Введение
Я выбрал реку Сенегал, так как это известная крупная со множеством особенностей, делающие её интересной для изучения. Река Сенегал особенна тем, что впадает в Атлантический океан, изменяя не только соленость в районе дельты, но и различные химические свойства.
Также известна основная проблема западной Африки-Сахель, поэтому интересно использование в хозяйственной деятельности человека вод реки Сенегал. Человек берет воды в основном для орошения своих земельных угодий. От этого уменьшаются и водность реки. Также население использует реку для небольших Гидроэлектростанций.
На Сенегале также построены две плотины. Река Сенегал размывает кристаллический фундамент, а также подмывает осадочные породы Кембрийского периода, что соответственно заметно отразится на стоке наносов реки.
Река Сенегал обладает специфичным устьем, являющемся дельтой. Одной из
особенностей реки является то, что она образует водопад размерами: шириной 500
метров и высотой 16 метров. Река Сенегал в верхнем течении протекает по нескольким
рукавам тем самым, образует озеро Гьер.
Про Сенегал также упоминается в гимне Сенегала:
«Сенегал, ты - сын льва, рычащего с пеной у рта,
Ты возник из ночи, как конь, мчащийся на всем скаку….»
Самая распространенная версия происхождения названия реки - португальский
вариант наименования берберского племени «зенега», жившего на северном берегу
Сенегала, на землях сегодняшней Мавритании. Кроме этого названия, река имело и
другие варианты наименований, например, «Бамботус» - от финикийского слова
«Бегемот», так называл реки римский историк Плиний-старший. Другим же названием
реки было «Золотая река», так как по нему ходили корабли, вывозившие золото из
Африки, в особенности из Ганы.
1.Физико-географическая характеристика бассейна реки
.1 Географическое положение бассейна реки
Река Сенегал расположена на Африканском материке, в западной его части.
Река протекает по таким географическим зонам, как Влажные высокотравные саванны
и саванные леса, типичных саванн, опустыненных саванн и редколесий. По высотной
поясности река Сенегал делится на: Верхнюю долину, среднюю долину и устьевую
область. Река Сенегал образуется в Мали на месте слияния рек Бафинг и Бакой.
Сенегал впадает в атлантический океан. Бассейн реки Сенегал охватывает четыре
страны: Гвинея, Мали, Мавритания, Сенегал. Основные границами бассейна являются
на Юге исток реки Бафинг, на востоке внутриприточное пространство реки Бакой,
на севере исток реки Белый Горгол, на западе дельта реки. Координаты крайних
точек: Устье (16′00° с.ш.;16′30° з.д.) Исток (13′49° с.ш.; 10′50°
з.д.) [1]
Рисунок 1.1. «Карта-схема бассейна реки Сенегал»
Основные морфометрические свойства бассейна. Площадь бассейна реки
Сенегал составляет 419 575 км². Ширина бассейна равна.450 км. Длина
реки равна 1970 км. Главными притоками реки являются Фалем, Каракоро, Горгол.
Коэффициент извилистости: 1.17
1.2 Климатическая характеристика территории
Бассейн реки Сенегал расположен в Субэкваториальном (на юге) и
Тропическом (на севере) климатических поясах. Климат объясняется движением
внутритропической бориальной зоной, которая отделяет тропический воздух (Harmattan) и экваториальный воздушную массу
(муссон). Континентальный воздух характеризуется низкой влажностью воздуха и
переносится ветрами из северо-восточного сектора в регион. Экваториальный
воздух характеризуется повышенной влажностью и он переносится ветрами с
юго-запада. Его толщина не превышает 2000-3000 метров.
Рис.1.2. Ветер Харматан в январе (слева) и в июле (справа)
Как видно (рис. 1.2.) бассейн реки Сенегал расположен также
сахеле-суданском климатической области в центральной части и в зоне сахеля в
северной части. Это достаточно засушливые области, характеризующиеся большими
температурами в течение года и повышенной испаряемостью и пониженным
количеством осадков до 300 мм.
Рис. 1.3. Основные области климата бассейна реки Сенегал
Особенности температурного режима: Температура достигает своего максимума
в конце мая начале июня, температура в это время может достигать от 25,3 °C до 34,1 °C. Минимум температура в районе бассейна реки Сенегал будет
наблюдаться в январе и составляет от 22,9 °C до 25,8 °C.
Если рассмотреть весь период измерений, то можно сказать, что начиная с зимнего
периода по летний период температура растет на 3-5 °C, летом температура немного уменьшается, но к началу осени
температура увеличивается в значениях, в конце осени начале зимы температура
падает.[7]
Таблица 1.1. Температура в районе бассейна реки Сенегал
Месяц
I
II
III
IV
V
VI
VII
VIII
IX
X
XI
XII
Темпер. воздуха
24,6
27,0
30,4
32,0
32,7
30,0
27,3
26,8
27,4
28.1
27,1
24,4
Значения осадков изменяется от 300 мм в северной части бассейна реки
Сенегал (зона Сахеля) до 1200 мм в южной части (зона Сауданско-гвинийская).
Зимой преобладают тропические массы, поэтому количество осадков будет
наименьшим. Количество осадков в этот период будет измеряться от 0 до 2 мм. В
летний и осенний период приходят влажные экваториальные массы, приводящие к
увеличению дождей и как следствие повышенное количество осадков, которое
исчисляется от 20 на севере до 600 мм на юге бассейна реки Сенегал, однако в
конце осени начале зимы количество осадков вновь уменьшается, благодаря приходу
тропической воздушной массой. Поэтому режим осадков можно разделить на два
сезона: сухой (зима, весна) и влажный (лето, осень)[7]
Таблица 1.2. Режим осадков бассейн реки Сенегал
Месяц
I
II
III
IV
V
VI
VII
VIII
IX
X
XI
XII
Количество осадков
0,8
1
0,2
0 17
92
270
146
51
3
6
1.3 Геологическое строение и рельеф
Бассейн реки Сенегал приурочен к Сенегальскому артезианскому бассейну,
который занимает 2/3 площади Северо-Приатлантического района, расположенного в
пределах Сенегала, Мавритании, Гамбии и Гвинеи. [10]
Выходы докембрийских и палеозойских пород на северо-востоке, востоке и
юго-востоке бассейна, выраженные в рельефе невысокими горами и плато,- внешние
области питания бассейна. В них сосредоточены прежде всего грунтовые воды,
имеющие локальное распространение. Внутренняя область питания представлена
Сенегальской впадиной. В ней на нижнепалеозойском фундаменте снизу верх
залегают отложения юры, мела, палеогена, неогена и четвертичной системы.
Сенегальский артезианский бассейн весьма богат пресными подземными
водами, формирующиеся главным образом в аллювиальных отложениях речных долин, а
также в более древних геологических отложениях, преимущественно на востоке, где
располагается основная часть внешней области питания бассейна, со стороны
которой движется мощный поток этих вод. По мере продвижения последнего на запад
в сторону Атлантического океана в результате взаимодействия подземных вод с
вмещающими породами, влияние климата и других природных факторов, минерализация
их увеличивается, они становятся солоноватыми, а в прибрежной части
солеными[10]
В тектоническом плане бассейн реки Сенегал занимает зону Сенегальского
прогиба в северной части. В верхней долине Сенегал врезается в выступы
кристаллического фундамента прежде всего архейского и нижне- и
среднепротерозойского. Река Сенегал помимо этого врезается и осадочный чехол, в
основном в протерозойский.
Рис.
Рис. 1.4. Тектонические условия бассейна реки Сенегал
Бассейн реки Сенегал делится на две части: верхнюю- до города Бакой,
площадью 200 тыс. км², и нижнюю, включающую дельту. От истока Бафинг река
следует в северном направлении пересекая северные отроги массива Фута-Джалон, образуя
пороги и водопады. Ниже слияния с притоком Бакой река следует, в широкой
долине, изменив направление течения на северо-западное. Ниже города Каес (Мали)
Сенегал выходит на обширную равнину. Приближаясь к океану, резко меняет
направление на южное, протекая по приморской низменности.
Рис.1.5. Рельеф бассейна реки Сенегал
1.4 Краткая информация почв, растительности и ландшафтов
На территории бассейна реки Сенегал выделяют две категории почв:
зональные и азональные. К зональным относятся субаридные или полупустынные
почвы (коричневые и красно-коричневые), которые развиты на песчаном или
песчано-глинистом субстрате. Азональные почвы представлены гидроморфными (вдоль
побережий рек) и галоморфными( солеными)
В растительном покрове преобладают типичные высокотравные саванны с
акациями и баобабами. Растительный и животный мир в устьевой области благодаря
обилию воды более богат и разнообразен. Берега дельты и эстуария покрыты в
основном низкоствольными (5-10 м) вечнозелеными мангровыми лесами. Животный мир
довольно разнообразен, на территории бассейна обитают слоны, львы, гепарды,
антилопы, гиппопотамы, крокодилы, а также большое количество птиц (пеликаны,
чайки, журавли и др.).
Различный контраст ландшафтов отражает контраст климатических условий
бассейна. Это приводит к значительным различиям в фауне и флоре. Между
высокогорьем выше Бакель и долины реки вниз по течению, с точки зрения флоры
заметны различия. Высокогорьям свойственен тип растительности как галерейные леса,
в которых преобладают стойкие лиственные породы. На сегодняшний момент лесной
массив на плато Фута-Джалон простирается на 13% региона, или 800 тыс. га сухой
лес и 50 тыс. га остатки густого тропического леса. В суадано-гвинейских
саванне отмечано множество видов такие как Andropogonascinodis, Sorghastrumbipennatum. Также если рассматривать движение
вниз по течению, то мы будем двигаться от лесистой саванны на север к
кустарниковой, на которой древесный виды заменяются кустарниковыми.
Кустарниковая саванна будет переходить в сахельскую полупустыню. [4]
Рис. 1.6. Ландшафтная карта Африки и легенда к ландшафтам бассейна реки
Сенегал
1.5 Особые водные объекты
Среди особых водных объектов можно выделить несколько озер на севере
страны. Среди них выделяется озеро Гьер (источник питьевого водоснабжения
города Дакар) с площадью водного сечения 170 км² и объемом 190 млн. м³. Максимальная длина озера 70 км,
ширина -8 км, глубина 3,5 м. Размах внутригодовых колебаний уровня воды в озере
Гьер достигает 1,6 при средней глубине 2,0 м. Озеро имеет один приток- р. Бунум
и соединяется с р.Сенегал каналом Тавей.
На реке Сенегал в 1982 году началось строительство водохранилища
Манантали. В 1988 году строительство было закончено, а с 2001 года начала
работать гидроэлектростанция, мощностью 200 МВт. Площадь водохранилища 47700
га. Объем -11000 млн. м³.
Плотина Диама расположена в 23 км отСен-Луи возле устья реки выполняет
несколько целей:
блокировать вторжения морской воды и тем самым защитить существующие или
будущие воды и колодцев для орошения;
Чтобы поднять уровень воды выше определенной отметки для орошения на 42
000 га, если уровень повысится на 1,5 метра для 100 000 га, если уровень
поднимется на 2,5 метра
Облегчить заполнение озера Гуерс в Сенегале и озера Рикз и
Афтоут-ес-Сахели в Мавритании
Рис 1.7 . Фотография водохранилища и плотины Манантали
1.6 Хозяйственная деятельность в пределах бассейна
В бассейне реки Сенегал практикуются три вида сельскохозяйственной
деятельности. Первое: это богарное растениеводство, которое расположено в
верхней части бассейна. Это связано с относительно большим количеством осадков
(более 600 мм), а также плодородностью земель. В долине реки и дельте эта
деятельность является менее важной по причине малого количества осадков (осадки
не превышают 500 мм), а также довольно бедными почвами. [3] В основном
выращивают просо, кукурузу, сорго, арбузы. Площадь орошаемых земель составляет
110 000 км².
Скотоводство является важной составляющей в хозяйственной деятельности
человека. За некоторые годы количество скота достигало 700 тыс. голов. В
настоящее время концентрация скота насчитывает около 2,7 млн. голов
крупнорогатого скота, а также 480 тыс. овец. Это было достигнуто благодаря
улучшению оросительных систем в верхней части бассейна, а также созданием
плотин, которые увеличили территорию доступную для корма.
Рыболовство является одним из традиционно важных деятельностей человека.
В основном рыбалка осуществляется в притоках Сенегала, а не на самой реке.
Уровень добычи изменяется от 26 000 до 47 000 тонн в год. Кроме того,
резервуары плотины Диама и особенно Манантали имеют достаточно плотную
концентрацию рыб.
Горнодобывающая промышленность пока что развивается, однако уже развиты и
некоторые месторождения. Например, на реке Фалеме происходит кустарная добыча
рудного золота. В Мали на площади бассейна сосредоточены запасы железной руды
для добычи в месторождении Кайс-Куликоро (около 2 млрд. тонн). В Мавритании
добываются фосфориты в городах Киф и Боуфал.
На промышленном уровне работает только одна компания. Это Сенегальская
сахарная компания. Она работает в районе Ричардс-Толл на площади 8000 га,
занимаемой сахарным тростником, а также на этой площади находятся предприятия
перерабатывающие томаты.
Река судоходна в течении всего года до города Подор (283 км от выхода
эстуария в море), а в период половодья- до города Каес (в 924 км). В устье реки
расположен город Сен-Луи, являющимся одним из крупнейших портов на западном
побережье Африки.
Рис. 1.8. Судоходство на реке Сенегал
1.7 Характеристика изученности
Среди рек северной части Западной Африки Сенегал в гидрологическом
отношении изучен лучше других. Имеются продолжительные, начиная с 1903 года,
ряды наблюдений за уровнем и расходами воды реки на двух основных
гидрологических постах: Бакель (охватывающий верхнюю часть бассейна реки) и
Дагана (Нижнюю часть). На гидрологическом посту Дагана (192 км от устьевого
створа) помимо обычных работ проводились продолжительные специальные наблюдения
в периоды низкого стока в конце сухого сезона. В устье реки имеется только один
мареограф в г. Сен-Луи.
В 1979 году учеными Французского института научных исследований (ORSTOM) (Дакар) было положено начало
широким исследованиям взвешенных наносов на реках Сенегал и Гамбия. С 1981 года
по всей длине реки Сенегал начала функционировать сеть пунктов наблюдений,
включающих в себя гидрологические посты Бакель, Сальдэ, Нгуи, Подор, Гуедэ,
Дагана и Сен-Луи
В связи с прогрессирующей с начала 1970-х гг. засухой в Западной Африке,
для поддержания благоприятных ирригационных, навигационных, энергетических
условий в бассейне реки Сенегал, в 1972 году была создана организация OMVS, включающая в себя страны Сенегал,
Мали и Мавританию. Задачи организации -поддержание экономического развития и
интеграции стран бассейна реки Сенегал, контроль за использованием ресурсов
реки и долины. При её содействии были построены плотины Манантали и Диама. [4]
Рис. 1.8. Организация развития бассейна реки Сенегал
2.Основные особенности гидрологического режима
.1 Основные особенности водного режима реки
Сенегал относится к рекам с тропическим дождевым типом питания, с ярко
выраженным летним дождевым половодьем (с июня-июля по октябрь-ноябрь) и меженью
в остальную часть года с постепенным снижением расходов воды вплоть до начала
последующего половодья. От истока на склонах массива Фута-Джаллон до устья
можно выделить три зоны с характерными особенностями режима: тропический
переходный, тропический и сахельский. Тропический переходный (гумидный) водный
режим характерен для верхней части бассейна (10.4 % площади бассейна реки), где
выпадает до 1250 мм осадков в год. Эта зона включает верхние участки бассейнов
рек Бафинг, Бакой и Фалеме. Водный режим отличается очень резкой
неравномерностью распределения расходов воды в течение года. Тропический водный
режим свойственен для 40% площади бассейна, он распространяется на нижнее
течение главных притоков и бассейн Бауле (притока р.Бакой). Годовое количество
осадков в этой зоне составляет 750-1250 мм. Половодье проходит за 3-4 месяца с
максимумом в сентябре-октябре, в остальную часть года наблюдается межень с
очень низкими расходами воды. Сахельский водный режим, сходный по количеству и
продолжительности фаз с тропическим, характерен для зоны с годовым количеством
осадков менее 750 мм и охватывает 49.6 % площади бассейна- нижнюю часть
бассейна реки Сенегал, бассейны притоков Колимбине, Каракоро, Горголь Средний
многолетний расход воды Сенегал за 1902-1994 составил в верхнем течении
(г/пБакель) 675 м³/с (21.3 км³/год), а в нижнем (г/п Дагана) -641 м³/с (20.2 км³/год). Уменьшение расходов воды вниз
по течению связано с растущими потерями на инфильтрацию и испарение в русловом
потоке, а также с заливаемых водами реки прилегающих земель.[2]
Рис 2.1. Схема гидрографов реки Сенегал на различных гидропостах
По различным источникам средние многолетние величины расходов и стока
воды р.Сенегал в низовьях составляют: 27.4,26.5, 22.9, 22, 20.2,18.8 км³/год. Стоит отметить, что за
последние годы величина стока уменьшается, что связано с ростом водопотребления
в бассейне реки и также с общим усилением засушливости климата западной Африки.
В многолетнем изменении стока воды р. Сенегал можно выделить периоды
повышенного (1918-1924,1936,1955-1957 гг.) и пониженного стока (1913,1944,
1972-1977,1983-1993 гг.). Экстремально многоводным был гидрологический год (1924-1925),
когда средний годовой расход воды составлял на г/пБакель и г/п Дагана 1247 969
м³/c соответственно. Наименьший средний годовой расход воды за
весь период наблюдений отмечался в 1983-1984 гг. и составлял на г/п. Бакель
220, а на г/пДагана 226 м³/с. Начиная с 1960-ых гг. средний многолетний расход
воды р. Сенегал непрерывно снижался на г/п Бакель и г/п Дагана с 771 и 764 в
1968 г. до 672 и 668 м³/c в
1995 г. соответственно. В 1986-1987 гг. (в первый гидрологический год после
сооружения плотины Диама) в нижнем бьефе гидроузла наблюдался экстремально
низкий средний годовой расход воды 168 м³/c. [4]
Строительство водохранилищ оказало существенное влияние на
гидрологический режим р.Сенегал. Исследования показали, что почти половина
стока, проходящего в районе г/пБакель, регулируется водохранилищем Манантали.
Регулирование стока позволило сократить недостаток воды в верхнем течении р.
Сенегал за период 1972-1995 гг., вызванный засухой: средний многолетний расход
воды р.Сенегал за этот период составил 473 м³/с (недостаток расхода воды по
сравнению со средним многолетним расходом за весь ряд наблюдений 1903-1995 гг.
составлял в среднем 30 %), а за 1988-1995 гг. -541 м³/с (недостаток в среднем 20 %).
Полностью избежать недостатка расходов воды в верхнем течении реки пока не
удается.
Засуха и регулирующее действие водохранилища Манантали привели также к
снижению максимальных расходов воды р.Сенегал. Если средний многолетний расход
воды за весь период наблюдений составлял 4370, то за 1978-1994 гг. он снизился
до 2970 м³/с. Экстремально высокий расход воды на пике половодья
наблюдался на г/пБакельв 1906 г. и составил 9340, а на г/п Дагана в 1936 г.-
3540 м³/с. Самые низкие из наблюденных
максимальных расходов воды на г/п Бакель и г/пДагана проходили в 1984 г. и составили
995 и 770 м³/с соответственно. Снижение максимальных расходов воды в
последнее время прослеживается и в нижнем течении реки вплоть до плотины Диама-
1570 за 1978-1994 г. по сравнению с 2330 м³/сза весь период наблюдений. Ниже
плотины максимальные расходы воды также снизились в последние годы. Для
р.Сенегал, как и для всех сахельских рек, характерно наличие резкой
неравномерности во внутригодовом распределение расходов воды. Максимальные
расходы воды наблюдаются на г/пБакель, как правило в сентябре, на г/п Дагана- в
октябре, минимальные на обоих постах - в феврале-мае. Форма гидрографа довольно
простая, с одним пиком, в многолетнем плане изменяется только высота пика в
зависимости от водности года
2.2 Сток наносов
По данным эпизодических измерений, проведенных за 1980-1994 гг., величина
стока наносов р.Сенегал колебалась от 0.62 до 2.87 млн. тонн/год. В многоводный
период (середина 1930-ых) сток наносов увеличивался до 4 млн.тонн/год. В
среднем за период естественного водного режима реки сток наносов составлял по
2.2 млн. тонн/год, из которых 95% (2.1 млн. тонн/год) приходилось на взвешенные
наносы, а 5% (100 тыс. тонн/год)- на влекомые наносы. Почти 70 % речных наносов
выносится в океан, остальные 30% оседают в дельте на заливаемой пойме, в озерах
и в самом эстуарии. На г/пБакель в середине XX века сток взвешенных наносов составлял 1.0 (в годы с низкой
водностью реки) до 2.8 (в годы высокой водностью), в среднем 1.9 млн. тонн/год.
После строительства плотины Диама сток взвешенных наносов в рукаве Сенегал ниже
плотины существенно сократился и составил за 1989-1994 гг. 1.25 млн. тонн/год.
Значительный вклад в сток наносов дает эрозия берегов и склонов долины в период
половодья. Интенсивность размыва вогнутых берегов на крупных излучинах
достигает 1-1.5 м/год.[4] Склоновая эрозия особенно интенсивна во время первых
сильных ливней, когда почва еще не смочена, и максимально подвержена эрозии.
Отмечено, что склоновая эрозия является причиной того, что максимум мутности
воды реки наблюдается непосредственно перед пиком половодья. Такое же явление
отмечается и на других сахельских реках Гамбии, Бандаме,Салаге, Шари.
На подъеме половодья мутность воды в реке довольно быстро возрастает до
250 г/м³, вода приобретает грязно-желтый
цвет. Начиная примерно со второй половины сентября- первой декады октября,
когда проходят максимальные расходы воды реки, мутность постепенно снижается.
Часть наносов, задерживаемая заливаемой поймой, может возвращаться в реку с
продуктами склоновой эрозии. С окончанием сезона дождей и, соответственно,
половодья склоновая эрозия прекращается, а значительное снижение расходов воды
и рост макрофитов в русле реки приводит к уменьшению расходов взвешенных
наносов. В меженный период воды значительно осветляется, мутность иногда не
превышает 10 г/м³.
2.3 Опасные гидрологические процессы в бассейне реки
географический гидрологический река
Из основных опасных гидрологических процессов можно выделить два вида:
наводнения и засухи. Наводнения часто происходят в период с июля по октябрь,
при этом большинство из наводнений происходят в верхней долине. На территории
бассейна реки Сенегал проживают 2,5 млн. человек, 700 тыс. человек из которых
зависят от годового цикла наводнений. Благодаря постройки плотины Манантали
количество и площадь наводнений заметно снизились. В основном наводнения
происходят в сезон дождей. В это время повышаются уровни и река выходит за
пределы своей долины. Особенно наводнения отражаются на экономиках стран.
Наводнения обычно могут длиться около 15 дней.[4]
Рис. 2.2. Площадь затопляемых территорий.
2.4 Сток растворенных веществ, загрязнение реки
Река высоко минерализирована в летне-осенний период во время сезона
дождей. В остальной период минерализация небольшая.
В основном река загрязнена пестицидами и удобрениями. Огромное количество
загрязняющих веществ находится в районах орошения и аграрно-промышленных
регионах: в дельте и низовьях реки. На левом берегу реки Сенегал отмечена
высокая концентрация остатков пестицидов, сбрасываемых в реку от дренажных вод
орошаемых культур. Кроме того, на правом берегу было замечено, что на развитие
орошаемого рисоводства тратится большое количество пестицидов, гербицидов,
фунгицидов и других химических веществ, которые загрязняют реку. С ростом
городов растут и бытовые стоки, однако точного подсчета данных стока нет. С
точки зрения промышленных сбросов, наиболее заметным примером служит дренаж
воды, обычно используется около 90 000 м³ дренажных вод в сутки. Загрязнения
от добычи отмечены, в частности, в горных районах. В Гвинейской части бассейна
находится предприятия по добычи бокситов. В Мали представлены предприятие по
добыче золота. Все эти предприятие использую химические методы обработки,
поэтому загрязнение от данных объектов будет вносить свои загрязняющие
вещества.
2.5 Изменение гидрографической сети, гидрологического режима
и экологических условий Рис 2.3 . Динамика уровней воды на плотине Диама
Рис 2. 4. Изменение расходов воды на г/пБакель
3.Характеристика устьевой области
.1 Особенности устьевой области реки
Рис. 3.1. Спутниковый снимок устьевой области реки Сенегал
Современная устьевая область реки Сенегал относится к
эстуарово-дельтовому типу и включает дельту и эстуарий. Вершина дельты реки
Сенегал находится в 10 км ниже города Ричардс-Толл и в 130 км от выхода реки в
океан (устьевого створа). В вершине дельты река разделяется на два рукава:
Сенегал (главный, правый, длиной 104 км до вершины Эстуария) и Лампсар
(боковой, левый). Еще один рукав- Гором, отделяется от главного рукава Сенегал
в 25 км ниже вершины дельты. Дельта реки малорукавная. Все её рукава
сосредоточены в левобережной зоне. Ниже впадения рукава Лампсар в главный рукав
Сенегал сформировалось единое русло, ограниченное слева континентальным
берегом, а справа- песчаной волноприбойной Берберийской косой. Ниже по течению
это русло расширяется и образует узкий эстуарий. До октября 2003 г. эстуарий
Сенегала через узкий пролив соединялся с Атлантическим океаном в 26 км ниже
г.Сен-Луи. В последние годы новым устьевым створом считается искусственный
канал, расположенный в 7 км ниже города Сен-Луи. Часть эстуария длинной 19 км,
ограниченная новым и старым устьевыми створами, находится в стадии формирования
лагуны. [5]
Рис. 3.2. Карта устьевой области реки Сенегал
Устьевая область реки Сенегал, имеющая в своем составе и дельту, и
эстуарий, относится к блокирующим устьям. Устье реки Сенегал блокировано
огромной (длинной от 24 до 30 км, шириной от 120-400 м до 3,4 км и не более 10
м высотой) Берберийской косой (Ланг-де-Барбари), сформированной мощным
вдольбереговым потоком наносов с севера, обязанным своим происхождением
преобладающими северо-западным ветрам и сильному волнению того же направления.
Площадь дельте меняется по разным оценкам она изменяется от 1500 км² до 4254 км². [5]
3.2 Краткая характеристика природных ресурсов устья реки и их
использование
В хозяйственной деятельности в пределах устьевой области можно выделить
три основных направления: сельское хозяйство, рыболовство, торговля и
судоходство.
Климатические особенности бассейна реки Сенегал способствуют практически
к круглогодичной вегетации растений. Поэтому главной отраслью сельского
хозяйства является растениеводство. В дельте реки выращивают сахарный тростник,
арахис, корнеплоды.
Рыболовство в устьевой области осуществляется в течении всего года и
подразделяется на промышленное и частное, а также на морское и речное.
Промышленный отлов рыбы (в основном тунца), а также креветок проводится в основном
на прилегающем к устью реки участке Атлантического океана. В эстуарии и дельте
большое развитие имеет частное рыболовство. В устье реки Сенегал находится г.
Сен-Луи, один из самых крупных портов на западном побережье Африки.
Рис. 3.3 . Хозяйственная деятельность людей в устьевой области
3.3 Хозяйственная деятельность в пределах устья
На реке Сенегал построены две плотины Манантали (на притоке Бафинг в 1988
г.) и Диама. Образовавшиеся водохранилище Манантили позволяет накапливать до
11,5-12 км³ воды. Оно предназначено для поддержания постоянного расхода
воды реки не менее 300 м³/с. Водные ресурсы водохранилища Манантали также
используются для орошения прилегающих земель (до 275 тыс. га), поддержания
судоходства до города Каес и производства электричества (800 ГВт/год). Плотина
Диама в первую очередь предназначена для предотвращения проникновения соленных
вод в русло реки под действием приливов, особенно в меженный период.
Образованное выше плотины водохранилище площадью 235 км² и объемом 250 млн. м³ используется в основном для орошения
240 тыс.га прилегающих земель в Сенегале и Мавритании и пополнении пресной
водой из озера Гьер (Сенегал) и Ркиз (Мавритания) через соединительные каналы.
Вниз по течению от плотины Диама вплоть до эстуария оба берега реки Сенегал
обвалованы, что позволяет проводить самотечное орошение низменных земель
дельты. Постоянное в течение всего года орошение близлежащих к реке земель дает
возможность выращивать в бассейне влаголюбивые культуры: рис, томаты. Однако
интенсивное применение минеральных удобрений привело к увеличению загрязнению
вод реки (вплоть до нарушений санитарных норм), с которыми не справляются
очистительные сооружения. Строительство плотины Диама привело также к
затоплению мавританской части дельты реки Сенегал, что вызвало временное
обострение между Сенегалом и Мавританией.
Судоходство на реке Сенегал продолжается и после строительства плотины
Диама. Проход морских судов вверх по течению осуществляется через систему
шлюзов. Для поддержания необходимых глубин ежегодно проводятся в районе плотины
дноуглубительные работы.
Рис.3.4. Плотина Диама.
3.4 Основные особенности режима приемного водоема в районе
устья реки
Рис 3.5. Динамика береговой линии в устьевой области реки Сенегал
В XIX и XX вв. началось нарастание Берберийской косы, что связано с
интенсивностью эрозии потока, а также увеличением наносов в устьевой области. В
настоящее время нарастание Берберийской косы в южном направлении продолжается.
После сооружения плотины Диама интенсивность роста косы в среднем составляла
550 мм/год. За 1986 по 1990 коса наросла к югу на 3,5 км, а к 2002 году её
длина превысила 30 км. С ростом косы изменялось положение устья эстуария
(устьевого створа). С этим связаны различия в определении расстояния от выхода
эстуария в океан до города Сен-Луи: до 1986 года город находился в 22, а в 2003
г.- в 26 км от устья эстуария.
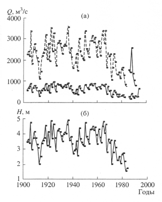
Рис. 3.6 . Многолетние изменения уровней и расходов воды в устьевой
области реки Сенегал. (г/п, Сен-Луи)
Изменения уровней воды, а также расходов связано в основном до 1986 в
особенности чередованием засушливых периодов и многоводных периодов,
приносивших нередко большие по площади наводнения. На рисунке 3.6. видно, что в
периоды 1918-1920, 1931-1933,1940-1943, и.т.д. наблюдались минимальные уровни
воды и расходы воды, вызванные засухой. В то же время наблюдаются и многоводные
периоды. После 1986 уровни и расходы начинают снижаться в связи со
строительством плотины Диама. [5]
Таблица 3.1. Гидрологические характеристики пункта Дагана (устьевая
область)
Г/п
Площ. бас, тыс. км²
Период наблюдений
Расход воды, м³/с
Объем стока км³/год
Слой стока мм/год
Среднег.
Максим.
Миним.
Дагана
268
1903-1974
730
3260
4.0
23.0
85.8
1903-1984
641
3570
-
20.2
75.4
3.5 Современные гидрологические процессы в устьевой области
Сезонные изменения водного режима. Средний годовой расход воды р.Сенегал
в устье (г.Сен-Луи) составляет 640 м³/с, ему соответствует объем стока в
20.2 км³/год. В зависимости от количества
осадков, выпадающих из территории бассейна реки, объем стока воды может
значительно изменяться от года к году (от 1 до 45 км³/год). В период половодья устьевая область
р. Сенегал превращается в огромное озеро с небольшими островками и
торчащими над водой верхушками затопленных деревьев. По мере спада воды в
эстуарии возможно образование сети временных русел среди обширных мангровых
зарослей. После строительства плотины Диама естественный водный режим устьевой
области р. Сенегал уступил месту зарегулированному. Попуски осуществляются
только в период половодья, что способствует возникновению периодических
наводнений в г. Сен-Луи, особо значительных в 1994, 1999 и 2003 годах. В
остальное время года затворы в плотине закрыты, поэтому в дельте реки ниже
плотины Диама и в эстуарии господствуют морские воды, приносимые приливами. В
то же время выше плотины воды р. Сенегал остаются пресными в течении всего
года, поскольку она блокирует продвижение осолоненных морских вод в реку.
В период естественного водного режима приливы в межень распространялись
вдоль реки на довольно большие расстояния - 400 или даже 450 км. Средняя
величина прилива до сооружения плотины Диама в сизигию и квадратуру по данным
постепенно уменьшалась от 1.15 до 0.55 м в устьевом створе до 0.80 и 0.30 на
г/п Сен-Луи. Экстраполяция данных с других г/п позволила выявить предельную
дальность распространения приливов в реки до сооружения плотины Диама как 470 км
в сизигию и 400 км в квадратуру. Основными причинами распространения приливов
на такое расстояние по реке до 1986 г. являлись особенностями водного режима
реки Сенегал (очень низкая и продолжительная межень), а также крайне
незначительные уклоны водной поверхности. В среднем километрическое падение
реки Сенегал составляет 2.1 см/км, достигая 8 см/км, и снижаясь в дельте до 0.5
см/км.
В сухой сезон в устьевом участке Сенегала до 1986 года ежегодно
наблюдалось проникновение осолоненных вод. Так, например, в 1981-1982 гг.
соленость воды в эстуарии повысилась с 10 в марте до 35 ‰ в середине мая, а в
1983 г. соленость 35 ‰ наблюдалась на реке на расстоянии 80 км от устьевого
створа. Морские воды со среднее соленостью 35 ‰ начинали проникать в русло реки
при снижении расхода воды Сенегала меньше 500-600 м³/c. В период, когда расход воды составлял менее 50 м³/с или сток в реке прекращался,
осолоненные воды распространялись в реку на расстояние до 300 км. В начале
следующего половодья развитие процесса интрузии прекращалось, и нарастание
расходов воды реки приводило к быстрому вытеснению осолоненных вод из русла. До
нового снижения расходов воды реки вода в русле оставалась пресной с
минерализацией 60-70 в эстуарии и 35-40 мг/л в дельте и нижнем участке реки.
Подобные периодические сезонные процессы осолонения и опреснения устьевого
участка р. Сенегал согласно данным наблюдениям в 1903-1983гг. происходили
ежегодно. Особенно значительное осолонение вод реки отмечалось в период сильной
засухи в 1975-1983 гг. Процессы проникновения морских вод на большие расстояния
в реку прекратились после перекрытия ее русла временной плотины Рён в 1983г. В
1984 из-за размытия первой плотины была построена вторая плотина. В маловодный
период года морские воды могли распространяться вверх по реке только до этой
плотины. После сооружения капитальной плотины Диама в 54 км ниже плотины РёнII в августе 1986 г. протяженность
участка проникновения морских вод еще больше сократилась. Однако и по сей день
происходит проникновение морских вод в русло реки, нанося довольно значимые
экономические потери (прежде всего потери воды на орошение).
Место выхода эстуария в океан постоянно изменяется под действием двух
основных процессов: нарастание Берберийский косы к югу и ее прорывов. Прорывы
Берберийской косы в период особо высокого половодья или при длительных морских
штормах и торнадо могут привести к образованию нового устья эстуария. В 1850
-1900 гг. было зафиксировано семь прорывов косы. Наиболее значительный согласно
данным произошел в 1894 году и сопровождался разрушением песчаной косы на
участке длинной до 4 км. Начиная с 1900 г., отмечено 13 прорывов косы, наиболее
значительные из которых произошли в 1959 и 1973 гг.
3.6 Термический режим устья реки
Как можно наблюдать по графику температура воды изменяется в течение года
довольно широко. В зимний период температура воды составляет около 22 °С и
снижается к марту месяцу до 19,5 °С, затем температура повышается благодаря
нагреву поверхности. Температура растет до сентября, максимум температуры наблюдается
в сентябре и составляет 28 °С. После чего температура понижается до 22 °С.
Рис. 3.7 . Изменение температуры воды в устьевой области реки Сенегал
(г/п. Сен-Луи)
3.7 Гидрохимический режим устьевой области
Сток растворенных веществ в устье Сенегала в условиях естественного
водного режима колебался в зависимости от водности года от 340 до 500 тыс.
тонн/год. Солевой состав вод на границе река-море, осредненный за год можно
рассмотреть в таблице 3. . В период половодья концентрация иона HCO₃¯ достигала 25 мг/л при этом
существенно снижалось содержание иона CL¯ - до 15 мг/л. В межень состав воды в
эстуарии принимал морской тип, появлялись сульфаты (морского происхождения), а
концентрация катионов в эстуарии в течении года зависят от их происхождения.
Ионы морского происхождения Na+ и K+ преобладают в меженный период, а
ионы речного происхождения Ca²+ и Mg²+ - в период половодья. Содержание в воде эстуария
силикатов растет в период повышенного речного стока и снижается по мере
смещения речных и морских вод и роста концентрации хлоридов. [4]
Взвешенные наносы, поступающие в эстуарий реки Сенегал, имеют двойное
происхождение: речное (наносы, приносимые рекой в ее устье) и морское (взвеси,
поступающие в устье во время приливов). Взвешенные наносы речного происхождения
являются продуктами эрозии долины и русла реки, а также дождевого смыва
верхнего слоя почвы. Объем их выноса в первую очередь зависит от стока воды и
мутности, позволяющей отнести Сенегал к рекам с высокой мутностью. Сток наносов
имеет значительную внутригодовую изменчивость. В течении августа-октября в
эстуарий поступает до 95 % количества взвешенных наносов, большая часть которых
выносится в океан, причем половина годового стока приходится на сентябрь. Это хорошо
заметно на космических снимках, на которых видна мутная прибрежная зона океана
вблизи устья реки Сенегал. [5]
В составе взвешенных наносов в течение года преобладают глинистые частицы
(от 65 до 93 %). В среднем гранулометрический состав взвешенных наносов в устье
р.Сенегал следующий: 76- глины (<2 мкм), 14,2 - очень тонкие илы (2-5 мкм),
5- тонкие илы (5-10 мкм), 2.6- средние илы (10-20 мкм), 1.9 - грубые илы (20-50
мкм) и 0.3 % - песок (50 - 65 мкм). Такое распределение взвесей по составу
характерно для аналогичных африканских рек Гамбии, Бандамы и Шари. Сезонные
изменения состава наносов слабо выражены. Содержание тонких глин и илов
незначительно снижается на пике и спаде половодья. Это связано с уменьшением
скоростей потока и характером состава грунта берегов, подверженных эрозии в
половодье.
В минеральном составе частиц взвешенных наносов доминируют кварц,
каолинит, илит. В основном взвешенные наносы состоят из силикатов (50.2 %) и в
достаточном объеме находятся Al
(24) BFe (9.7 %). В незначительном количестве
в составе наносов присутствуют Mg
(1.2), K(1.7), а также Ca(0.3) и Na(0.2%). Среди микроэлементов выделяются Mn, Ba, Zr, Ni и другие. Нерастворенные
органические вещества составляют в устье р.Сенегал только 1.2-2.4% объема
взвешенных наносов. Донные отложения представлены главным образом песком, на
долю которых приходится 75-95%.
Заключение Список литературы
. Gac
J.-Y.,Carn M.,Saos J.-L. L-invisaion marine dans la bassevallee du fleuve
Senegal I-Periode 1903-1980// Rev. Hydrobiol.Trop. 1986.V.19.№ 2. P. 3-17
. Gac
J.-Y.,Carn M.,Saos J.-L. L-invisaion marine dans la bassevallee du fleuve
Senegal II-Periode 1980-1983// Rev. Hydrobiol.Trop. 1986.V.19.№ 2. P. 93-108
. Gac
J.-Y., Kane A. Le fleuve Senegal I. Bilanhydrologique et flux continentaux de
matiries particularizes a l’embouchure// Sci.Geol.bull 1986 V.39.№ 1. P. 99-130
. Gac
J.-Y., Kane A. Le fleuve Senegal II. // Sci.Geol.bull 1986 V.39.№ 1. P. 99-130
. Dumas
D., Mietton M. Fonctionnement des hydrosystemes et gestion de l’eaudans le bas
delta du fleuve Senegal: ruptures et adaptations // Interactions
Nature-Societe, analyse et models. 2006
6. Браун
Лесли Африка М.,1976.
. Климатически
справочник Африки. Под ред. д-ра геогр. наук А.Н.Лебедева Л, Гидрометеоиздат,
1967
. Кашин
Ю. С. Сенегал М.,1973
. Гожев
А. Рельеф и геологическое строение Африки Л., 1967
. Маринов
Н.А. Гидрогеология Африки М., 1978
Список сайтов
11. www.grdc.bafg.de
<http://www.grdc.bafg.de>
. <http://iwlearn.net/iw-projects/1109/reports/transboundary-diagnostic-environmental-analysis-of-the-senegal-river-basin>
. <http://www.fao.org/nr/clim/docs/clim_080502_en.pd>
. <http://webworld.unesco.org/water/wwap/case_studies/senegal_river/senegal_river.pdf>
