Выше нами указано, что среднее арифметическое значение измеряемой величины равно
![]()
Средняя абсолютная погрешность
,
где n – число измерений.
Часто, обрабатывая результаты, находят среднее квадратичное отклонение от среднего значения

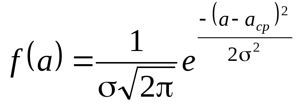
По закону Гаусса
функция распределения случайных величин
(в нашем случае значений
)
записывается

и имеет вид

Точки
соответствуют точкам перегиба на кривой
Гаусса.
Задача обработки
серии измерений сводится к нахождению
параметров кривой
и
.
Зная функцию распределения случайных величин можно вычислить вероятности, с которыми истинное значение будет находиться в том или ином интервале значений. Этот интервал называется доверительным. Например,
<
<
Это значит, что
истинное значение непосредственно
измеренной величины с вероятностью
около 0,7 находится в указанном интервале.
С расширением интервала вероятность
возрастает. При интервале
Р=0,955.
Исходя
из сказанного найденное значение
величины
,
можно представить
(с вероятностью
0,683)
(с вероятностью
0,955).
Для измерения линейных размеров тел используют мерные плиты, линейки, штангенциркули, катетометры, длинномеры, микромеры и т.д.
Рассмотрим устройство штангенциркуля и микрометра.
Штангенциркуль
состоит из штанги с губкой. На штанге
нанесена миллиметровая линейка (масштаб).
По штанге движется рамка с другой губкой.
На рамке находится дополнительная
линейка – нониус. Нониус изготавливается
так, что число его делений на одно меньше,
чем совпадающее с ним число делений
масштаба. Например,
![]()
,
где К
– цена деления нониуса.
наименьшая
величина, измеряемая штангенциркулем.
Если губки штангенциркуля сжаты, то нуль нониуса и нуль масштаба совпадают. Если совместить штрих первого деления нониуса со штрихом первого деления масштаба, то между губками и будет расстояние 0,1 мм. Если совместить штрих второго деления нониуса со вторым штрихом линейки, то между губками будет 0,2 мм и т.д. При совмещении десятого деления нониуса с десятым деление линейки между губками расстояние будет 1 мм. Фактически, указанными действиями мы измеряли расстояние (размеры) 0,1 мм, 0,2 мм, 0,3 мм и т.д.
Если у штангенциркуля
10 делений нониуса совпадают с 19 делениями
линейки, то
![]()
,
т.е. цена деления нониуса другая, а
наименьшая величина, измеряемая
штангенциркулем
.
В этом случае расстояние между губками будет 0,1 мм при условии, что штрих первого деления нониуса совпадает со штрихом второго деления линейки.
При измерении реального объекта его размеры определяют так: отсчитывают целое число миллиметров по линейке до нуля нониуса, затем смотрят, которое деление нониуса точно совпадает с делением линейки. Номер этого деления и показывает число десятых долей. За погрешность штангенциркуля принимается наименьшая измеряемая им величина.
Микрометр состоит из полого стержня со шкалой, соединенного со скобой. В полом стержне помещается микровинт с прикрепленным к нему барабаном. Измеряемый предмет помещают между стержнем скобы и торцем микрометрического винта. По горизонтальной шкале на стержне ведут отсчет в миллиметрах, а самые доли отсчитывают по круговой шкале барабана.
ПРАВИЛА ВЗВЕШИВАНИЯ
Взвешивание на расчетных технических весах позволяет определять массы тел путем сравнения их с эталонами. Для каждых весов указывается предельная масса, которая может быть определена.
Весы – точный прибор, требующий осторожного обращения. Основная часть весов – равноплечное коромысло. К нему подвешиваются сережки с чашками. На концах коромысла укреплены регулирующие грузы, перемещая которые по винтам, можно осуществить регулировку весов. К центру коромысла прикреплена длинная стрелка, показывающая отклонение коромысла от равновесного положения. Установка платформы весов производится по отвесу с помощью опорных винтов. Для предохранения ребер призм от износа весы снабжены арретиром, который приводится в действие ручкой, расположенной на передней части платформы. В том случае, когда весами не пользуются или при изменении нагрузки, весы должны быть арретированы (остановлены, заперты). Чтобы не повредить весы и быстро получить правильные результаты нужно соблюдать правила пользования.
1. Разарретировать весы и убедиться, уравновешены ли они. Если стрелка выходит за пределы шкалы, то весы нужно арретировать и переместить регулирующие грузы.
2. Если колебания стрелки происходят в пределах шкалы, то следует по ее отклонениям определить нулевую точку.
3. Определить цену деления шкалы. Для этого на правую чашку весов кладут известный малый перегрузок (равновесок) и определяют, на сколько делений отклоняется стрелка от найденной нулевой точки.
4. Арретировать весы, положить тело на левую чашку, а гири на правую.
5. Плавно открывая арретир, убедиться, уравновешивают ли гири тело. Если нет, то снова арретировать и прибавить или убавить массу гирь. Так действовать до тех пор, пока стрелка при открытом арретире не будет колебаться в пределах шкалы.
6. Если не удается привести стрелку в найденное нулевое положение, то нужно учесть отклонение и, зная цену деления, определить окончательный результат взвешивания.
7. Нельзя взвешивать тела большей массы, чем указано на весах.
8. Разновес брать пинцетом, после снятия с весов класть в футляр на свое место.
9. Подготовку весов к работе должен проводить лаборант.
1. Измерить линейные
размеры некоторых тел
или
(прямые измерения) и вычислить их объемы
или
(косвенные измерения).
2. Определить массы
тел на рычажных весах m
(прямые
измерения) и вычислить плотности этих
тел
(косвенные измерения).
3. Вычислить абсолютные и относительные погрешности прямых и косвенных измерений и представить результаты измерений
![]()
.
4. Результаты измерений и расчетов занести в таблицу.
Таблица
|
№ опыта |
|
|
|
|
|
|
|
|
|
|
|
|
|
|
|
|
|
|
|
1 |
|
|
|
|
|
|
|
|
|
|
|
|
|
|
|
|
|
|
|
2 |
|
|
|
|
|
|
|
|
|
|
|
|
|
|
|
|
|
|
|
3 |
|
|
|
|
|
|
|
|
|
|
|
|
|
|
|
|
|
|
|
ср. |
|
|
|
|
|
|
|
|
|
|
|
|
|
|
|
|
|
|
ТРЕБОВАНИЯ К ОТЧЕТУ
Отчет должен содержать краткие сведения об измерениях, нахождении средних значений, нахождении абсолютных и относительных погрешностей и результаты измерений и вычислений.