Таблица 1.2.1
Если тело имеет сложную форму, и теоретически определить момент инерции его сложно, прибегают к экспериментальным методам определения момента инерции.
Рис.
1.3.1

,
,...,
,
находящиеся на расстоянии
,
,...,
от оси вращения. При вращении твёрдого
тела относительно неподвижной оси
отдельные его элементарные объёмы
массами
опишут окружности различных радиусов
и имеют различные линейные скорости
.
Но так как мы рассматриваем абсолютно
твёрдое тело, то угловая скорость
вращения этих объёмов одинакова:
(1.3.1)
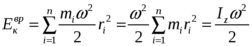
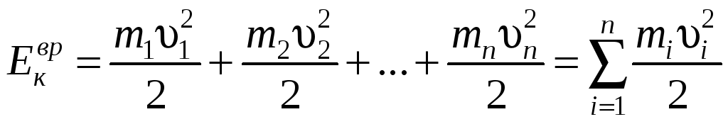
Кинетическую энергию вращающегося тела найдём как сумму кинетических энергий его элементарных объёмов:
.
Используя выражение (1.3.1), получим:
Рис.
1.3.1

, (1.3.2)
где
– момент инерции тела относительно оси
z.
Из
сравнения формулы (1.3.2) с выражением для
кинетической энергии тела, движущегося
поступательно
![]()
,
следует, что момент инерции I
вращательного движения – мера
инертности тела
во вращательном движении, т.е. является
вращательным аналогом массы.
В случае, когда тело совершает одновременно поступательное и вращательное движение (например, шар катится по плоскости), его кинетическая энергия равна сумме кинетических энергий поступательного и вращательного движений:

![]()
ВРАЩАТЕЛЬНОГО ДВИЖЕНИЯ ТВЁРДОГО ТЕЛА
Моментом
силы
относительно неподвижной точки O
называется векторная физическая
величина, определяемая векторным
произведением радиус-вектора
,
проведённого из точки O
в точку A
приложения силы, на силу
(рис. 1.4.1):
(1.4.1)
Здесь
– псевдовектор, его направление совпадает
с направлением движения правого винта
при его вращении от
к
![]()
Модуль момента силы
Рис.
1.4.1

,
где
– угол между
и
,
– кратчайшее расстояние между линией
действия силы и точкой О
– плечо силы.
Моментом
силы относительно неподвижной оси z
называется скалярная величина
,
равная проекции на эту ось вектора
момента
силы, определённого относительно
произвольной точки O
данной оси z
(рис. 1.4.1).
Работа при вращении тела равна произведению момента действующей силы на угол поворота:
.
С другой стороны эта работа идёт на увеличение его кинетической энергии:
,
но
,
поэтому
,
или
.
Учитывая,
что
,
получим
.
(1.4.2)
Получили основное уравнение динамики вращательного движения твёрдого тела относительно неподвижной оси: момент внешних сил, действующих на тело, равен произведению момента инерции тела на угловое ускорение.
Можно показать, что если ось вращения совпадает с главной осью инерции, проходящей через центр масс, то имеет место векторное равенство:
![]()
,
где I – главный момент инерции тела (момент инерции относительно главной оси).
Моментом
импульса
материальной точки А
относительно
неподвижной точки О
называется векторная физическая
величина, определяемая векторным
произведением:
(1.5.1)
где
– радиус-вектор, проведённый из точки
О
в точку А;
– импульс материальной точки (рис.
1.5.1).
– псевдовектор, его направление совпадает
с направлением поступательного движения
правого винта при его вращении от
к
.
Рис.
1.5.1

,
где
– угол между векторами
и
,
– плечо вектора
относительно точки О.
Моментом
импульса относительно неподвижной оси
z
называется скалярная величина
,
равная проекции на эту ось вектора
момента импульса, определённого
относительно произвольной точки О
данной оси. Значение
момента импульса
не зависит от положения точки О
на оси z.
При
вращении абсолютно твёрдого тела вокруг
неподвижной оси z
каждая
отдельная точка тела движется по
окружности постоянного радиуса
с некоторой скоростью
.
Скорость
и импульс
перпендикулярны этому радиусу, т. е.
радиус является плечом вектора
.
Поэтому можно записать, что момент
импульса отдельной частицы
![]()
и направлен по оси в сторону, определяемую правилом правого винта.
Момент импульса твёрдого тела относительно оси есть сумма моментов импульсов отдельных частиц:
.
Используя
формулу
,
получим
,
т.е.
. (1.5.2)
Таким образом, момент импульса твёрдого тела относительно оси равен произведению момента инерции тела относительно той же оси на угловую скорость.
Продифференцируем уравнение (1.5.2) по времени:
,
т.е.
.
(1.5.3)
Это выражение – ещё одна форма основного уравнения (закона) динамики вращательного движения твёрдого тела относительно неподвижной оси: производная по времени от момента импульса механической системы (твёрдого тела) относительно оси равна главному моменту всех внешних сил, действующих на эту систему, относительно той же оси.
Можно
показать, что имеет место векторное
равенство
.
В
замкнутой системе момент внешних сил
и
,
откуда