Материал: Фосфорилювання 1,2-дизаміщених імідазолів

Внимание! Если размещение файла нарушает Ваши авторские права, то обязательно сообщите нам

Фосфорилювання 1,2-дизаміщених імідазолів

Національна академія наук України

Інститут органічної хімії

Гур′єва Анастасія Миколаївна

УДК 547.241+547.76./.79+547.87’89








Фосфорилювання 1,2-дизаміщених імідазолів

.00.03 - Органічна хімія

АВТОРЕФЕРАТ

дисертації на здобуття наукового ступеня

кандидата хімічних наук







Київ-2010

Дисертацією є рукопис.

Робота виконана у відділі хімії фосфороорганічних сполук Інституту органічної хімії НАН України.

Науковий керівник: кандидат хімічних наук, старший науковий співробітник Юрченко Олександр Олексійович, Інститут органічної хімії НАН України, м. Київ, завідувач лабораторії хімічних процесів під тиском відділу хімії фосфороорганічних сполук.

Офіційні опоненти: доктор хімічних наук, старший науковий співробітник Онисько Петро Петрович, Інститут органічної хімії НАН України, м. Київ, провідний науковий співробітник відділу хімії елементоорганічних сполук, доктор хімічних наук, професор Войтенко Зоя Всеволодівна, Київський національний університет імені Тараса Шевченка, м. Київ, професор кафедри органічної хімії.

Захист дисертації відбудеться „4 ”листопада 2010 р. о 12 годині на засіданні спеціалізованої вченої ради Д 26.217.01 в Інституті органічної хімії НАН України (02094, Київ-94, вул. Мурманська, 5), факс (044) 573-26-43.

З дисертацією можна ознайомитись у науковій бібліотеці Інституту органічної хімії НАН України.

Автореферат розісланий „ 9 ” вересня 2010 р.

Вчений секретар спеціалізованої

вченої ради Д 26.217.01

доктор хімічних наук, професор Вовк М. В.

ЗАГАЛЬНА ХАРАКТЕРИСТИКА РОБОТИ

Актуальність теми. Інтенсивний розвиток хімії фосфорильованих імідазолів визначається зростанням інтересу до застосування цих сполук у біо- та координаційній хімії, фармакології та сільському господарстві. На їх основі одержані комерційно доступні фосфінові ліганди для металокомплексних (Pd-, Ru-) каталізаторів реакцій С-С сполучення, гідрування альдегідів та гідратації термінальних алкінів. Вони також використовуються як напівпродукти у синтезі метаболітичних регуляторів і пестицидів, як іонні рідини та для створення комплексів, що моделюють функції металоферментів.

До 80-х рр. минулого століття головним інструментом синтезу С-фосфорильованих п’ятичленних гетероциклів був метод гетероциклізації ациклічних фосфоровмісних компонентів. Дещо пізніше для цієї мети почали використовувати реакції літійзаміщених азолів з хлороангідридами кислот фосфору (III) та (V). В останні десятиліття розроблено спосіб прямого фосфорилювання гетероциклічних систем галогенідами фосфору (III) в основному середовищі. Цей підхід виявився досить ефективним та препаративно доступним для одержання фосфорильованих похідних низки азагетероциклів: піролу, індолу, індолізину, піразолу, триазолу, бензтіадиазолу, імідазо[1,2-а]піридину тощо. Зокрема, було показано можливість одержання різноманітних 2-фосфорильованих похідних 1-алкілімідазолів.

На сьогоднішній день запропоновано декілька підходів до синтезу естерів імідазоліл-4(5)-фосфонових кислот, але вони не мають широкого застосування. Невідомими серед фосфорильованих імідазолів є такі ключові функціональні сполуки як галогено- та дигалогенопохідні. Враховуючи, що реакції ацилювання імідазолів, що мають заміщене положення 2, взагалі маловивчені, можливість прямого С-фосфорилювання таких імідазолів та його регіоселективність були неоднозначними. Таким чином, актуальність дослідження взаємодії 1,2-заміщених імідазолів з галогенідами фосфору (III) з метою синтезу 4(5)-фосфорильованих похідних є науково та практично обґрунтованою.

Мета і завдання дослідження. Мета роботи полягала в дослідженні фосфорилювання 1,2-дизаміщених імідазолів галогенідами фосфору (III), розробці селективних методів одержання 4- та 5-фосфорильованих похідних 1,2-дизаміщених імідазолів.

Для досягнення цієї мети були поставлені наступні завдання:

вивчити взаємодію 1,2-дизаміщених імідазолів з моно-, ди- та тригалогенофосфінами;

визначити вплив замісника у положенні 2 імідазолу на легкість фосфорилювання;

встановити положення атома фосфору в молекулі синтезованих сполук;

експериментально обґрунтувати та підтвердити механізм реакції;

вивчити хімічні властивості отриманих сполук, в тому числі вплив фосфоровмісного замісника на реакційну здатність вільних положень імідазольного кільця;

Об’єкт дослідження: 1,2-дизаміщені імідазоли, галогеніди фосфору (III).

Предмет дослідження: фосфорилювання 1-метил-2-(R)-імідазолів галогенідами фосфору (ІІІ), хімічні перетворення N(3)-фосфорильованих імідазолієвих солей та 1,3-диметил-5-фосфорилімідазолієвих солей.

Методи дослідження: органічний синтез, елементний аналіз, ЯМР-спектроскопія на ядрах 1Н, 31Р, 13С, ЕІ мас-спектрометрія, рентгеноструктурне дослідження, тонкошарова хроматографія.

Зв′язок роботи з науковими программами, планами, темами. Робота виконувалась відповідно планів бюджетних науково-дослідних тем відділу хімії фосфороорганічних сполук Інституту органічної хімії НАН України 2004-2006 рр. «С-Фосфорильовані 1,3-азоли. Синтез та властивості» (№ держреєстрації 0104U000605), 2007-2010 рр. «Розроблення синтетичних принципів побудови елементоорганілвмісних азотистих гетероциклів» (№ держреєстрації 0107U000055).

Наукова новизна отриманих результатів. Вперше знайдено, що взаємодія 1,2-дизаміщених імідазолів з галогенідами фосфору (III) приводить до 5-фосфорильованих похідних. З’ясовано, що легкість фосфорилювання імідазолів знижується зі зменшенням (NMe2> SMe> i-Pr> Ph) електронодонорних властивостей замісника у положенні 2 імідазолу.

Показано, що регіоселективність реакції 1,2-дизаміщених імідазолів з PCl3 (або PBr3) при утворенні трис(імідазоліл)фосфінів зберігається за наявності у положенні 2 імідазолу диметиламіногрупи, в інших випадках утворюється суміш 4- та 5-заміщених похідних з переважанням останніх.

Встановлено, що фосфорилювання як 1-, так і 1,2-заміщених імідазолів відбувається через утворення N-фосфорильованих імідазолієвих солей. При їх взаємодії з основами здійснено синтез 5-фосфорильованих імідазолів або, за наявності вільного положення 2, раніше невідомих N-фосфорильованих імідазолієвих карбенів.

На основі термічного розкладу хлоридів 1,3-диметил-5-селенофосфорилімідазолію розроблено препаративно зручний метод синтезу 4-фосфорильованих імідазолів з незайнятим положенням 5.

Показано, що 4-фосфорильовані імідазоли є більш активними сполуками у порівнянні з 5-фосфорильованими аналогами внаслідок збереження реакційної здатності вільного положення 5. Шляхом хімічних перетвореннь амідів та хлороангідридів імідазоліл-4-фосфоністих кислот здійснено синтез нових типів гетероциклічних систем: похідних 4λ3(5), 8λ3(5)-дифосфо-s-індацену та 4,5-бісфосфорильованих імідазолів.

За допомогою комплексного порівняльного аналізу спектральних характеристик 4- та 5-фосфорильованих 1,2-дизаміщених імідазолів встановлено, що значення хімічних зсувів ядер фосфору у спектрах ЯМР 31Р та атомів С-4 та С-5 у спектрах ЯМР 13С є достовірним критерієм для їх ідентифікації спектральними методами.

Практичне значення одержаних результатів полягає в розробці препаративно зручних методів синтезу 4- та 5-фосфорильованих похідних імідазолу як з три- так і з п′ятивалентним атомом фосфору. Зокрема, вперше одержані відповідні 4- та 5-дигалогенфосфіноімідазоли, а також 4,5-біс (тетрахлоро)фосфіноімідазоли. На основі N-фосфорильованих імідазолієвих солей запропоновано синтетичний підхід до стабільних N-фосфорильованих імідазол-2-іліденів.

Особистий внесок дисертанта. Систематизація літературних даних, основний обсяг експериментальної роботи, узагальнення отриманих результатів, аналіз спектральних досліджень та формулювання висновків дисертаційної роботи виконані особисто здобувачем. Постановка задачі та обговорення результатів проведені із науковим керівником к.х.н. О.О. Юрченком, окремих етапів роботи разом з к.х.н. А.П. Марченком та д.х.н., проф. О.М. Пінчуком. Синтез деяких сполук та встановлення їх будови виконано у співпраці з к.х.н. А.П. Марченком та к.х.н. Г.М. Койданом. Спектральні дослідження проведені в співпраці з к.х.н. В.В. Піроженком та інженером Кудрявцевим О.О. Рентгеноструктурний аналіз здійснено д.х.н. О.М. Чернегою та к.х.н. Е.Б. Русановим.

Апробація роботи. Результати роботи були представлені і доповідались на V Всеукраїнській конференції молодих вчених та студентів з актуальних питань хімії (м. Дніпропетровськ, 2007 р.), 15-й Міжнародній конференції з хімії фосфору, присвяченій 100-річчю з дня народження М. Кабачника, (м. Санкт-Петербург, Російська Федерація, 2008 р.), ХХІ Українській конференції з органічної хімії (м. Чернігів, 2007 р.), V Міжнародній конференції з Хімії азотовмісних гетероциклів, “ХАГ-2009” (м. Харків, 2009 р.).

Публікації за темою дисертації. За результатами дисертаційної роботи опубліковано 4 статті у фахових журналах, тези 4 доповідей на конференціях та отримано 1 патент України.

Структура і обсяг роботи. Зміст дисертації викладений на 144 сторінках машинописного тексту. Робота складається із вступу, літературного огляду (розділ 1), обговорення одержаних результатів (розділи 2, 3, 4), експериментальної частини (розділ 5), висновків, переліку використаних джерел (124 найменування), містить 67 схем, 7 малюнків та 17 таблиць.

ОСНОВНИЙ ЗМІСТ РОБОТИ

У першому розділі узагальнено та систематизовано літературні дані, що стосуються методів синтезу С-фосфорильованих імідазолів.

У другому розділі викладено результати систематичного дослідження фосфорилювання 1,2-дизаміщених імідазолів галогенідами фосфору (ІІІ) в піридині, в результаті якого розроблено синтетичний підхід до галогенорганіл- та дигалогено(імідазоліл-5)-фосфінів - зручних вихідних сполук для одержання функціоналізованих імідазоліл-5-похідних з тривалентним атомом фосфору.

Третій розділ присвячений синтезу і вивченню властивостей N-фосфорильованих 1- та 1,2-заміщених імідазолієвих солей, що дозволило підтвердити механізм реакції імідазолів з галогенідами фосфору Р(III) та здійснити оригінальний синтез нового типу N-фосфорильованих імідазолієвих карбенів.

В четвертому розділі розглянуто новий синтетичний підхід до 4-фосфорильованих імідазолів та їх хімічні властивості.

П′ятий розділ вміщує методики синтезу отриманих сполук.

Фосфорилювання 1-метил-2(R)-заміщених імідазолів галогенідами фосфору (III). Синтез та хімічні властивості 5-фосфорильованих 1-метил-2(R)-імідазолів.

Предметом нашого дослідження були 1-метил-2-(R)-імідазоли 1а-г з різними за електронодонорними властивостями замісниками у положеннні 2 гетероциклу [R=NMe2 (a), SMe (б), i-Pr (в), Ph (г)]. Як фосфорилюючі реагенти використані тригалогено-, дигалогенофеніл-, галогено- дифенілфосфіни (Cl, Br) та функціоналізовані дихлорофосфіни (CCl3-, CCl2=CCl-). Знайдено, що імідазоли 1а-г реагують з тригалогенофосфінами та менш електрофільними феніл- та дифеніл(галогено)фосфінами з утворенням 5-фосфорильованих похідних 2-5. Легкість взаємодії знижується зі зменшенням електронодонорної здатності замісника у положенні 2. Імідазол 1а, який містить диметиламіногруппу, є найбільш активним та фосфорилюється навіть при кімнатній температурі. Взаємодія імідазолу 1а з трихлороетенілдихлорфосфіном ССl2=СClPCl2 легко проходить з утворенням хлорофосфіну 5 або відповідного біс(імідазоліл-5)-трихлороетенілфосфіну в залежності від співвідношення реагентів.

Таблиця 1 - Реакційна здатність 1,2-дизаміщених імідазолів відносно RnPСl 3-n

R =

NMe2 (a)

SMe (б)

i-Pr (в)

Ph (г)

PCl3

20 ºC 2 год

100 ºC 3 год

100 ºC 15 год

100 ºC 48 год


92 %

90 %

70 %

62 %

PhPCl2

65 ºC 48 год

-

130 ºC 72 год


44 %

45 %


55 %

Ph2PCl

20 ºC 20 год

н. р.

-

н. р.


84 %

0


0


Рис. 1

Використання вихідного імідазолу у ролі акцептора хлороводню сприяє зростанню виходів цільових продуктів 2-6, оскільки в присутності триетиламіну, на відміну від фосфорилювання 1,3-азолів PHal3 по мезо-положенню, спостерігається значне осмолення реакційної суміші.

За наявності в положенні 2 імідазолу диметиламіногрупи введення до атома фосфору трьох імідазольних залишків взаємодією з PCl3 або PBr3 відбувається регіоселективно і приводить до трис(імідазоліл-5)-фосфіну 7а. В разі інших замісників, згідно з даними спектрів ЯМР 31Р (у піридині), утворюється суміш двох третинних фосфінів 7 і 8 у співвідношенні ~3:1.

Рис. 2

Структуру відповідних фосфіноксидів - симетричного 9г та несиметричного 10г (рис. 1), було встановлено даними РСА і, тим самим, підтверджено будову вихідних фосфінів 7г та 8г. Стосовно фосфінів 7б та 8б, а також їх фосфіноксидів 9б і 10б, то будова цих сполук узгоджується з даними спектрів ЯМР 31Р, 1Н та 13С.

Фосфорилювання прискорюється в присутності еквімолярної кількості LiBr. При цьому для 1б реакція з PBr3 відбувається у більш м′яких умовах (впродовж 7 діб при 30ºС проти 4 діб при 70ºС), а для 1г − її час скорочується з 7 до 3 діб при 75ºС. Співвідношення ізомерів і в цьому разі не змінюється.

Рис. 3 - Молекулярна структура

Рис. 4 - Молекулярна структура фосфіноксиду 10 г амідотіофосфонату 17

Вперше синтезовані нами імідазолілзаміщені галогенофосфіни 2-5 є зручними вихідними реагентами для одержання інших типів похідних фосфору (ІІІ), зокрема, амідів 11, 12, естерів 13, третинних фосфінів 14 та фосфінітів 15, 16. Дією стандартних окиснюючих реагентів (перекису водню, гексахлороетану, фенілазиду тощо) на їх основі одержано низку похідних фосфору (V). Наприклад, імідазоліл(тетраетил)амідофосфоніт 12 (R=SMe) легко приєднує сірку з утворенням амідотіофосфонату 17. Положення атома фосфору в похідних імідазолу 2-16 біля С-5 атому імідазольного циклу встановлено РСА тіофосфонату 17 (рис. 5).

Рис. 5

Дихлорофосфін 2а вступає у реакцію трихлорометилювання з утворенням фосфіну 18. Зауважимо, що при використанні іншого способу - фосфорилювання імідазолу 1а трихлорометилдихлорфосфіном - вихід цього продукту сягає лише 26%. Особливий інтерес для нас мало вивчення подальших перетворень цієї поліфункціональної сполуки. Показано, що послідовна взаємодія фосфіну 18 з аніліном та селеном приводить до селенофосфонату 19, який легко реагує з вторинними амінами, наприклад диметиламіном, з утворенням С-фосфорильованого формамідину 20. Останній легко відновлювлюється до похідної 21 з тривалентним атомом фосфору. Таке перегрупування є загальною властивістю сполук, що містять фрагмент ССl3-Р(V)-NН-Аr, та, на відміну від інших відомих методів, дозволяє одержувати С-фосфорильовані амідини з високим виходом та чистотою.

Рис. 6

фосфорильовані імідазолієві солі як інтермедіати реакції 1- та 1,2-заміщених імідазолів з R2PНаl

Одержані експериментальні дані спонукали нас до більш глибокого вивчення реакції імідазолів з галогенідами фосфору (ІІІ), зокрема, ми мали на меті з′ясувати природу інтермедіатів цієї реакції та їх роль в утворенні кінцевих продуктів. Раніше вже було зроблено припущення (Tolmachev A. A., Yurchenko A. A. et al. Heteroatom Chem. 1999, 10 (7), 585), що фосфорилювання N(1)-алкілімідазолів галогенодифенілфосфінами (Cl, Br, I) в піридині, подібно до їх ацилювання хлороангідридами карбонових кислот (Regel, E., Büchel, K.-H. Justus Lieb. Ann. Chem. 1977, 1, 145), відбувається з початковим утворенням N-фосфорильованих імідазолієвих солей. Однак, цей висновок не мав експериментального підтвердження.

Нами знайдено, що в хлористому метилені при взаємодії імідазолів 1г, д з Ph2PBr утворюються броміди імідазолію 22г, д - безбарвні кристалічні сполуки, частково розчинні в диетиловому етері та вуглеводневих розчинниках.

Встановлено, що реакція броміду 22г з диметиламіном супроводжується розщепленням зв′язку Р-N з утворенням суміші вихідного імідазолу 1г та амідофосфінату 23. При використанні просторово утрудненної основи - гексаметилдисилазаніду натрію - нуклеофільна атака атома фосфору ускладнюється, внаслідок чого основним кінцевим продуктом є 5-фосфорильований імідазол 24. Як і очікувалось, імідазолій бромід 22д в реакції з триетиламіном перетворюється у 2-дифенілфосфіноімідазол 26. У випадку заміщеного положення 2 спостерігається міграція фосфіногруппи у положення 5 гетероциклу з утворенням відповідно 5-фосфорилпохідної 24.

Рис. 7

Хлорофосфіни (Ph2PСl, t-Bu2PCl) не утворюють стійких проміжних аддуктів, що, на нашу думку, обумовлено зворотним перебігом реакції внаслідок високої нуклеофільності аніона хлору. Нами розроблені методи одержання аналогічних стійких солей, що містять трифлат-аніон. Сполука 27 легко утворюється при послідовній взаємодії імідазолу 1г з силіловим естером трифторметансульфокислоти та Ph2PСl. У присутності TfONa в ТГФ (див. схему нижче) t-Bu2PCl та 1-алкілімідазоли 1д, ж вступають в реакцію з утворенням солей імідазолію 30д, ж. Імідазоли 1а, г також легко реагують з катіоном фосфенію (i-Pr2N)2P+ OSO2CF3 ¯, утворюючи з високим виходом трифлати імідазолію 28а, г. Надалі показано, що солі такого типу в реакції з гексаметилдисилазанідом натрію перетворюються в 5-фосфорильовані імідазоли 29а, г, які не вдалося синтезувати прямою взаємодією імідазолів 1а, г з (i-Pr2N)2PBr.

Рис. 8

Імідазолієві солі 30, 31 не реагують з триетиламіном, натомість подібно до реакції 1,3-алкілзаміщених азолієвих солей з сильними основами при їх взаємодії з гексаметилдисилазанідом натрію були одержані раніше невідомі N-фосфорильовані імідазолієві карбени 32, 33.

Рис. 9


1, 30, 32, 34

1, 31, 33, 35


д

ж

д

е

ж

R

Me

t-Bu

Me

P(NPr2-і)2

t-Bu

R'

t-Bu

t-Bu

i-Pr2N

i-Pr2N

i-Pr2N


Термічна стійкість карбенів 32, 33 залежить від просторових та електронних ефектів замісників у атомів азоту N(1) гетероциклу та фосфору. Виявилено, що карбен 33д нестійкий, його вдається зафіксувати спектрально (δ ЯМР 31Р 81.0 м. ч.) та хімічно - взаємодією in situ з триметилхлорсиланом. В розчині він стабільний нижче 0 ºC, але при 20 ºC впродовж доби перетворюється в 2-фосфорильований імідазол 35д. Усі інші карбені були виділені в індивідуальному стані і можуть зберігатися впродовж декількох тижнів в атмосфері аргону при 20 ºC. Їх структура надійно підтверджується даними ЯМР спектроскопії. Карбени 32д, ж які мають ди(трет-бутил)фосфіногрупу, навіть переганяються без змін (д: т.кип. 95-100 ºC; ж: т.кип. 80-90 ºC) у глибокому вакуумі (3-5·10-2 мм рт. ст.).

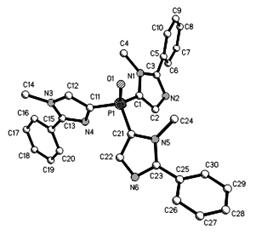
Хімічні зсуви атома двовалентного вуглецю в спектрах ЯМР 13C спостерігаються в дуже слабкому полі (δ 219.0-224.6 м. ч.), що характерно для синглетних імідазол-2-іліденів (δ 205.9-219.6 м. ч.). Будову карбену 33е встановлено також за допомогою рентгеноструктурного дослідження (рис. 3). Молекула є симетричною, величина кута біля карбенового атома вуглецю (102.96 °) та довжина зв’язку N1-C1 (1.3770(19) Å) відповідають області значень для інших імідазол-2-іліденів: θ (N1-C1-N1´) 101.2 - 102.2, N1-C1 1.362 -1.368 Å.

Знайдено, що при нагріванні в бензині при ≥150 ºC стабільні карбени 32д, ж, 33е, ж кількісно ізомеризуються у 2-фосфіноімідазоли 34д, ж, 35е, ж. Цей результат є підтвердженням механізму фосфорилювання N-алкілімідазолів галогенідами фосфору (ІІІ).

Рис. 10 - Молекулярна структура імідазол-2-ілідену 33е

Синтез та хімічні властивості 4-фосфорильованих 1,2-заміщених імідазолів

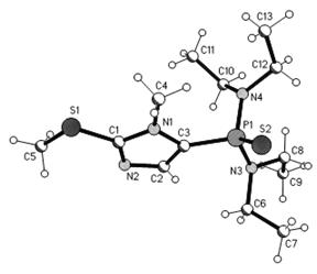
Виявлено, що при нагріванні у вакуумі (10-12 мм рт. ст.) вище температури плавлення 1,3-диметилімідазолій хлориди 22а-в розкладаються з відщепленням хлористого метилу та утворенням як основних продуктів 4-селенофосфонатів 23а-в. Натомість у випадку сполуки 22г в аналогічних умовах утворюється 1,3-диметилтіоімідазолон-2, що є закономірним, враховуючи легкість деалкілування SMe-групи. Будова селенідів 23а-в підтвержена спектральними методами та РСА.

Рис. 11 - Молекулярна структура сполуки 23а

Таблиця 2 - Деякі типові спектральні характеристики сполук 21а та 23а

δ, м. ч. (КССВ, J, Гц)

21а

23а

31Р

61.4

68.4

13С

5-С

119.6 (142)

131.2 (39)


4-С

135.0 (12.5)

131.4 (137)


2-С

158.2 (14)

155.2 (20)

4(5)-Н

7.06

7.51


Порівняльний аналіз спектральних даних похідних 21а-в та 23а-в вказує на можливість визначення 5- та 4-фосфорильованих імідазолів спектральними методами (табл. 2). У спектрах ЯМР 31Р сигнал 4-селенофосфонатів 23а-в спостерігається на ~7 м. ч. у більш слабкому полі. У спектрах ЯМР 13С сполук 23а-в дублет атома С-4 знаходиться в області δ 131.3-136.7 м. ч., з типово великою КССВ, яка

характеризує прямий зв’язок з атомом фосфору. Водночас, хімічний зсув дублету С-5 проявляється в області δ 131.2-135.0 м. ч., що на 10-12 м. ч. у більш слабкому полі в порівнянні з сигналом атома С-5 5-фосфорильованих аналогів 21а-в (δ 119.6-124.2 м. ч.). Таке розташування сигналів атомів С-4 та С-5 засвідчує, що селенофосфорильна група відтягує електронну густину від положення 5 імідазольного ядра та «піридинового» атома азоту. Отже, основність 4-фосфорильованих імідазолів має бути нижчою ніж 5-заміщених похідних, що було використано для розділення суміші ізомерів 21а та 23а за допомогою пікринової кислоти.

Напрямок нуклеофільної атаки протийону в імідазолієвих солях визначається його природою. На відміну від термолізу, при взаємодії хлоридів 27б, в вологим оксидом срібла були одержані фосфорильовані єндіаміни 28б, в, а при наявності диметиламіногрупи у положенні 2 - імідазолон 29. У даному випадку гідроксид-аніон атакує електронодефіцитний центр біля атома С-2 імідазолію внаслідок чого, очевидно, утворюється інтермедіат з sp3-гібридизованим атомом вуглецю, який надалі перегруповується з розкриттям циклу або перетворюється в імідазолон з відщепленням замісника R. У випадку хлорид-йону такий перебіг реакції маловірогідний внаслідок низької стійкості гіпотетичного α-хлороалкіламіну.

імідазол фосфорилювання сполука синтез

Рис. 12

Знайдено, що селенопохідні 23а-в легко відновлюються металічним натрієм у киплячому толуені з утворенням з високим виходом фосфонітів 24а-в, які в реакції з РСl3 були перетворені у дихлорофосфіни 25а-в. На відміну від 5-фосфорильованих аналогів 2а-г, фосфіни 25а-в частково розкладаються підчас перегонки. Найнижою термічною стабільністю характеризується похідна 25а, що, очевидно, обумовлено наявністю вільного положення 5, активованого електронним впливом диметиламіногрупи.

При нагріванні сполук 25а, б в основному середовищі спостерігається утворення дихлоропохідних 4,8-дифосфо-(s)-індацену 30а, б, які шляхом послідовної взаємодії з диметиламіном та селеном або сіркою було виділено у формі диселенидів 32а, б або дисульфіду 33. Відсутність сигналів протонів імідазольного кільця у спектрах ЯМР 1Н сполук 31-33 узгоджується з трициклічною структурою індацену. Водночас, подвоєння сигналів протонів алкільних груп та поява в MS-спектрі диселенидів 32а, б сигналів двох йонів з однаковою масою у співвідношенні 3:1 вказують на утворення суміші ізомерів.

Рис. 13

Рис. 14 - Молекулярна структура 4,8-дифосфоіндацену 33 а

Абсолютне розташування атомів сульфуру в основному ізомері 33а було встановлено за допомогою рентгеноструктурного дослідження На підставі одержаних даних зроблено висновок про утворення суміші Е, Z-ізомерів в процесі нуклеофільного заміщення атомів хлору дифосфініну 31.

Фосфоніти 24 на відміну від ізомерних похідних 11 реагують з t-BuLi, але взаємодія проходить повільно і через 8 год в реакційній суміші залишається ~ 60% вихідного реагенту 24. Знайдено, що літіювання, як і пряме фосфорилювання, каталізується галогенідами літію. Ймовірно, такий ефект спричинений проміжним утворенням солі N-літійімідазолію, завдяки чому металювання фосфоніту 24а в присутності еквімоляної кількості LiCl завершується вже через 4 год і приводить при додаванні (Me2N)2PCl до 4,5-біс(фосфоніл)імідазолу 34. Шляхом відновлення металічним натрієм диселенопохідної 35 було одержано імідазол 34 в аналітично чистому вигляді з виходом 77%, що дозволило синтезувати раніше невідомий біс(тетрахлоро)фосфін 36. Останній належить до типу важливих сполук, що використовуються для створення бісфосфоланових лігандів для реакцій асиметричного відновлювального амінування. 4,5-Біс (дихлорофосфіно) імідазол 36 представляє собою світло-жовту кристалічну речовину (т.топл. 86-88 ºС), що переганяється у вакуумі (т.кип. 135-140 ºС/ 5·10 -2 мм рт. ст.).

Рис. 15

ВИСНОВКИ

Встановлено, що реакція 1,2-заміщених імідазолів з галогенідами фосфору (ІІІ) приводить переважно до 5-фосфорильованих похідних. Вперше одержані моно- та дигалогено(імідазол-5-іл)фосфіни - зручні реагенти для синтезу інших похідних три- та п′ятивалентного фосфору.

З’ясовано, що реакційна здатність імідазолів в реакції фосфорилювання залежить від електронодонорних властивостей замісника у положенні 2 і зростає в ряду Ph < i-Pr < SMe < NMe2.

Показано, що фосфорилювання 1- та 1,2-заміщених імідазолів галогенідами фосфору (ІІІ) відбувається за механізмом, який передбачає початкове утворення N(3)-фосфорильованих імідазолієвих солей.

Знайдено, що солі цього типу характеризуються досить високою лабільністю зв'язку N-Р, а їх стійкість зростає зі зменшенням нуклеофільності аніона (Cl >> Br > OSO2CF3).

Досліджено взаємодію N(3)-фосфорильованих імідазолієвих солей з основами. При наявності замісника у положенні 2 цим методом одержані 5-фосфорильовані імідазоли. Депротонування солей, що мають вільне положення 2, супроводжується утворенням раніше невідомих N(3)-фосфорильованих імідазолієвих карбенів нового типу. Їхня стійкість до термічної ізомеризації у 2-фосфорильовані імідазоли визначається просторовими та електронними властивостями замісників у атомів азоту N1 гетероциклу та фосфору.

Розроблено ефективний підхід до 4-фосфорильованих імідазолів з незаміщеним положенням 5 в циклі, який полягає у термічному розкладі 5-фосфоніл-1,3-диметилімідазолій хлоридів.

Показана можливість використання похідних імідазоліл-4-фосфоністих кислот для синтезу нового типу сполук: 4λ3(5), 8λ3(5)-дифосфо-s-індацену та 4,5-бісфосфорильованих імідазолів, зокрема 4,5-біс(дихлоро)фосфінів.

Виявлено, що положення атома фосфору в імідазольному кільці може бути визначено за допомогою аналізу спектральних характеристик фосфорильованих продуктів. Таким критерієм є насамперед значення хімічних зсувів ядер фосфору у спектрах ЯМР 31Р та атомів С-4 та С-5 у спектрах ЯМР 13С.

СПИСОК ПУБЛІКАЦІЙ ЗА ТЕМОЮ ДИСЕРТАЦІЇ

1. Реакции электрофильного замещения 1-метил-2-диметиламиноимидазола / А. А. Юрченко, А. Н. Гурьева, Е. В. Зарудницкий, А. П. Марченко, Г. Н. Койдан // Журн. орг. та фарм. хімії. - 2007. - Т. 7, вип. № 1(25). - С. 33-38 (Особистий внесок автора: виконання синтетичної частини роботи, аналіз спектральних даних).

2.      5-Phosphorylated 1,2-Disubstituted Imidazoles / A. A. Yurchenko, A. N. Huryeva, E. V. Zarudnitskii, A. P. Marchenko, G. N. Koidan, A. M. Pinchuk // Heteroatom Chem. - 2009. - № 10. - Р. 289-308. (Особистий внесок автора: аналіз літературних джерел, виконання синтетичної частини, встановлення будови отриманих сполук, робота над первинним варіантом статті).

.        4-Phosphorylated 1,2-Disubstituted Imidazoles / A. N. Huryeva, A. P. Marchenko, G. N. Koidan, A. A. Yurchenko, E. V. Zarudnitskii, A. M. Pinchuk, А. N. Kostyuk // Heteroatom Chem. - 2010. - Vol. 21, № 3. - Р. 103-118. (Особистий внесок автора: проведення експериментальних досліджень, встановлення будови отриманих сполук, опрацювання початкового варіанту статті).

.        Convenient method for the synthesis of C-phosphorylated N-arylformamidines / A. Marchenko, G. Koidan, A. Hurieva, A. Merkulov, A. Pinchuk, A. Yurchenko, А. Kostyuk // Tetrahedron. - 2010. - Vol. 66. - Р. 3668-3677. (Особистий внесок автора: проведення експериментальних досліджень, встановлення будови отриманих сполук).

.        Пат. 34484 Україна МПК C07D 233/00 C07F 9/00 [ІМІДАЗОЛ-5-ІЛ]ГАЛОГЕНОФОСФІНИ / А. А. Юрченко, А. М. Гур’єва, А. П. Марченко, Г. М. Койдан, А. А. Чайковська, A. О. Толмачов; заявник та патентовласник Інститут органічної хімії НАН України. - u 2008 03734; заявл. 24.03.08; опубл. 11.08.08. Бюл. № 15.

.        5-Фосфорильовані 1,2-дизаміщенні імідазоли / А. М. Гур’єва, Е. В. Зарудницький, А. А. Юрченко, А. М. Пінчук // V Всеукраїнська конференція молодих вчених та студентів з актуальних питань хімії. м. Дніпропетровськ, 26-31 травня 2007 р.: - тези доп. - Д., 2005. - С. 15.

.        5-Фосфорильовані 1,2-дизаміщенні імідазоли / А. М. Гур’єва, Е. В. Зарудницький, А. П. Марченко, Г. М. Койдан, А. А. Юрченко, А. М. Пінчук // XXI Українська конференція з органічної хімії. м. Чернігів, 1-5 жовтня 2007 р.: тези доп. - Ч., 2007. - С. 388.

.        5-Phosphorylated 1,2-disubstituted Imidazoles / A. N. Huryeva, E. V. Zarudnitskii, A. P. Marchenko, G. N. Koidan, A. A. Yurchenko, A. M. Pinchuk // 15 Международная конференция по химии фосфора, посвященная 100-летию со дня рождения М. И. Кабачника. г. Санкт-Петербург, 25-30 мая 2008 г.: тезисы док. − 2008. − С.356.

.        4-Phosphorylated 1,2-disubstituted Imidazoles / A. N. Huryeva, A. P. Marchenko, G. N. Koidan, A. A. Yurchenko, А. N. Kostyuk, A. M. Pinchuk // 5 International conference on chemistry of nitrogen containing heterocycles CNCH-2009, Kharkiv, October 5-9, 2009: theses of rep. - K., 2009. - Р-56.

АНОТАЦІЯ

Гур′єва А. М. Фосфорилювання 1,2-дизаміщених імідазолів. - Рукопис.

Дисертація на здобуття наукового ступеня кандидата хімічних наук за спеціальністю 02.00.03 - органічна хімія. Інститут органічної хімії НАН України, Київ, 2010.

Дисертація присвячена розробці загальних методів синтезу 5- та 4-фосфорильованих імідазолів на основі дослідження прямого фосфорилювання 1,2-заміщених імідазолів галогенідами фосфору (ІІІ).

В процесі роботи встановлено, що взаємодія 1,2-заміщених імідазолів з галогенідами фосфору (ІІІ) приводить переважно до 5-фосфорильованих похідних, з’ясовано вплив електронодонорних властивостей замісника у положенні 2 на легкість і регіоселективність фосфорилювання. Одержано низку імідазолілпохідних три- та п′ятивалентного фосфору.

З’ясовано, що фосфорилювання 1- та 1,2-заміщених імідазолів галогенідами фосфору (ІІІ) відбувається за механізмом, який передбачає початкове утворення N(3)-фосфорильованих імідазолієвих солей. Взаємодія такого типу солей, що мають заміщене положення 2, з основами приводить до 5-фосфорильованих імідазолів. За наявності вільного положення 2 здійснено синтез раніше невідомих N-фосфорильованих імідазолієвих карбенів різної стійкості. При нагріванні (20 ºС или 150 ºС) відбувається їхня ізомеризація у 2-фосфорильовані імідазоли, що доводить «карбеновий» механізм прямого фосфорилювання 2-незаміщених імідазолів.

Термічний розклад 5-селенофосфоніл-1,3-диметилімідазолій хлоридів приводить до 4-фосфорильованих імідазолів з вільним положенням 5 в циклі. На їх основі одержано нового типу сполуки: похідні 4λ3(5), 8λ3(5)-дифосфо-s-індацену та 4,5-бісфосфорильовані імідазоли.

Виявлено каталітичний вплив галогенідів літію на фосфорилювання та літіювання імідазолів.

Визначені параметри, які дозволяють розрізнити 4-, 5-фосфорильовані імідазоли спектральними методами.

Ключові слова: електрофільне заміщення, фосфорилювання, галогеніди фосфору (III), імідазоли, імідазол-2-ілідени, літіювання.


Гурьeва А.М. Фосфорилирование 1,2-дизамещенных имидазолов. - Рукопись.

Диссертация на соискание ученой степени кандидата химических наук по специальности 02.00.03 - органическая химия. Институт органической химии НАН Украины, Киев, 2010.

В диссертационной работе рассмотрено прямое фосфорилирование 1,2-замещенных имидазолов галогенидами трехвалентного фосфора. Экспериментально подтвержден механизм реакции в ряду 1- и 1,2-замещенных имидазолов, строение промежуточных соединений и их роль в образовании конечных продуктов. Разработан общий и достаточно простой синтетический подход к 4-фосфорилированным имидазолам со свободным положением 5 и изучены химические свойства соединений такого типа.

Найдено, что взаимодействие 1,2-замещенных имидазолов с PHal3 (Cl, Br) и менее электрофильными RPCl2 (Ph-, CCl3-, CCl2=CCl-) и Ph2PHal приводит к 5-фосфорилированныем производным. Легкость реакции понижается при уменьшении электронодонорных свойств заместителя в положении 2 (NMe2> SMe> i-Pr> Ph). Оптимизированы условия реакции (время, температура, природа основания) в зависимости от реакционной способности и соотношения реагентов. При наличии в положении 2 диметиламиногруппы синтезирован трис(имидазол-5-ил)фосфин. В остальных случаях была получена смесь изомерных третичных фосфинов с минорным содержанием несимметричного соединения, в котором одно из имидазольных колец связано с атомом фосфора в положении 4.

Показано, что ранее неизвестные дигалоген(имидазолил-5)-фосфины являются удобными реагентами для синтеза других типов производных трехвалентного фосфора. Найдена необычная перегруппировка производных пятивалентного фосфора, содержащих фрагмент ССl3-Р-NН-Аr в реакции с вторичными аминами, которая позволяет получать С-фосфорилированные формамидины с высоким выходом и чистотой.

Детально изучено фосфорилирование 1- и 1,2-замещенных имидазолов галогенидами фосфора (III). Впервые экспериментально подтверждено, что реакция первоначально протекает с образованием N(3)-фосфорилированных имидазолиевых солей, характеризующихся высокой лабильностью связи Р-N. Установлено, что их устойчивость возрастает с уменьшением нуклеофильности противоиона (Cl >> Br > OSO2CF3).

Изучено взаимодействие N(3)-фосфиноимидазолий бромидов (трифлатов) с основаниями. При наличии заместителя в положении 2 реакция сопровождается миграцией фосфиногруппы во положение 5 имидазольного цикла с образованием 5-фосфорилированных производных. При свободном положении 2 использование сильных оснований приводит к имидазолиевым карбенам нового типа. Их устойчивость определяется стерическими и электронными эффектами заместителей как у атомов азота, так и у атома фосфора. Все карбены при нагревании (20 ºС или 150 ºС) изомеризуются в 2-фосфорилированные имидазолы, что подтверждает «карбеновый» механизм прямого фосфорилирования 2-незамещенных имидазолов.

Впервые синтезированы 5-селенофосфорил-1,3-диметилимидазолий хлориды и изучены их свойства. Показано, что термическое разложение солей такого типа приводит преимущественно к имидазолил-4-фосфонатам, тогда как при взаимодействии с гидроксид ионом получены фосфорилированные ендиамины, а при наличии в 2-положении диметиламиногруппы - 1,3-диметилимидазолон.

Синтезированы ранее неизвестные 4-фосфиноимидазолы со свободным реакционоспособным 5-положением, которые, в отличие от 5-фосфорилированных аналогов, вступают в дальнейшие превращения с участием этого положения. Так, 4-дихлорфосфиноимидазолы при нагревании превращаются в производные ранее неизвестного 4λ3(5), 8λ3(5)-дифосфо-s-индацена. 4-амидофосфонилимидазолы литируются t-BuLi, что позволило впервые синтезировать 4,5-бисфосфорилированые производные, в частности, 4,5-бис(дихлорфосфино)имидазолы.

Обнаружено явление катализа солями лития фосфорилирования и литирования имидазолов.

На основании результатов рентгеноструктурного исследования 4- и 5-фосфорилированных имидазолов установлено, что значения химических сдвигов углеродов С-4 и С-5 в спектрах ЯМР 13С и сигналов в спектрах ЯМР 31Р позволяют идентифицировать их только спектральними методами.

Ключевые слова: электрофильное замещение, фосфорилирование, имидазолы, имидазол-2-илидены, галогениды фосфора (III), литирование.

ABSTRACT

A.N. Phosphorylation of 1,2-disubstituted іmidazoles. - Manuscript.thesis for a candidate’s degree in chemical sciences by speciality 02.00.03 - Chemistry of organic compounds, Institute of Organic Chemistry, National Academy of Sciences of Ukraine, Kyiv, 2010.dissertation concerns the phosphorylation of 1, 2-substituted imidazoles with phosphorus (III) halides and the development of facile synthetic approaches to both 5- and 4-phosphorylated imidazoles.was found that 1,2-substituted imidazoles reacted with phosphorus (III) halides producing predominantly 5-phosphorylated derivatives. The electron-donating ability of the substituent at the 2nd position affected the readiness and regioselectivity of phosphorylation.          First synthesized among imidazole series halophosphines were used for the preparation of other phosphorus (III) and (V) derivatives.was shown that reaction of both 1- and 1,2-substituted imidazoles with halophosphines proceeds via initial N(3)-phosporylated imidazolium salts formation. Their reactions with bases afforded 5-phosphorylated imidazoles when 2nd position is protected whereas in the case of C-2 free ones earlier unknown N-phosphorylated imidazol-2-ylidenes were obtained. At 20 ºС or 150 ºС carbenes isomerized to give 2-(phosphino)imidazoles which has proved the mechanism of direct phosphorylation of N(1)-substituted imidazoles.thermal decomposition of 1,3-dimethyl-5-selenophosphorylimidazolium chlorides earlier unknown 4-phosphorylated imidazoles featuring free 5th position were synthesized. Their transformations opened a way to new 4λ3(5), 8λ3(5)- diphospha-s-indacenes and 4,5-bisphosphorylated imidazoles.catalytic effect of lithium halides on phosphorylation and lithiation of imidazoles was discovered.spectral features of 4- and 5-phosphorylated imidazoles useful for the determination of the position of phosphorus atom in the imidazole ring were figured out.words: phosphorylation, imidazoles, imidazole-2-ylidene, electrophilic substitution, phosphorus (III) halides, lithiation.