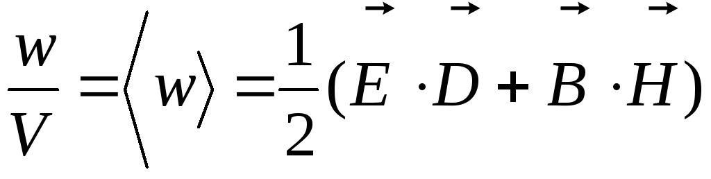
Електромагнітна
хвиля переносить енергію,
об’ємну густину якої можна знайти за
формулою:
![]()
Модуль
вектора Умова – Пойтинга
визначає
потік електромагнітної енергії за
одиницю часу крізь одиницю поверхні
перпендикулярно до напряму поширення
енергії.
.
Енергія електромагнітних хвиль в
однорідному ізотропному середовищі
переноситься у напрямі їх поширення зі
швидкістю поширення хвиль в цьому
середовищі.
Якщо по провіднику тече змінний струм, напрям вектора Умова – Пойтинга не змінюється.
Вектор Умова – Пойтинга визначає коефіцієнт відбивання і заломлення середовища для електромагнітних хвиль, тиск.
Запишіть рівняння електромагнітної хвилі.
Як впливає значення діелектричної проникності середовища на величину швидкості поширення електромагнітної хвилі в даному середовищі?
Як впливає на швидкість поширення електромагнітної хвилі в середовище значення його магнітної проникності?
Які властивості має електромагнітна хвиля?
Який існує взаємозв’язок між вихровими електричними і магнітними полями?
Максвел довів, що світло являє собою розповсюдження у просторі електромагнітних хвиль певної частоти, тому світлові хвилі повинні підпорядковуватися загальним законам, які описують хвильові процеси (інтерференція, дифракція, дисперсія....)
Інтерференція – процес додавання двох або декількох коливань, в наслідок якого у просторі можуть виникати стійкі значення величини амплітуди складного коливання ( стійкі максимуми або мінімуми освітленості).
Існування інтерференції пояснюється принципом суперпозиції. Принцип суперпозиції дає можливість із декількох описаних монохроматичних коливань описати характеристики складного коливального процесу, і, навпаки, складні коливання розкласти на окремі монохроматичні.
Монохроматичні хвилі – хвилі однієї і тієї ж самої циклічної частоти.
Фаза
плоскої монохроматичної біжучої хвилі
.
Загальною умовою спостереження стійкої інтерференційної картини є наявність когерентних хвиль (монохроматичних хвиль, що мають сталу різницю фаз).
Мінімальний
час, при якому не відбувається значної
зміни інтерференційної картини, називають
часом
когерентності.
![]()
З
поняттям часу когерентності зв’язане
поняття довжини
когерентності
(відстань, на яку поширюється світлова
хвиля за час когерентності, тобто
відстань, на якій випадкова зміна фази
істотно менша від π).
Тільки
в інтервалах відстаней цього порядку
спостерігається більш – менш стійка
інтерференційна картина.
У наш час створені штучні джерела монохроматичного і когерентного випромінювання – мазери і лазери.


Для
утворення когерентних світлових хвиль
природного походження необхідно пучок
природного світла розділити на два або
більшу кількість променів, а потім знову
їх звести до купи. В результаті цього
між пучками світла виникне певна різниця
ходу
,
яка пов’язана з різницею фаз
.
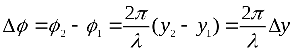
Різницею
ходів хвиль
називають величину
.
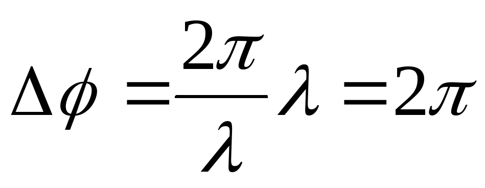
Якщо
,
то
,
тобто довжиною
хвилі
є відстань між двома сусідніми точками,
різниця фаз коливань між якими дорівнює
2π.
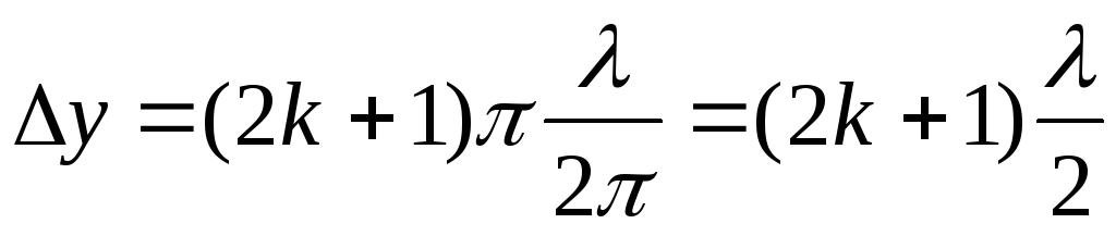
Для
утворення максимума
,
різниця хода променів
.
Для
утворення мінімума
,
різниця ходу променів
.

Методи
спостереження інтерференції:
дослід Юнга, біпризма Френеля, бідзеркала
Френеля, дзеркало Ллойда, інтерференція
світла при відбиванні від тонких пластин
або плівок, кільця Ньютона ( радіус к
– го темного кільця визначається
,
де R
– радіус кривини лінзи).
При
інтерференції світла при відбиванні
від тонких пластин або плівок різниця
хода хвиль, що утворилася між променями
в результаті відбивання їх від сторін
пластинки визначається
.
Якщо
кут падіння α на пластинку дорівнює
нулю або дуже малий, то різниця ходу
променів
.
Шириною
інтерференційної смуги називають
відстань між двома сусідніми мінімумами
освітленості:
,
де l
–
відстань між когерентними джерелами
світла,
L
– відстань
від джерел світла до екрану.
Променем
називають напрямок, уздовж якого
поширюється енергія хвилі.
Фронт хвилі – це хвильова поверхня, найбільш віддалена від джерела хвиль (сукупність точок, куди на даний момент часу встигла поширитися хвиля).
Принцип Гюйгенса: кожна точка фронту хвилі є джерелом елементарних сферичних хвиль, обвідна яких визначає положення фронту хвилі у наступні моменти часу.
Інтерференцію застосовують для дослідження точності виготовлення поверхонь, вимірювання невеликих кутів між поверхнями, у просвітленні оптики, за допомогою інтерферометрів контролюють форму лінз, якість скла, для точного вимірювання показника заломлення світла в речовинах, визначення швидкості світла у вакуумі.
Дайте визначення монохроматичної і когерентної хвилі?
Дайте визначення явищу інтерференції. За яких умов воно відбувається?
За якої умови можна спостерігати в даній точці середовища посилення інтенсивності світла? послаблення інтенсивності світла?
Сформулюйте принцип Гюйгенса.
Яке практичне використання має явище інтерференції?
Дифракція світла – оптичне явище, пов’язане із зміною напряму поширення світлових хвиль (порівняно з напрямом, передбаченим геометричною оптикою) та з просторовим перерозподілом їх інтенсивності під впливом перешкод і неоднорідностей середовища на їхньому шляху.
У 1815 р. О.Френель доповнив принцип Гюйгенса твердженням про те, що вторинні джерела когерентні між собою і інтерферують.
Принцип Гюйгенса – Френеля: кожна точка середовища, до якої дійшло хвильове збурення є джерелом вторинних сферичних хвиль, які інтерферують між собою. Фронт хвилі в наступну мить визначається як огинаюча поверхня цих елементарних хвиль.
Дифракційні явища за своїм характером поділяються на два великих класи, а саме: дифракційні явища Френеля і дифракційні явища Фраунгофера, в залежності від співвідношення відстаней від перешкоди до джерела і від перешкоди до екрана. Між дифракцією Фраунгофера і Френеля не існує принципової різниці і різкої межі.
Дифракцію
Френеля
спостерігають, якщо відстань від
перешкоди до джерела і відстань від
перешкоди до екрана не дуже великі
(дифракція в непаралельних променях).
Дифракцію Френеля спостерігають на
круглому отворі, на круглому екрані, на
краю напівобмеженого плоского екрану.
Дифракція Фраунгофера – дифракція світла, що спостерігається на таких відстанях, для яких кутові розміри оптичних неоднорідностей набагато менші ніж відношення довжини світлової хвилі до лінійних розмірів цих неоднорідностей (дифракція в паралельних променях).
Дифракційні явища Фраунгофера мають в оптиці більш практичне значення. Основне завдання у вивченні цієї дифракції полягає в знаходженні розподілу інтенсивності на екрані спостереження дифракційної картини залежно від кута дифракції. Найбільш практичне застосування мають дифракції плоскої хвилі від прямокутного і круглого отворів.
Дифракційна гратка – пристрій, що має велику кількість однакових паралельних щілин, розміщених на рівних відстанях одна від одної в одній або різних площинах. Якщо вони розміщені в одній площині, то гратка називається плоскою. На скляних дифракційних гратках спостереження можна проводити в прохідному та у відбитому світлі, а на металевих – тільки у відбитому.
Дифракційна гратка в загальному вигляді – це будь – яка структура, що має просторову періодичність. Коли періодичність структури проявляється в одному напрямі, то гратка називається лінійною, якщо у двох або в трьох напрямах – відповідно двовимірними, тривимірними.
Умовою
спостереження дифракційного максимума
є
.
(Формула Вульфа – Брегга).
Здатність гратки розкладати світло у спектр ґрунтується на тому, що максимумами навіть одного і того самого порядку для різних довжин хвиль розміщені в різних місцях, тому гратку використовують в спектральних приладах.
Фазові гратки можуть бути як пропускні так і відбивні.
Явище дифракції накладає обмеження на значення роздільних здатностей оптичних приладів, використовується в принципі одержання голограм.
Голографія ґрунтується на основних законах інтерференції і дифракції. Голографію використовують для запису та збереження хвильових процесів, в дефектоскопії, при вивчені рельєфу морського дна, звуколокації, пошуках корисних копалин, дослідження структури земної кори, для дослідження процесів, що відбуваються при великих швидкостях, в образотворчому мистецтві, в медицині, рентгенівській та ультразвуковій дефектоскопії.