МИНИСТЕРСТВО ОБРАЗОВАНИЯ РФ
ФЕДЕРАЛЬНОЕ АГЕНТСТВО ПО ОБРАЗОВАНИЮ
ГОУ ВПО РЫБИНСКАЯ ГОСУДАРСТВЕННАЯ АВИАЦИОННАЯ
ТЕХНОЛОГИЧЕСКАЯ АКАДЕМИЯ ИМЕНИ П.А. СОЛОВЬЕВА
КАФЕДРА ОБЩЕЙ И ТЕХНИЧЕСКОЙ ФИЗИКИ
|
|
УТВЕРЖДЕНО на заседании методического семинара кафедры ОиТФ « » 1995г.
Зав.каф. Пиралишвили Ш.А. |
|
|
ЛАБОРАТОРНАЯ РАБОТА № ФМ-0
Знакомство с методами измерения физических величин и оценкой погрешностей измерений
|
|
Руководство подготовлено |
|
|
доц. Копейкиным А. Г. |
Рыбинск 1995
ТРЕБОВАНИЯ ТЕХНИКИ БЕЗОПАСНОСТИ: Необходимо выполнение общих требований безопасности, установленных в лаборатории.
ЦЕЛЬ РАБОТЫ: Ознакомиться с прямыми и косвенными измерениями, методами обработки результатов измерений. Провести измерения линейных размеров тел, объемов, масс, плотностей.
ПРИБОРЫ И ОБОРУДОВАНИЕ: Штангенциркуль, микрометр, измеряемое тело, лабораторные весы.
Введение
Измерения – физические действия, заключающиеся в сравнении измеряемых величин с эталоном, принятым за единицу.
Измерения разделяются на прямые (непосредственные) и косвенные.
Прямые измерения проводятся приборами и инструментами.
При косвенных измерениях искомая величина находится на основе функциональной зависимости между непосредственно измеренными величинами.
Всегда следует помнить, что при любых измерениях нет возможности найти истинное значение измеряемых величин. Чтобы найти значение как можно более близкое к истинному, нужно проводить большее число измерений и на их основе вычислить среднее арифметическое значение. Чем больше число измерений, тем ближе среднее значение к истинному.
Единицы измерения различных физических величин образуют систему единиц, построенную на основе ряда основных единиц и производных, полученных из функциональных зависимостей между величинами. Обязательной к употреблению является Международная система единиц СИ.
Трудности учета всех побочных явлений при измерениях, неполнота наших знаний, неточности измерительных приборов, приводят к неизбежным погрешностям измерений. Задача всех измерений заключается не в определении истинного значения, а в нахождении интервала, внутри которого находится истинное значение.
Погрешности или ошибки измерений делятся на систематические, случайные, промахи.
Систематические погрешности повторяются от измерения к измерению, причина их, как правило, известна и поэтому они могут быть учтены при измерениях (Например, стрелка амперметра при отсутствии тока не стоит на нуле).
Случайные погрешности вызываются целым рядом неизвестных или случайным образом действующих причин. Их никогда не удается узнать полностью или устранить. Можно сказать, что эти погрешности обусловлены возможностями измерительных приборов, наших органов чувств и общими условиями измерений.
Промахи – это ошибочные измерения или наблюдения. Результаты измерений в этих случаях не принимают во внимание при обработке.
При многократных измерениях какой-то величины, истинное значение которой a, проделывают n измерений. В результате получают ряд приближенных значений
![]()
Истинные абсолютные погрешности представим как
![]()
Тогда можем записать:
![]()
Складывая почленно, имеем:
![]()
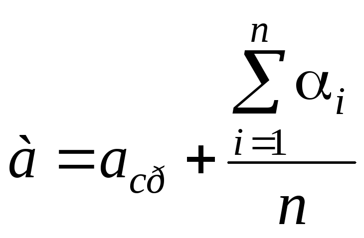
Отсюда
,
среднее
арифметическое отдельных измерений.
Истинное значение а, выразится

истинная
абсолютная погрешность, которая остается
неизвестной.
Задача нахождения случайных погрешностей была решена Гауссом. В основе рассмотрения лежат две аксиомы:
Погрешности равной абсолютной величины и противоположных знаков равновероятны.
Чем больше абсолютная величина погрешности, тем она менее вероятна.
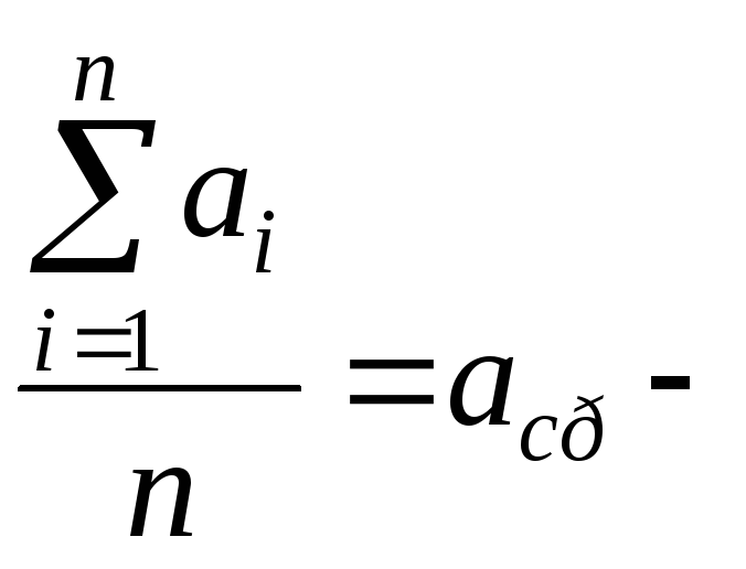
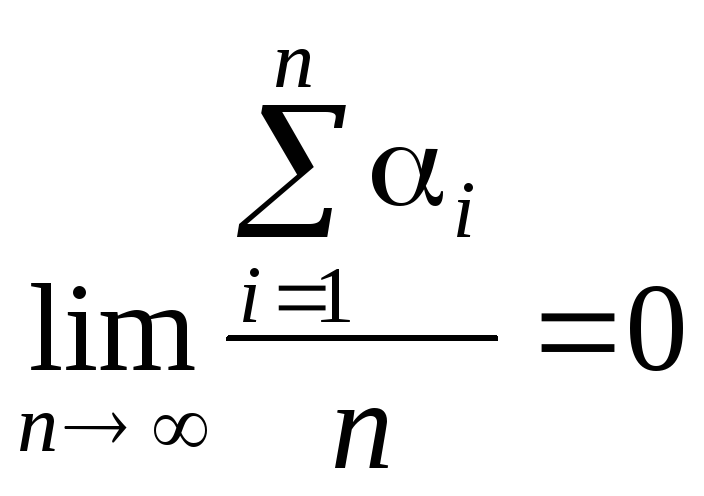
Из первой аксиомы
следует, что при бесконечном числе
измерений (при
)
и тогда
![]()
Но практически осуществить можно лишь конечное число измерений. И этого оказывается достаточно, так как на основе второй аксиомы маловероятны большие погрешности.
Отсюда следует,
что
многих измерений, и встает задача оценить
степень приближения среднего значения
к истинному.
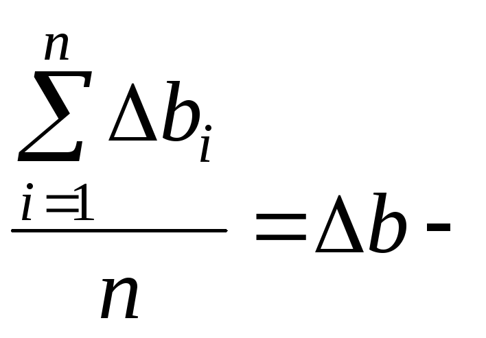
Если в результате
измерения величины b
получены значения
то среднее арифметическое значение

Абсолютные
погрешности отдельных измерений
равны по модулю разностям среднего
значения
и результатов отдельных измерений
![]()
,
,…,
![]()
средняя
абсолютная погрешность измерений.
Результат измерения представляют так:
![]()
Расчеты проводятся с учетом правил приближенных вычислений.
Относительная погрешность показывает, какую долю составляет абсолютная погрешность от среднего значения и выражается обычно в процентах
![]()
Наименьшая погрешность измерения не может быть меньше погрешности прибора. Последняя указывается в паспорте, либо за нее принимаем половину цены деления прибора.
Если измерение проведено один раз или при многократных повторениях получается один и тот же результат, то погрешностью измерения считают погрешность прибора (по паспорту или классу точности прибора) или ее принимают равной половине цены наименьшего деления прибора.
Класс точности прибора определяется максимальной погрешностью прибора, выраженной в процентах от полной величины шкалы. Например, класс точности 0,5 означает погрешность 0,5% при отклонении стрелки на всю шкалу. При отклонении стрелки на половину шкалы погрешность возрастает в два раза, при отклонении стрелки на треть шкалы – втрое.
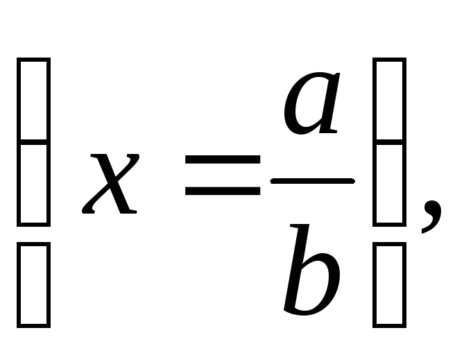
При косвенных
измерениях величину x
находят как
функцию непосредственно измеренных
величин а,
b,
с.
Абсолютные погрешности
непосредственных измерений обуславливают
абсолютную погрешность
При нахождении
используют следующие теоремы:
1. Абсолютная погрешность суммы (разности) равна сумме абсолютных погрешностей слагаемых (уменьшаемого и вычитаемого)
,
![]()
2. Абсолютная погрешность произведения равна сумме произведений первого сомножителя на абсолютную погрешность второго и второго сомножителя на абсолютную погрешность первого
,
![]()
3. Абсолютная погрешность частного равна сумме произведений делимого на абсолютную погрешность делителя и делителя на абсолютную погрешность делимого, деленной на квадрат делителя
,
![]()
Относительная
погрешность
![]()
В математическом анализе показано, что
![]()
При этом x
– есть
какая-то функция
и т. д. в явном виде, и, следовательно,
можно вычислить ее дифференциал от
логарифма, который будет содержать
и т. д.
Если заменить в
полученном выражении все дифференциалы
малыми конечными разностями
и т.д., то получим формулу для относительной
погрешности
![]()
![]()
![]()
для конечных разностей
.
Если
есть абсолютные погрешности при
непосредственных измерениях а,
b,
с,
то
–
абсолютная
погрешность величины
x.
Формула для нахождения относительной погрешности будет записана так: (все члены берутся по абсолютной величине)
.
Для выражения в процентах нужно правую и левую части умножить на 100%.
Эту формулу удобно использовать и для нахождения абсолютной погрешности.
Действительно,
.
Результаты
представляют так:
.
Если функция x
представляет
сложную сумму или разность, то погрешности
находятся для каждого члена отдельно,
а затем суммируются. В тех случаях, когда
в формулы для нахождения величины x
входят физические или математические
справочные величины, выраженные
приближенными числами, их погрешностями
считают половину единицы низшего ряда.
Например,
![]()
![]()