Российский кардиологический журнал № 8 (112) | 2014
|
|
|
|
|
|
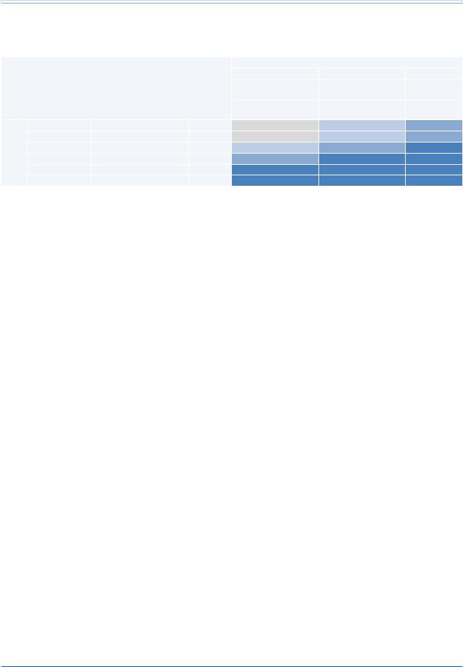
Таблица 15 |
|
Дозирование болезнь-модифицирующих препаратов при хронической СН |
|
||||
|
и после инфаркта миокарда c коррекцией по СКФ [58, 59] |
|
|
|||
Препарат |
Начальная доза |
Целевая доза |
Коррекция дозы (%) по СКФ (мл/мин/1,73 м2) |
|||
|
(мг) |
(мг) |
>50 |
10–50 |
<10 |
|
Ингибиторы АПФ |
|
|
|
|
|
|
Каптоприл |
6,25 мг х 3 р/сут |
50 |
мг х 3 р/сут |
100 |
75 |
50 |
Эналаприл |
2,5 мг х 2 р/сут |
10–20 мг х 2 р/сут |
100 |
75–100 |
50 |
|
Лизиноприл |
2,5–5,0 мг/сут |
20–35 мг/сут |
100 |
50–75 |
25–50 |
|
Рамиприл |
2,5 мг/сут |
5 мг/сут |
100 |
50–75 |
25–50 |
|
Трандолаприл |
0,5 мг/сут |
4 мг/сут |
100 |
50–100 |
50 |
|
БРА |
|
|
|
|
|
|
Кандесартан |
4–8 мг/сут |
32 |
мг/сут |
Коррекции дозы не требуется |
||
Валсартан |
40 мг х 2 р/сут |
160 мг х 2 р/сут |
|
|
|
|
Лозартан |
50 мг/сут |
150 мг/сут |
|
|
|
|
Бета-блокаторы |
|
|
|
|
|
|
Бисопролол |
1,25 мг/сут |
10 |
мг/сут |
100 |
75 |
50 |
Карведилол |
3,125 мг х 2 р/сут |
25–50 мг х 2 р/сут |
Коррекции дозы не требуется |
|||
Метопролол (CR/XL) |
12,5–25 мг/сут |
200 мг/сут |
|
|
|
|
Небиволол |
1,25 мг/сут |
10 |
мг/сут |
100 |
100 |
50 |
Антагонисты минералокортикоидных рецепторов |
|
|
|
|
|
|
Эплеренон |
25 мг/сут |
50 |
мг/сут |
Не показан при СКФ <50 мл/мин/1,73 м2 |
||
Спиронолактон |
25 мг/сут |
25–50 мг/сут |
Не показан при СКФ <30 мл/мин/1,73 м2 |
|||
При ухудшении функции почек
•Исключить гиповолемию/дегидратацию.
•Отменить нефротоксичные препараты.
•Воздержаться от назначения антагонистов минералокортикоидных рецепторов (АМКР).
• При использовании комбинации петлевого
итиазидного диуретика, отменить тиазидный диуретик.
•При необходимости — уменьшить дозу ингибиторов АПФ/БРА.
Алгоритм назначения антагонистов минералокортикоидных рецепторов пациентам с ХСН и риском ухудшения функции почек
•Оценить функциональное состояние почек (рСКФ) и уровень калия в сыворотке крови.
•АМКР следует назначать с особой осторожностью в исключительных случаях при уровне калия
сыворотки >5,0 ммоль/л, креатинина сыворотки >221 мкмоль/л (>2,5 мг/дл), рСКФ <30 мл/мин/1,73 м2 [58].
•Начинать лечение с минимальных доз (табл. 15, 16).
•Повышение дозы, если необходимо, следует начинать через 4–8 недель от начала терапии.
• Контроль сывороточных уровней креатинина
икалия следует проводить через 1 и 4 недели после начала терапии или повышения дозы, затем — на 8 и 12 неделе, через 6, 9 и 12 месяцев, после чего — 1 раз в 4 месяца.
•Если уровень калия >5,5 ммоль/л, уровень кре-
атинина >221 мкмоль/л (>2,5 мг/дл) или рСКФ <30 мл/мин/1,73 м2, следует уменьшить дозу в 2 раза
иконтролировать уровни калия и креатинина.
•Следует избегать комбинации с калийсодержащими препаратами, калийсберегающими диуретиками, нефротоксичными препаратами (НПВС); некоторые заменители соли содержат значительное количество калия.
•Тройная комбинация АМКР, ингибиторов АПФ и БРА противопоказана.
•При повышении уровня калия >6,0 ммоль/л,
креатинина >310 мкмоль/л (3,5 мг/дл), снижении рСКФ <20 мл/мин/1,73 м2 препарат следует отменить
инаправить пациента на консультацию к нефрологу.
6. Острое повреждение почек у пациентов с сердечно-сосудистыми заболеваниями
Термин ОПП был принят в 2004г вместо понятия “острая почечная недостаточность”, диагностические критерии которой не были четко установлены, вследствие чего оценить реальную распространенность этой патологии было сложно. В 2012г опубликованы первые рекомендации по диагностике и лечению ОПП [16]. Диагностическими критериями ОПП являются повышение сывороточного креатинина хотя бы на >0,3 мл/дл (26,5 мкмоль/л) в течение 48 часов либо в 1,5 раз в течение предшествующих 7 дней и/или снижение диуреза менее 0,5мл/кг/чза6часов.СтадияОППопределяетсянаосновании уровня креатинина и/или диуреза (табл. 17).
Риск развития ОПП повышается как в присутствии факторов риска ОПП (критическое состояние больного, сепсис, шок, травмы и ожоги, кардиохирургические и большие хирургические вмешательства, нефротоксичные и рентгенконтрастные препараты, отравле-
22
К 50-ЛЕТИЮ РОССКЛИНИЧЕСКИЕЙСКОГО КАРДИЕКОМЕНДАЦИИЛОГИЧЕСКОГО ОБЩЕСТВА
|
|
|
|
|
|
|
Таблица 16 |
|
Дозирование диуретиков при острой и хронической СН |
|
|
||||
|
(с сохранной и сниженной фракцией выброса) с коррекцией по СКФ [58, 59] |
|
|||||
Препарат |
Начальная доза (мг) |
Обычная доза (мг) |
Коррекция дозы (%) по СКФ (мл/мин/1,73 м2) |
||||
|
|
|
|
|
>50 |
10–50 |
<10 |
Петлевые |
|
|
|
|
|
|
|
Фуросемид |
20–40 мг |
|
40–240 мг |
|
Коррекции дозы не требуется |
||
Буметанид |
0,5–1,0 мг |
|
1-5 мг |
|
|
|
|
Торасемид |
5–10 мг |
|
10–20 мг |
|
|
|
|
Тиазидные |
|
|
|
|
|
|
|
Гидрохлортиазид |
25 мг |
|
12,5–100 мг |
|
Не рекомендуется при СКФ <30 мл/мин/1,73 м2 |
||
Индапамид |
2,5 мг |
|
2,5–5 мг |
|
Не эффективен при СКФ <10 мл/мин/1,73 м2 |
||
Калийсберегающие |
|
|
|
|
|
|
|
Спиронолактон/ |
+ИАПФ/БРА |
-ИАПФ/БРА |
+ИАПФ/БРА |
-ИАПФ/БРА |
Не показан при СКФ |
|
|
Эплеренон |
12,5–25 |
50 |
50 |
100–200 |
<30 мл/мин/1,73 м2 /<50 мл/мин/1,73 м2 |
||
Триамтерен |
25 |
50 |
100 |
200 |
Не рекомендуется при СКФ <50 мл/мин/1,73 м2 |
||
|
|
Таблица 17 |
|
Стадии острого повреждения почек [16] |
|
Стадия |
Критерии креатинина сыворотки* |
Критерии диуреза* |
1 |
Повышение Кр в 1,5–1,9 раза от исходного уровня или на >0,3 мг/дл (>26,5 мкмоль/л) |
<0,5 мл/кг/час в течение 6–12 часов |
2 |
Повышение Кр в 2,0–2,9 раза от исходного уровня |
<0,5 мл/кг/час в течение >12 часов |
3 |
Повышение Кр в 3,0 раза от исходного уровня или на >4,0 мг/дл (>353,6 мкмоль/л) или начало |
<0,3 мл/кг/час за >24 часа или анурия |
|
заместительной почечной терапии, или снижение СКФ <35 мл/мин/1,73 м2 у пациентов младше 18 лет |
>12 часов |
Примечание: * — ОПП диагностируется при наличии хотя бы одного из критериев.
Таблица 18
Дозирование антитромботических препаратов при ХБП (рСКФ <60 мл/мин/1,73 м2) [71]
Препарат |
Рекомендации |
Аспирин |
Изменения дозы не требуется. |
Клопидогрел |
Изменения дозы не требуется. |
Прасугрел |
Изменения дозы не требуется. Нет опыта применения при ТПН/диализе. |
Тикагрелор |
Изменения дозы не требуется. Нет опыта применения при ТПН/диализе. |
Эноксапарин |
Не требуется изменения болюсной дозы. После тромболизиса при ККр <30 мл/мин вводится обычная доза подкожно 1 раз/сут. |
Нефракционированный |
Не требуется изменения болюсной дозы. |
гепарин |
|
Фондапаринукс |
Изменения дозы не требуется. Нет опыта применения при ТПН/диализе. |
Бивалирудин |
•При СКФ 30–59 мл/мин начальную скорость введения следует снизить до 1,4 мг/кг/час. Болюсная доза не требует изменения. |
|
•При СКФ <30 мл/мин и у пациентов на диализе противопоказан. |
Абциксимаб |
•Рекомендации отсутствуют. Тщательная оценка риска кровотечения. |
Эптифибатид |
•При СКФ ≥30, но <50 мл/мин внутривенная болюсная доза — 180 мкг, затем непрерывная инфузия в дозе 1,0 мкг/кг/мин. |
|
•При СКФ <30 мл/мин противопоказан. |
ния) [60–65], так и при наличии состояний, повышающих восприимчивость пациента к факторам риска ОПП (дегидратация, пожилой возраст, женский пол, негроидная раса, острые и хронические заболевания, СД, рак, анемия, проводимая терапия) [66–68]. Пациенты с риском развития ОПП нуждаются в тщательном контроле уровня креатинина и диуреза, при этом частота и длительность мониторинга определяется индивидуально в зависимости от степени риска и конкретной клинической ситуации.
Причина ОПП должна быть установлена во всех случаях, когда это возможно. Пациенты с ОПП
должны наблюдаться в течение 3 месяцев для оценки степени восстановления функции почек, повторного эпизода ОПП или ухудшения течения имевшей место прежде ХБП.
6.1. Острое повреждение почек при острой сердечной недостаточности и острой декомпенсации хронической сердечной недостаточности
У трети больных с острой СН и в 25–70% случаев острой декомпенсации ХСН развивается ОПП; сочетанное повреждение сердца и почек описывается термином острый кардиоренальный синдром 1-го типа
23
СКФ (мл/мин/1,73 м2)
Российский кардиологический журнал № 8 (112) | 2014
|
|
|
|
|
Таблица 19 |
|
Частота обследований в год в зависимости от степени риска прогрессирования ХБП |
|
|||
|
(снижения СКФ и выраженности альбуминурии) [14] |
|
|||
|
|
|
Альбуминурия* |
|
|
|
|
|
А1 |
А2 |
А3 |
|
|
|
Оптимальная или |
Высокая |
Очень высокая |
|
|
|
незначительно повышенная |
|
|
|
|
|
<30 мг/г |
30–300 мг/г |
>300 мг/г |
|
|
|
<3 мг/ммоль |
3–30 мг/ммоль |
>30 мг/ммоль |
Стадия 1 |
Высокая или оптимальная |
≥90 |
1 при наличии ХБП |
1 |
2 |
Стадия 2 |
Незначительно снижена |
60–89 |
1 при наличии ХБП |
1 |
2 |
Стадия 3а |
Умеренно снижена |
45–59 |
1 |
2 |
3 |
Стадия 3б |
Существенно снижена |
30–44 |
2 |
3 |
3 |
Стадия 4 |
Резко снижена |
15–29 |
3 |
3 |
4+ |
Стадия 5 |
Почечная недостаточность |
<15 |
4+ |
4+ |
4+ |
Примечания: окраска ячеек: серый — низкий риск (в отсутствии признаков повреждения почек категории СКФ С1 или С2 не удовлетворяют критериям ХБП), светло-голубой — умеренный, голубой — высокий риск, темно-голубой — очень высокий риск. Цифры в ячейках указывают частоту контроля СКФ и альбуминурии в год. * — альбуминурия — определяется отношение альбумин/креатинин в разовой (предпочтительно утренней) порции мочи, СКФ рассчитывается по формуле CKD-EPI.
[55]. Установлено, что у больных с острой декомпен- |
1,12–1,27, p<0,001) и 6-месячной (ОР 1,16, 95% ДИ |
||
сацией ХСН развитие ОПП ассоциируется с более |
1,11–1,22, p<0,001) смертности [70]. |
||
продолжительной госпитализацией и большей часто- |
Пациенты с ОКС, имеющие нарушение функции |
||
той повторных госпитализаций по поводу ХСН, про- |
почек, часто не получают адекватную терапию [71, 72], |
||
грессированием ХБП, повышением риска сердечно- |
что объясняется как отсутствием данных о клинических |
||
сосудистой и общей смертности. |
|
исследованиях в этой популяции, так и высоким риском |
|
Нарушение функции почек лимитирует назна- |
осложнений, прежде всего кровотечений и дальней- |
||
чение этой популяции больных блокаторов РААС |
шего ухудшения функции почек. Есть данные, что |
||
и АМКР, а нарастающая уремия и гипергидрата- |
у больных ХБП часто развиваются кровотечения вслед- |
||
ция могут привести к необходимости проведения |
ствие передозировки антитромботических препаратов, |
||
заместительной почечной терапии. Среди пациен- |
дозы которых, при преимущественно почечном пути |
||
тов, начинающих лечение программным гемодиа- |
выведения, нуждаются в коррекции с учетом функцио- |
||
лизом, 33% имеют диагноз ХСН, смертность у этих |
нального состояния почек (табл. 18) [73–75]. |
||
пациентов |
значительно выше, чем у |
больных |
Снижение функции почек предрасполагает |
с ТПН без признаков ХСН. Проведение диализа |
к неблагоприятным исходам процедур реваскуляри- |
||
при тяжелой ХСН, особенно у пожилых пациентов |
зации миокарда. Интраоперационная смертность при |
||
с наличием других сопутствующих заболеваний, |
аортокоронарном шунтировании у больных со стой- |
||
представляет сложную задачу и не всегда приводит |
ким ухудшением функции почек возрастает более чем |
||
к улучшению качества и увеличению продолжи- |
в 7 раз. Влияние СКФ на смертность больных, пере- |
||
тельности жизни. |
|
несших аорто-коронарное шунтирование, остается |
|
|
|
|
значимым и при длительном (>15 лет) наблюдении. |
6.2. Острое повреждение почек при остром коронарном |
|
||
синдроме |
|
|
7. Особенности наблюдения пациентов при |
Нарушение функции почек встречается у 30–40% |
хронической болезни почек с разным риском |
||
пациентов с острым коронарным синдромом (ОКС), |
прогрессирования |
||
а при кардиогенном шоке у 70% пациентов [69]. Сни- |
У пациентов с ХБП необходимо оценивать уро- |
||
жение СКФ <60 мл/мин/1,73 м2 является независи- |
вень СКФ и альбуминурии не реже одного раза в год, |
||
мым предиктором (относительный риск (ОР) 2,13, |
чаще следует мониторировать функцию почек у боль- |
||
95% доверительный интервал (ДИ) 1,7–2,6) смерти |
ных с высоким риском прогрессирования и в тех слу- |
||
от инфаркта миокарда, рецидива инфаркта миокарда, |
чаях, когда величины этих показателей следует учи- |
||
развития |
сердечной недостаточности, |
инсульта |
тывать при назначении терапии (табл. 19). При этом |
и кровотечений при ОКС как с подъемом сегмента |
следует иметь в виду, что небольшие изменения СКФ |
||
ST, так и без подъема сегмента ST [69]. Результаты |
встречаются достаточно часто и не всегда указывают |
||
объединенного анализа регистров больных c ОКС |
на прогрессирующее течение заболевания. |
||
свидетельствуют о том, что снижение СКФ ассоции- |
Прогрессирование ХБП определяется при нали- |
||
ровано с повышением 30-дневной (ОР 1,19, 95% ДИ |
чии хотя бы одного из следующих признаков: |
||
24
К 50-ЛЕТИЮ РОССКЛИНИЧЕСКИЕЙСКОГО КАРДИЕКОМЕНДАЦИИЛОГИЧЕСКОГО ОБЩЕСТВА
СКФ (мл/мин/1,73 м2)
Таблица 20
Алгоритм наблюдения пациентов с ХБП [14]
|
|
|
Альбуминурия |
|
|
|
|
|
А1 |
А2 |
А3 |
|
|
|
Оптимальная или |
Высокая |
Очень высокая |
|
|
|
незначительно повышенная |
|
|
|
|
|
<30 мг/г |
30–300 мг/г |
>300 мг/г |
|
|
|
<3 мг/ммоль |
3–30 мг/ммоль |
>30 мг/ммоль |
Стадия 1 |
Высокая или оптимальная |
≥90 |
|
Наблюдение терапевта |
Консультация/ наблюдение нефролога |
Стадия 2 |
Незначительно снижена |
60–89 |
|
Наблюдение терапевта |
Консультация/ наблюдение нефролога |
Стадия 3а |
Умеренно снижена |
45–59 |
Наблюдение терапевта |
Наблюдение терапевта |
Наблюдение нефролога |
Стадия 3б |
Существенно снижена |
30–44 |
Наблюдение терапевта |
Наблюдение терапевта |
Наблюдение нефролога |
Стадия 4 |
Резко снижена |
15–29 |
Консультация/ наблюдение |
Консультация/ |
Наблюдение нефролога |
|
|
|
нефролога |
наблюдение Нефролога |
|
Стадия 5 |
Почечная недостаточность |
<15 |
Наблюдение нефролога |
Наблюдение нефролога |
Наблюдение нефролога |
Примечание: окраска ячеек: серый — низкий риск (в отсутствии признаков повреждения почек категории СКФ С1 или С2 не удовлетворяют критериям ХБП), умеренный, светло-голубой — высокий риск, темно-голубой — очень высокий риск.
•Снижение уровня СКФ на категорию или больше (≥90 [С1] → 60–89 [С2] → 45–59 [С3a] → 30–44 [С3б] → 15–29 [С4] → <15 [С5] мл/ мин/1,73 м2). Не вызывающее сомнений снижение рСКФ определяется как снижение категории СКФ в сочетании со снижением рСКФ не менее, чем на 25% от предыдущего значения.
•Под ускоренным прогрессированием следует понимать стабильное снижение рСКФ более, чем на 5 мл/мин/1,73 м2/год (физиологическое снижение СКФ с возрастом составляет около 1 мл/мин/1,73 м2/год).
•Чем чаще мониторируется уровень сывороточного креатинина и дольше период наблюдения, тем выше вероятность выявления прогрессирования ХБП.
•Пациентам с прогрессирующим течением ХБП необходима коррекция проводимой терапии, а также дополнительное обследование для выявления обратимых причин ухудшения функции почек. При необходимости показана консультация специалиста. Больные с СКФ >30 мл/ мин/1,73 м2 (ХБП С1–3) в большинстве случаев должны находиться под наблюдением терапевтов, а наблюдение нефролога показано всем больным с СКФ <30 мл/мин/1,73 м2 (ХБП С4–5) (табл. 20).
Консультация нефролога необходима пациентам в следующих ситуациях:
•Развитие ОПП или подтвержденное снижение СКФ.
•Постоянная выраженная альбуминурия (Ал/ Кр>300 мг/г или 30 мг/ммоль или экскреция альбумина с мочой >300 мг/сут) или стойкая протеинурия.
•Прогрессирование ХБП.
•Появление эритроцитарных цилиндров или эритроцитов >20 в поле зрения в моче.
•ХБП и резистентная АГ.
•Стойкое снижение или повышение уровня калия в сыворотке крови.
•Стойкая депрессия удельного веса мочи, полиурия, глюкозурия при нормальном уровне глюкозы крови.
•Нефролитиаз (с частым образованием и/или большим количеством конкрементов показана консультация уролога).
•Наследственные заболевания почек.
Под поздним обращением к нефрологу следует понимать обращение менее чем за год до начала заместительной почечной терапии [14].
8. Профилактика прогрессирования хронической болезни почек
8.1. Изменения образа жизни
Пациентам с ХБП рекомендуются физические нагрузки с учетом состояния сердечно-сосудистого здоровья и переносимости (по крайней мере 30 минут физических упражнений 5 раз в неделю), поддержание веса в оптимальном диапазоне (индекс массы тела 20–25 кг/м2), прекращение курения (ID) [14].
Всем пациентам с ХБП рекомендуется консультация диетолога, а также обучение в рамках образовательных программам соответственно тяжести заболевания и необходимости ограничения поваренной соли, фосфатов, калия и белка в рационе (IВ) [14]. Высокобелковая диета (содержание белка в пище более 1,3 г/кг/сут) является фактором риска развития и прогрессирования ХБП. На 1–2 стадиях ХБП рекомендуемое суточное потребление белка составляет 1,0 г/кг веса тела. На 3а и 3б стадиях ХБП как пациентам без СД, так и с СД рекомендуется малобелковая диета, то есть ограничение содержания белка в пище до 0,8–0,6 г/кг/сут. На 4 и 5 (до начала диализа) стадиях ХБП рекомендуется низкобелковая
25
|
Российский кардиологический журнал № 8 (112) | 2014 |
|
|
|
|
|
Таблица 21 |
|
Особенности назначения медикаментозных препаратов пациентам с ХБП [14] |
Препараты |
Рекомендации по применению |
Антигипертензивные/кардиологические |
|
•Блокаторы РААС |
•Избегать при подозрении на стеноз почечной артерии |
(ИАПФ, БРА, АМКР, |
•Начинать с более низких доз при СКФ <45 мл/мин/1,73 м2 |
прямые ингибиторы |
•Контроль СКФ и калия сыворотки крови через неделю после начала терапии или увеличения дозы |
ренина) |
•Временная отмена при интеркуррентных заболеваниях, плановом в/в введении рентгенконтрастных препаратов, подготовке |
|
к колоноскопии, перед большими оперативными вмешательствами |
|
•Не отменять при СКФ <30 мл/мин/1,73 м2, если нет противопоказаний (нефропротективный эффект) |
•Дигоксин |
•Уменьшить дозу с учетом плазменных концентраций |
Антикоагулянты |
|
•Низкомолекулярные |
•Уменьшить дозу на 50% при СКФ <30 мл/мин/1,73 м2 |
гепарины |
•Попытаться заменить на нефракционированный гепарин или контролировать содержание анти-фактора Ха в плазме при |
|
высоком риске кровотечений |
•Варфарин |
•Повышенный риск кровотечений при СКФ <30 мл/мин/1,73 м2 |
|
•Использовать низкие дозы и строго контролировать международное нормализованное отношение при СКФ <30 мл/мин/1,73 м2 |
Обезболивающие |
|
•НПВС |
•Избегать назначения при СКФ <30 мл/мин/1,73 м2 |
|
•Нежелателен длительный прием при СКФ <60 мл/мин/1,73 м2 |
|
•Не применять вместе с препаратами лития |
|
•Избегать назначения на фоне приема блокаторов РААС |
•Опиаты |
•Уменьшить дозу при СКФ <60 мл/мин/1,73 м2 |
|
•Назначать с осторожностью при СКФ <15 мл/мин/1,73 м2 |
Антибиотики |
|
•Пенициллин |
•Риск кристаллурии при СКФ <15 мл/мин/1,73 м2 и назначении высоких доз |
|
•Бензилпенициллин нейротоксичен при СКФ <15 мл/мин/1,73 м2 и назначении высоких доз (максимально 6 г/сут) |
•Аминогликозиды |
•Уменьшить дозу и/или увеличить интервал между приемами при СКФ <60 мл/мин/1,73 м2 |
|
•Контроль сывороточной концентрации |
|
•Избегать одновременного приема ототоксичных препаратов (фуросемид) |
•Макролиды |
•Уменьшить дозу на 50% при СКФ <30 мл/мин/1,73 м2 |
•Фторхинолоны |
•Уменьшить дозу на 50% при СКФ <15 мл/мин/1,73 м2 |
•Тетрациклины |
•Уменьшить дозу при СКФ <45 мл/мин/1,73 м2; может усилить уремию |
Противогрибковые |
|
|
•Избегать назначения амфотерицина при СКФ <60 мл/мин/1,73 м2 |
|
•Уменьшить поддерживающую дозу флуконазола на 50% при СКФ <45 мл/мин/1,73 м2 |
|
•Уменьшить дозу флуцитозина при СКФ <60 мл/мин/1,73 м2 |
Химиотерапевтические |
|
•Цисплатин |
•Уменьшить дозу при СКФ <60 мл/мин/1,73 м2 |
|
•Избегать назначения при СКФ <30 мл/мин/1,73 м2 |
|
•Уменьшить дозу при СКФ <60 мл/мин/1,73 м2 |
•Мелфалан |
•Уменьшить дозу при СКФ <60 мл/мин/1,73 м2 |
•Метотрексат |
•По возможности избегать назначения при СКФ <30 мл/мин/1,73 м2 |
Другие препараты |
|
•Литий |
•Нефротоксичен, может вызвать канальцевую дисфункцию при длительном приеме даже в терапевтической дозе |
|
•Контроль СКФ, электролитов, концентрацию лития каждый месяц или чаще, если изменяется доза или состояние пациента |
|
ухудшается |
|
•Избегать одновременного приема НПВС |
|
•Гидратация при интеркуррентных заболеваниях |
|
•Оценка соотношения риск/польза в особых ситуациях |
диета (0,6–0,3 г/кг/сут). Пациентам с ХБП, соблюда- |
или 0,1 г/кг/сут) и высокая калорийность рациона |
ющим малобелковую и низкобелковую диету, необхо- |
(30–35 ккал/кг/сут) позволяют безопасно ограничи- |
дим обязательный контроль пищевого рациона |
вать потребление белка, при этом наблюдается замед- |
и питательного статуса для профилактики синдрома |
ление прогрессирования ХБП (IIС) [13], отмечается |
белково-энергетической недостаточности. Назначе- |
более эффективный контроль АГ, протеинурии, |
ние комплекса кетоаналогов незаменимых амино- |
гиперфосфатемии, гиперкалиемии, дислипидемии, |
кислот (кетостерил по 1 таб. на 5 кг массы тела в сутки |
инсулинорезистентности, ассоциированных с ХБП. |
26