.
(1.5.4)
Выражение (1.5.4) представляет собой закон сохранения момента импульса: момент импульса замкнутой системы сохраняется.
Сопоставим основные величины и уравнения, определяющие вращение тела вокруг неподвижной оси и его поступательное движение (таблица 1.5.1).
Таблица 1.5.1
|
Поступательное движение |
Вращательное движение |
Функциональная зависимость |
||
|
Линейное перемещение |
S |
Угловое перемещение |
|
|
|
Линейная скорость |
|
Угловая скорость |
|
|
|
Линейное ускорение |
|
Угловое ускорение |
|
|
|
Масса |
m |
Момент инерции |
I |
(для материальной точки) |
|
Сила |
|
Момент силы |
|
|
|
Импульс |
|
Момент импульса
|
|
|
Окончание табл. 1.5.1
|
Основное уравнение динамики |
|
|
|
|
|
Работа
|
Работа вращения
|
|
Кинетическая энергия
|
Кинетическая энергия вращения
|
|
Закон сохранения импульса
|
Закон сохранения момента импульса
|
Маятник Обербека представляет собой настольный прибор (рис. 2.1), на вертикальной стойке основания 1 которого крепятся три кронштейна: верхний 2, средний 3, нижний 4. Положение этих кронштейнов на вертикальной стойке строго зафиксировано. На верхнем кронштейне 2 крепится блок 5 изменения направления движения эластичной нити 6, на которой подвешен крючок 7 с грузами 8. Вращение блока 5 осуществляется в узле подшипников 9, который позволяет уменьшить трение.
На среднем кронштейне 3 крепится электромагнит 14, который при подаче на него напряжения с помощью фрикциона удерживает систему с грузами в подвешенном состоянии. На этом же кронштейне расположен узел подшипников 9, на оси которого с одной стороны закреплен двухступенчатый шкив 13, на котором имеется приспособление для закрепления нити 6.
На другом конце оси находится крестовина, представляющая собой четыре металлических стержня с нанесением на них рисками через каждые 10 мм, закрепленных в бобышке 12 под прямым углом друг к другу.
На каждом стержне могут свободно перемещаться и фиксироваться грузы 11, что дает возможность ступенчатого измерения моментов инерции крестовины маятника.
На нижнем кронштейне 4 крепится фотоэлектрический датчик 15, который выдает электрический сигнал на миллисекундомер 16 для окончания счета промежутков времени. На этом же кронштейне крепится резиновый амортизатор 17, о который ударяется груз при остановке.
Маятник снабжен миллиметровой линейкой 18, по которой определяется начальное и конечное положение грузов, а, следовательно, и пройденный путь.
Миллисекундомер физический ФПМ-15 жестко закреплен на основании 1 и предназначен для измерения длительности временных интервалов. На лицевой панели миллисекундомера расположены кнопки СЕТЬ, СБРОС, ПУСК и окно, в котором размещены счетно-индикаторные декады для отсчета времени (рис. 2.2).
На задней панели находится разъем для подключения фотодатчика и электромагнита.
Общий вид маятника
Рисунок
2.1

Рис.
2.2

Маятник,
используемый в данной работе (рис. 2.1),
представляет собой маховик, которому
придана крестообразная форма. По четырем
взаимоперпендикулярным стержням могут
перемещаться грузы массой
На общей оси находится шкив, на который
наматывается нить с привязанным на ее
конец грузом. Под действием падающего
груза
,
нить разматывается и приводит маховик
в равноускоренное вращательное движение.
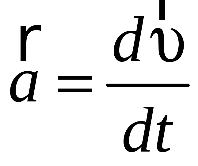
При этом угловое ускорение крестовины
![]()
где
ускорение падающего груза,
радиус шкива.
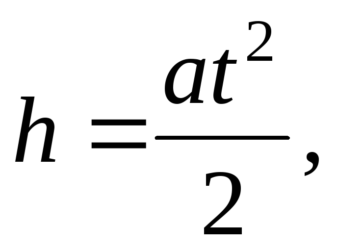
Согласно уравнению движения груза
![]()
или
(14)
и
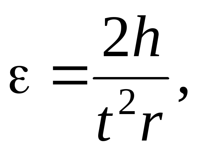
(15)
где
высота падения груза, t
– время падения.
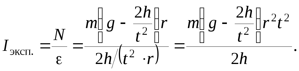
Момент силы, приложенный к крестовине, равен
(16)
Из
основного уравнения динамики
найдем значение момента инерции
крестовины с учетом (14), (15), (16):
(17)
Получив
экспериментально значения
и t,
можно по формуле (17) вычислить
экспериментальное значение момента
инерции крестовины.
Включить миллисекундомер в сеть посредством вилки.
Проверить подключение электромагнита и фотоэлектрического датчика к разъему ВХОД на задней панели миллисекундомера.
Нажать кнопку СЕТЬ на лицевой панели миллисекундомера. При этом должны загореться цифровые индикаторы, а также лампочка фотоэлектрического датчика установки.
Нажать кнопку СБРОС на передней панели, при этом на всех цифровых индикаторах должны загореться «0».
Закрепить нить на малом радиусе двухступенчатого шкива. Установить на платформу основного груза три развеса, передвижные грузы на крестовине закрепить на расстоянии 150 мм от оси вращения.
Вращая крестовину против часовой стрелки, перевести основной груз в верхнее положение.
Отпустить основной груз, предоставив ему возможность опускаться, одновременно нажав кнопку ПУСК. В момент пересечения падающего груза оптической оси фотодатчика секундомер остановиться.
Произвести отсчет времени хода маятника t по миллисекундомеру.
По шкале определить ход основного груза h как разницу его верхнего и нижнего положения.
Нажать кнопку СБРОС.
11. Повторить измерения по п. п. 6–10 не менее 5 раз, определить среднее значение времени.
12.
Определить момент инерции крестовины
по формуле (17).
13. Повторить п.п. 6–12, закрепить нить на большом радиусе двухступенчатого шкива.
Данные измерений свести в таблицу 2.
14. Меняя массу основного груза удалением разновесов, повторить п.п. 6, 7, 8, 9, 10, 12 не менее трех раз для каждой массы. Использовать значения m = 0,22; 0,17; 0,11; 0,06 кг.
Данные измерений свести в таблицу 3.
15.
Меняя положение передвижных грузов на
штырях, повторить п. п. 6, 7, 8, 9,10, 12 для
180, 200 мм не менее трех раз для каждого
R,
(где R
– расстояние от груза до оси вращения).
Данные измерений свести в таблицу 4.
16. Для каждого опыта рассчитать абсолютную погрешность момента инерции как погрешность косвенного измерения.
Значения параметров, необходимых для выполнения работы, помещены в таблице 5.
Таблица 2
|
№ п/п |
Диаметр шкива, 2r, мм |
m, кг |
R, мм |
t, с |
tср, с |
Iэксп., кг∙м2 |
Iэксп.ср. кг∙м2 |
Iэксп. кг∙м2 |
Iэксп.ср. кг∙м2 |
|
1 2 3 4 5 |
42 |
0,22 |
150 |
|
|
|
|
|
|
|
|
|
|
|||||||
|
|
|
|
|||||||
|
|
|
|
|||||||
|
|
|
|
|||||||
|
1 2 3 4 5 |
84 |
0,22 |
150 |
|
|
|
|
|
|
|
|
|
|
|||||||
|
|
|
|
|||||||
|
|
|
|
|||||||
|
|
|
|