Материал: Горелов Основы ПЛ

Внимание! Если размещение файла нарушает Ваши авторские права, то обязательно сообщите нам

Кроме речевых штампов, сознание человека несет в себе образцы, модели, по которым строятся предложения одного синтаксического типа. Так, по одной модели (N — V) построены предложения: Мальчик ест яблоко. Студент записывает лекцию. Архитекторы проектируют здание. Другая модель (N - Adj) лежит в основе предложений типа: Утро сегодня свежее. Ветер сейчас сильный. Работа у нас интересная и т.п.

Наличие самостоятельных синтаксических структур в языковом сознании человека подтверждает пример американского лингвиста Н. Хомского. Ученый предложил испытуемым фразу, состоящую из нормальных осмысленных слов, которые противоречили друг другу в смысловом отношении: Бесцветные зеленые идеи бешено спят. Несмотря на абсурдность значения предложения фраза эта признавалась участниками эксперимента правильной с точки зрения общих норм синтаксиса.

Среди многих поколений школьников бытует фраза, состоящая из набора грамматически связанных между собой заимствованных из иностранного языка слов: «С точки зрения банальной

34

эрудиции не всякий индивидуум, метафизирующий абстракцию, способен дифференцировать тенденцию парадоксальна эмоций». Предложение это не имеет никакого смысла; однако, произнесенное с умным видом одним из старшеклассников, оно воспринимается его сверстниками как непонятная, но «очень умная» цитата из научного труда.

А вот пример иного рода. Начало стихотворения Д. Хармса.

Как-то бабушка махнула,

И тотчас же паровоз

Детям подал и сказал:

Пейте кашу и сундук.

Здесь нарушены правила синтаксической сочетаемости. В русском языке нельзя сказать «подал» и не сказать «что». Синтаксические нарушения вместе с нарушениями в области значения создают у читателей стихотворения ощущение неправильности, абсурдности.

Предложения, которые мы употребляем в речи, всегда связаны с предшествующим речевым контекстом и вписаны в конкретную ситуацию общения. Например, фраза «Отличник ответил блестяще» опирается на уже известную информацию о том, что студент, о котором идет речь, раньше получал отличные оценки на экзаменах.

Конкретные ситуации общения предопределяют цели говорящих и те коммуникативные задания, которые несут в себе предложения.

Представим себе ситуацию. Студенты мирно записывают лекцию. Входит декан и произносит фразу: «Студенты второго курса завтра не учатся».

Другая ситуация. Студенты знают, что завтра один из курсов факультета освобождается от занятий, но не знают - какой именно. Входит декан и произносит: «Студенты второго курса завтра не учатся».

Наконец, третья ситуация. Студенты знают, что их курс по какой-то причине освобождается от занятий в один из дней недели, однако они не знают, в какой именно день это случится. Заходит декан и произносит все ту же фразу: «Студенты второго курса завтра не учатся».

В разных речевых ситуациях одно и то же предложение имеет различный смысл, передает разную информацию. В первом слу-

35

чае содержание всего предложения является для слушателей новостью. Во втором и в третьем, опираясь на сведения, уже известные слушателям, оно лишь уточняет эти сведения.

То новое, актуальное в данной ситуации, что передает высказывание, носит название ремы (Р) предложения. Рема - это то, ради чего произносится фраза. Данная, исходная информация, которая содержится в высказывании, называется темой (Т).

Деление на тему и рему, на данное и новое составляет основу учения об актуальном членении. Теория актуального членения поначалу была разработана применительно к предложению. Однако по мере развития науки о языке стало ясно, что в делении на тему и рему заключается один из секретов соединения предложений в связный текст. Наша речь чаще всего строится по принципу последовательного введения новой информации в каждое новое предложение. Однако во вновь произнесенной или написанной фразе обычно есть повтор того, о чем уже шла речь раньше, что связывает предложение с предшествующим текстом. Такое движение информации внутри текста называют тематической прогрессией.

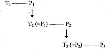
Рассмотрим небольшой фрагмент связной речи. (1) Студенты слушают и конспектируют лекцию. (2) Она посвящена проблемам психолингвистики. (3) Это одна из увлекательных сфер науки о языке.

Приведенный текст можно представить в виде схемы.

Такая разновидность организации текста носит название простой линейной тематической прогрессии. Другой пример.

(1) Студенты сидят в аудитории. (2) Они слушают и конспектируют лекцию. (3) Молодые люди с увлечением постигают тайны речевой деятельности.

На схеме этот текст выгладит следующим образом.

В этом случае перед нами тематическая прогрессия с константной темой.

Реальное речевое общение демонстрирует самые разнообразные виды тематической прогрессии, подробное рассмотрение которых не входит в наши задачи.

Взгляд на традиционно выделяемые единицы-объекты языкознания заставляет нас обратиться в новому объекту - к связному тексту. О том, что такое текст и какова его психолингвистическая природа, мы поговорим в следующей главе.

Глава 2 Способы передачи информации в речевой деятельности

Прежде чем перейти к рассмотрению фундаментальных процессов порождения и понимания высказывания, мы должны поговорить о различных способах передачи речевого сообщения. Нет никаких сомнений в том, что язык - основа нашей коммуникации. Именно с его помощью мы создаем многообразные речевые произведения - устные и письменные, именно он позволяет нам оформлять наши мысли, идеи в тексты, накопление, хранение и передача которых от одного поколения людей другому есть важнейшая предпосылка существования культуры. Однако в своем общении мы передаем информацию не только при помощи слов и предложений. Потому предметом данной главы будет своеобразие вербальных и невербальных (несловесных) форм коммуникации. .

§1. Текст в речевой деятельности

Всякий взрослый человек скажет, что слово «текст» ему понятно: текст — это некоторое сообщение, некоторая информация о чем-либо, представленная средствами одного из национальных языков. В приведенном определении есть некоторая неполнота. Во-первых, не вполне ясно, можно ли считать текстом информацию, передаваемую средствами, скажем, немого кино. Ученые считают - да, можно. А художественное полотно или скульптуру? Тоже можно. Но мы, занимаясь психолингвистикой, не можем обойтись без лингвистических объектов. В этом разделе мы будем заниматься текстами именно вербальными, словесными. Но тут - это уже во-вторых - неполнота первоначального определения кроется в том, что мы ничего не знаем о структуре текста, о его свойствах. Ничего не сказано, например, о величине текста: предложение - это текст или еще «не текст»? А слово -оно может быть текстом? Напрашивается ответ отрицательный. Но верен ли он? Видим перед собой табличку: «Выхода нет». Вроде бы предложение, да еще очень пессимистичное. Но табличка эта висит перед лестницей в метро. Получается, что никакому пессимизму автор не предавался - просто указал, что именно в этом месте из метро выйти нельзя, надо искать место с табличкой «Выход». Казалось бы - одно слово, а содержит всю не-

38

обходимую нам для данной ситуации информацию. Это - текст, как и многие другие тексты: «Осторожно!». «Не входить!» (текст понятен, если словесная часть как бы слита с несловесным фрагментом действительности, - газоном или клумбой), «Продуктовый магазин», «Цветы», «Зоопарк»... Несомненными текстами (в более широком смысле, но более близком к общепринятому, чем картина) являются и буквы «Т», «А», «М» (метро, например).

На вопрос, «как мы понимаем тексты?», тоже ответ как будто ясен: знаем язык - понимаем текст. Но тут есть загвоздка, если приняться за такой текст: «И прямая, и обратная системы дедукции, основанные на правилах, имеют ограничения. Обратная система способна обрабатывать целевые выражения произвольного вида, но выражения для фактов должны состоять из конъюнкции литералов». Написано по-русски, но не всякому русскому понятно. Лишь тому, у кого есть знания из области логики и искусственного интеллекта - текст взят из специальной книги.

Специалисты утверждают поэтому, что для понимания текста нужны еще и специальные знания. Знания не обязательно по узкой специальности, как в случае с приведенным текстом, но обязательно знания о нашем мире, о нашей жизни. Не секрет же, что ребенок не сможет, если ему 3-4 или даже 5-6 лет, понять простую для нас фразу: «Опять лампочки не выключаете, а потом будете удивляться, что, за свет берут очень много!» Не случайно же есть книги для детей младшего, среднего и старшего возраста - в зависимости от приобретенных детьми запасов знаний.

Нужна еще и логика (не обязательно формальная или математическая, но обязательно такая, которую принято называть «здравым смыслом»). Предложение вроде «Спеша в институт, он забыл свой проездной билет» не обязательно будет понято всеми до конца. Юноша с некоторой умственной отсталостью не может понять его без пояснения, что в институт надо ехать на транспорте, особенно если спешишь, а денег мало. Знание о транспорте и о функции проездного билета у данного юноши были, но связать их вместе ему было трудно.

Кроме слова текст, в антропоцентрической лингвистике сейчас широко употребителен термин, имеющий сходное значение, - дискурс. Дискурс - это текст, опрокинутый в жизнь, речевое произведение в многообразии его когнитивных (познавательных) и коммуникативных функций. Это текст, вписанный: в реальную

39

культурно-коммуникативную ситуацию. Обычно, когда речь идет о тексте, имеют в виду внутреннее строение дискурса; когда же используется слово дискурс, подчеркивается связь речевого произведения с языковым сознаем, речевым контекстом, с неязыковыми сторонами жизни слова.

Специалисты по лингвистике текста (есть такая дисциплина) наделили текст свойствами связности (когезии) и целостности (цельности), а также свойством композиционной завершенности.

Связность (когезия) текста - категория, характеризующая особенности соединения внутри речевого произведения языковых элементов: предложений, сверхфразовых единств, фрагментов и т. п. Она строится на основе лексико-грамматических возможностей языка, которые изучает молодая отрасль языкознания - грамматика текста.

Связи, возникающие в речи между предложениями, часто зависят от движения внутри текста новой, актуальной информации, т. е. от актуального членения фраз, составляющих речевой отрезок. Такое движение (напомним, что оно носит название тематической прогрессии) мы уже рассматривали в предыдущей главе.

Композиционная завершенность предполагает определенную логику разворачивания речевого произведения. С этой категорией связано представление о психолингвистической норме текстовости, т.е. оптимальной структуре текста, которая соответствует последовательности возникновения речевого произведения в языковом сознании. В соответствии с нормой текстовости в начало речевого произведения обычно выносится инициальная фраза (текстовый зачин), содержащая обозначение темы высказывания, которая будет разворачиваться в ходе построения дискурса.

Понятие целостности (цельности) текста выходит за пределы кругозора традиционной лингвистики. Это уже сугубо психолингвистическая категория. Целостность предполагает единство замысла, семантической программы, из которой, как из почки цветок, вырастает, развивается дискурс. Только тот речевой отрезок именуется целостным, в основе которого лежит некое смысловое единство. В противном случае следует говорить о связном, но не целостном тексте. Пример такого речевого образования мы можем найти в романе Я. Гашека «Приключения бравого солдата Швейка». Вспомним ситуацию, когда авторитетная комиссия

40

медиков пытается установить, действительно ли Швейк - идиот. Устав от нудных вопросов членов комиссии, Швейк сам задает им шутливый вопрос:

«Однако мне тоже хочется, господа, задать вам одну загадку. Стоит четырехэтажный дом, в каждом этаже по восьми окон, на крыше два слуховых окна и две трубы, в каждом этаже по два квартиранта. А теперь скажите, господа, в каком году умерла у швейцара его бабушка?»

Высказывание построено в соответствии с грамматическими нормами языка. Однако целостность явно отсутствует. Текст обессмысливается, как в пословице: «В огороде бузина, а в Киеве дядька». Такой же принцип положен в основу народных частушек, называемых «нескладухами»:

Баба борозду пахала,

Гусь сломал себе ногу,

Летит бык на ероплане,

Я щекоток не боюсь.

Соотношение видовременных форм глаголов, входящих в текст, здесь создает иллюзию связности. В содержательном же отношении частушка - нелепость: она описывает ситуации «из разных опер».

А вот нескладуха более позднего образования:

По стене ползет кирпич.

Деревянный, как стекло.

Ну и пусть себе летит:

Нам не нужен пенопласт.

Так же как существуют тексты связные, но не целостные, есть целостные, но несвязные речевые произведения. Обычно такие построения возникают в разговорной речи, где многое понятно из общей для говорящего и слушающего ситуации. Однако иногда пропуск связующего звена может быть использован как своеобразный прием повествования, направленный на достижение, скажем, комического эффекта. Приведем два таких примера.

Разговор влюбленных:

- Дорогая, если бы я внезапно разорился, ты продолжала бы меня любить?

- Конечно, но мне бы тебя очень недоставало...

Репортер принес редактору репортаж о дорожном происшествии. Тот ему:

- Слишком длинно. Сократить.

41

Через полчаса репортер приносит текст:

-Мистер Смит вел машину со скоростью сто миль в час по скользкому шоссе. Похороны завтра, в 15.00.

В приведенных текстах нарушение связности не затрагивает грамматических законов оформления предложения. Однако в речи не очень культурных носителей языка мы можем встретить осмысленные дискурсы, которые строятся как бы не совсем по-русски. Такой тип речи иногда встречается в высказывания некоторых военных. Подобные дискурсы получили название «армеизмов». Приведем примеры.

Говорят прапорщики.

- Тут вам не здесь. Тут вас отвыкнут водку пьянствовать и беспорядок безобразить.

- Занять огневые позиции! Ты зачем сюда лежишь? Твое место здесь не тут.

- Не соблюдающие технику безопасности влекут за собой гибель человеческих жертв.

Психолингвистическое исследование текста предполагает проникновение в его замысел, ядро смысла: Это осуществляется путем выделения ключевых слов текста, сжато передающих основное содержание высказывания, и сведение текста к ядерной формуле в виде исходного предложения. Методика подобного изучения разработана Л. В. Сахарным и представлена в его работах. Попробуем, к примеру, свести к десяти ключевым словам какой-нибудь значительный по объему текст, например, роман Ф. М. Достоевского «Преступление и наказание». Вот как справились с этим заданием студенты филологического факультета. Приведем наиболее типичные ответы,

1. Раскольников. Нищета. Теория. Убийство.. Расследование. Психология. Совесть. Наказание. Вера. Возрождение.

2. Раскольников. Идея. Старуха. Топор. Преступление. Порфирий. Соня. Сомнения. Муки. Вера.

А теперь другое задание: нужно свести содержание романа к одному предложению (опять-таки не превышающему десяти слов). На этот раз ответы были такими.

1. Из-за идеи Раскольников убивает старуху, проходит через муки и раскаяние к вере и очищению.

2. Герой по теории совершает преступление, но, раскаявшись, несет наказание и возрождается к новой жизни..

42

Характерно, что и в выделенных ключевых словах, и во фразовых формулировках замысла романа совершенно отчетливо проявляется темо-рематическая структура. В обоих случаях сначала дается исходная информация - наименование действующих лиц и предыстория событий, затем - информация новая, актуальная — изложение наиболее важных в сюжетном отношении фактов. Эта ядерная информация представляет собой как бы первичную семантическую запись, исходную формулу замысла, которая может быть развернута в целостный текст. Интересно, что часто именно ключевые слова выносятся автором в название произведения. Как правило, это слова из рематической части. Ф. М. Достоевский в заглавие романа вынес ядерные понятия текста - преступление и наказание.

Первичная запись, разумеется, не исчерпывает всего смыслового богатства произведения. Это лишь зерно, из которого развивается мощное растение. Эта запись - самая низшая ступень формирования текста. На следующем уровне развития замысла происходит как бы разделение семантической программы на целостные в смысловом отношении формулы наиболее крупных частей будущего произведения. Затем каждая из этих частей дробится на замыслы менее крупных фрагментов - и так до мельчайших текстовых единиц, имеющих целостность, - сверхфразовых единств, или тематических блоков.

Порождение и понимание текстов - сложные психологические процессы. О них мы будем вести речь в одной из следующих глав. Заметим только, что иногда в ходе коммуникации сообщение говорящего/пишущего несет в себе незапланированную целостность, рождая коммуникативную неудачу. Фразы, оказавшись рядом, неожиданно вступают в смысловые связи, создавая Комический эффект (по принципу «нарочно не придумаешь»). Вот примеры таких казусных объявлений, взятые из книги Л. В. Сахарного.