Федеральное государственное бюджетное образовательное учреждение высшего образования
«Петербургский государственный университет путей сообщения императора Александра I»
Кафедра «Основания и фундаменты»
РАСЧЕТ ПОДПОРНОЙ СТЕНЫ
Курсовая работа
Выполнил: студент 3 курса
группы СЖД - 504
Руденко Р.В.
Проверил:
Санкт-Петербург
2017
ФГБОУ ВО ПГУПС Кафедра «Основания и фундаменты»
ЗАДАНИЕ НА КУРСОВУЮ РАБОТУ
«РАСЧЕТ ПОДПОРНОЙ СТЕНЫ»
Студент Руденко Р.В.
Группа СЖД-504
Шифр___ 2852
|
Нагрузка
|
||
|
q |
кПа |
30 |
|
|
|
|
|
|
|
|
|
|
|
|
|
|
|
|
|
Грунт под подошвой супесь |
||
|
γ |
кН/м3 |
20,2 |
|
ω |
- |
0,2 |
|
γs |
кН/м3 |
26,7 |
|
ωL |
- |
0,24 |
|
ωP |
- |
0,19 |
|
Грунт засыпки песок мелкий |
||
|
γзас |
кН/м3 |
20 |
|
φ |
град |
35 |
|
δ |
град |
8 |
|
α |
град |
-6 |
|
|
|
|
|
Размеры стены |
||
|
a |
м |
1,2 |
|
b |
м |
4,0 |
|
H |
м |
7 |
|
d |
м |
2 |
|
ε |
град |
+8 |
Подпись преподавателя_____________ Дата_________
Анализ строительных свойств грунта под подошвой фундамента стены 4
Определение активного и пассивного давления на подпорную стену. 5
Определение активного давления графическим способом (построение Понселе) 6
Определение напряжений, действующих по подошве фундамента 7
Расчет устойчивости стены против опрокидывания сдвига по подошве фундамента. 9
Проверка положения равнодействующей. 10
Выводы о применимости заданной конструкции стены и рекомендации по ее изменению. 10
Цели расчета: рассчитать давление грунта на подпорную стену, сделать поверочные расчеты, дать заключение о соответствии (или не соответствии) конструкции подпорной стены требованиям расчета по первой и второй группам предельных состояний, обосновать рекомендации по необходимым изменениям.
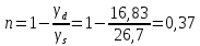
Последовательно определяем: - удельный вес сухого грунта

-пористость
0
-коэффициент пористости

-показатель текучести

-число пластичности
– супесь
пластичная
Определяем расчетное сопротивление грунта под подошвой фундамента стены:
,
где
,

.
Второе слагаемое принимаем равным 0, так как d<3,0 м.
Заменим
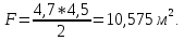
равномерно распределенную нагрузку
слоем грунта приведенной высоты:

Рассчитаем коэффициент активного давления:



Найдем ординаты эпюры интенсивности активного давления: - на уровне верха стены

- на уровне подошвы

Тогда активное давление

Горизонтальная и вертикальная составляющие интенсивности активного давления следующие:




Соответственно вертикальная и горизонтальная составляющие активного давления


Интенсивность пассивного давления на отметке подошвы фундамента

Пассивное давление, действующие на переднюю грань стены,

Снижаем величину отпора
.
Построение Понселе выполняем с целью проверки правильности нахождения активного давления аналитическим способом.
В результате построения получен треугольник площадью

Активное
давление, действующее на стену высотой

Для определения доли давления, приходящейся на стену высотой H, находим ординаты эпюр интенсивности активного давления, найденного графически, на уровне подошвы фундамента и верха подпорной стены:


Тогда активное давление, найденное графически,

Расхождение с давлением, найденным аналитически, составляет

что вполне допустимо.
|
Нормативная сила, кН |
Расчетная сила, кН |
Плечо, м |
Момент, кН*м |
|
|
|
0,23 |
-67,079 |
|
|
|
0,1 |
20,378 |
|
|
|
2,70 |
640,891 |
|
|
|
1,60 |
-108,902 |
|
|
|
0,67 |
-32,636 |
Моменты
вычисляем относительно осей, проходящих
через центр тяжести подошвы фундамента
(точка О).
Равнодействующие активного
и пассивного
давления прикладываем к стене на уровне
центра тяжести эпюр интенсивности
давления. Вес стены и фундамента – в
центре тяжести соответствующего
элемента.
Сумма расчетных вертикальных сил

Сумма моментов расчетных сил

Площадь и момент сопротивления подошвы фундамента стены.


Тогда



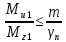
Сопоставим найденные напряжения, с расчетным сопротивлением:



Из трех условий не выполнено последнее, т. е. по задней грани подошвы действуют растягивающие напряжения, что не допустимо.

т.
е. условие устойчивости стены против
опрокидывания
выполняется.
|
Нормативная сила, кН |
Расчетная сила, кН |
Плечо, м |
Моменты, кН*м |
|||
|
Удерживающих
сил
|
Опрокидывающих
сил
|
|||||
|
|
|
2,23 |
585,34 |
- |
||
|
|
|
1,90 |
348,46 |
- |
||
|
|
|
2,70 |
- |
769,069 |
||
|
|
|
3,60 |
294,036 |
- |
||
|
|
|
0,67 |
24,355 |
- |
||
|
|
1252,193 |
769,069 |
||||