ТРЕБОВАНИЯ ТЕХНИКИ БЕЗОПАСНОСТИ
Перед включением электроприборов проверить целостность шнуров питания и вилки.
Порядок включения установки: вилка «Сеть», тумблер «Сеть», необходимые переключатели режимов.
Порядок выключения: вывести все переключатели в нулевое положение, выключить тумблер «Сеть», выключить вилку.
Установка ФП 109М подключена к гнездам источника питания 6В. Категорически запрещено переключать ее на другое напряжение. В случае выхода из строя приборов из-за халатного отношения, студент несет материальную ответственность за восстановление прибора. Все необходимые переключения приборов описаны в разделе «Порядок выполнения работы».
ЦЕЛЬ РАБОТЫ: проверка законов сохранения импульса и механической энергии. Определение времени соударения.
ПРИБОРЫ И ОБОРУДОВАНИЕ: установка ФП 109М, секундомер.
Рассмотрим подробнее соударение двух металлических шаров массами m1 и m2, подвешенных на нитях длиной l, как показано на рис.7. Будем считать, что удар является центральным, т.е. в момент соударения шары движутся по прямой, проходящей через их центры.

Рис. 7
В исходном состоянии
шары находятся в положении равновесия
(рис. 7а). Для сообщения шару 1 скорости
,
его отклоняют на угол
(рис. 7б). При этом центр масс шара
поднимается на высоту
относительно
уровня положения равновесия О1О2,
т.е. шар 1 приобретает потенциальную
энергию
.
Шар отпускают, и он начинает двигаться
под действием двух сил – силы натяжения
нити
и силы тяжести
.
Равнодействующая этих сил
![]()
направлена по касательной к дуге окружности, по которой движется тело к положению равновесия (к точке О1). При движении тела его потенциальная энергия переходит в кинетическую, и для точки О1 можно записать
.
Из рисунка 7б видно,
что
,
поэтому
.
(17)
В результате
соударения шар 2 приобретает скорость
,
а скорость первого шара станет равной
.
Эти скорости можно найти также из закона
сохранения энергии по формулам,
аналогичным (17):
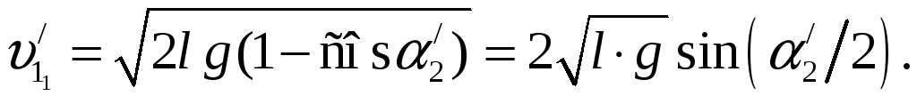
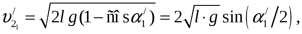
(18)
(19)
Здесь
и
– углы, на которые отклонятся, разлетевшись
после удара, первый и второй шары,
соответственно. Если бы удар шаров был
абсолютно упругим, то, в соответствии
с законом сохранения импульса и
механической энергии имели бы место
равенства:

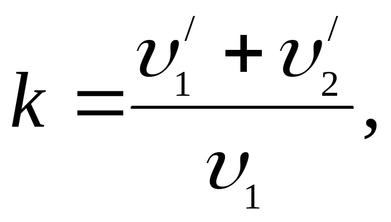
Реальные шары, однако, не являются идеально упругими, а удар – абсолютно упругим. Это не нарушает закон сохранения импульса (20), но делает несправедливым равенство суммарных кинетических энергий шаров до и после соударения (21). Поэтому для характеристики близости реального упругого удара к абсолютно упругому вводятся коэффициент восстановления скорости k и коэффициент восстановления энергии ε, определяемые выражениями (1) и (2), которые для данного случая будут иметь вид:
(22)
(23)
Средняя сила удара может быть найдена по формуле (3). Т. к. скорость второго шара до удара равна нулю, то формула (3), записанная для второго шара, примет вид:
(24)
Установка ФПМ-А-06 (рис. 8) представляет собой настольный прибор, выполненный на едином основании 1 с регулируемыми опорами 3. На вертикальной стенке 2 закреплены верхний 5 и нижний 6 кронштейны. На верхнем кронштейне 5 находится винтовой механизм 7 изменения межцентрового расстояния шаров, приводимый в движение ручкой 8 и фиксируемый гайкой 9. Маятники левый 10 и правый 11 состоят из металлического шара 12 с нониусом 13, закрепленного при помощи крючка 14, траверсы 15 и токоведущих бифимерных проводов на штанге 16. Бифимерный подвес крепиться на штанге при помощи призменных опор 17.
На нижнем кронштейне
закреплены левая 18 и правая 19 шкалы,
каждая из которых может перемещаться
в определенных пределах по плите
кронштейна при установке нониуса на
«0» и фиксироваться в выбранном положении
при помощи винтов. Правая шкала служит
для определения угла бросания
и угла отклонения
правого шара, левая – для определения
угла отклонения левого шара при соударении
.
На правой шкале крепиться электромагнит 20 с регулируемым усилителем винтом 21 на стержне 24 и кронштейне 23.
Зажимное устройство
25 осуществляет регулировку и фиксацию
выбранной длины нити
подвеса.
Винт-гайка 26 регулирует положение шара по вертикали.
Электронный блок крепиться на основании 1 установки. Он измеряет время только одного (первого) соударения. Это время отображается на табло «ВРЕМЯ». На передней панели блока расположен индикатор «ПЕРИОД», кнопки управления «СБРОС», «ПУСК», тумблер «СЕТЬ».
При нажатии кнопки «ПУСК» снимается питание электромагнита; правый шар соударяется с левым.
Рис. 8

Включить установку в сеть. Включить тумблер «СЕТЬ». При этом должны загореться лампочки световой индикации.
Снять шары и взвесить их на лабораторных весах. Измеренные массы занести в таблицу 1.
3. Отклонить правый
шар до соприкосновения с электромагнитом
(угол
),
при этом должно произойти «залипание»
шара.
4. Нажать кнопку «СБРОС». При этом на цифровых индикаторах «ВРЕМЯ» должны загореться нули.
5. Убедиться, что левый шар находиться в состоянии покоя, нажать кнопку «ПУСК».
6. Записать показания индикаторов «ВРЕМЯ».
7. Повторить п.п. 2-5 не менее 5 раз.
8. Повторить п.п.
2-5 и определить угол отскока левого шара
по левой шкале (5 измерений).
9. Повторить п.п.
2-5 и определить угол отскока правого
шара
по правой шкале (5 измерений).
10. Данные измерений свести в таблицу 1. Найти средние значения и погрешности.
11. Рассчитать по формулам (17) - (19) скорости шаров до и после удара, по формуле (22) – коэффициент восстановления относительной скорости при ударе k. Найти кинетические энергии шаров до и после удара и рассчитать по формуле (23) коэффициент восстановления энергии ε. Найти среднюю силу удара по формуле (24). Данные свести в таблицу 2. Вычислить погрешности.
12. Записать закон сохранения импульса и энергии для удара. Проверить их выполнение, оценить точность выполнения этих законов для средних значений величин для упругого удара:
,

ИССЛЕДОВАНИЕ УПРУГОГО УДАРА
Таблица 1
|
№ п/п |
|
|
|
|
|
|
|
|
|
|
|
|
|
с |
с |
кг |
кг |
кг |
кг |
|||||||
|
1. 2. 3. 4. 5. ср. |
|
|
|
|
|
|
|
|
|
|
|
|
Таблица 2
|
№ п/п |
|
|
|
|
|
|
|
|
|
|
|
|
|
|
|
м/с |
м/с |
м/с |
м/с |
м/с |
м/с |
|
|
Дж |
Дж |
Дж |
Дж |
Дж |
Дж |
|
|
1. 2. 3. 4. 5. ср. |
|
|
|
|
|
|
|
|
|
|
|
|
|
|