Материал: физика когер фолн

Внимание! Если размещение файла нарушает Ваши авторские права, то обязательно сообщите нам

Ответ: 1

Ф5.1.3-4

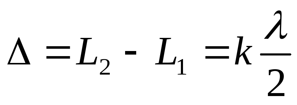
Если S1 и S2 – источники когерентных волн, а L1 и L2 – расстояния т. А до источников, то в т. А наблюдается максимум интерференции в воздухе при условии…

1: *

2:

3:

4:

При интерференции двух когерентных волн разность хода лучей может быть выражена формулой: , где k – целое число, - скорость волны в вакууме. Для интерференционного максимума число k является четным и равно , для интерференционного минимума число k является нечетным и равно . В точке А максимум интерференции наблюдается при .

Ответ: 1

Ф5.1.3-5

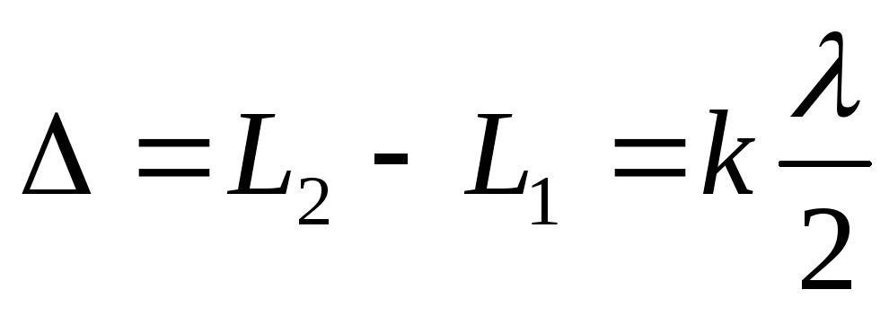
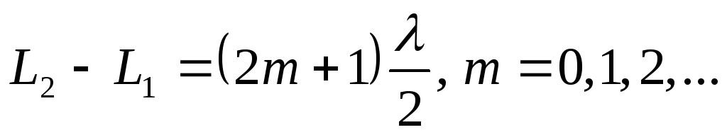
Если S1 и S2 – источники когерентных волн, а L1 и L2 – расстояния т. А до источников, то в т. А наблюдается минимум интерференции в воздухе при условии…

1: *

2:

3:

4:

При интерференции двух когерентных волн разность хода лучей может быть выражена формулой: , где k – целое число, - скорость волны в вакууме. Для интерференционного максимума число k является четным и равно , для интерференционного минимума число k является нечетным и равно . В точке А минимум интерференции наблюдается при или .

Ответ: 1

Ф5.1.3-6

радуж

1*

2

3

4

Ф5.1.4-1

Радужные пятна на поверхности воды, покрытой тонкой пленкой бензина, объясняются…

1: интерференцией света*

2: дисперсией света

3: дифракцией света

4: поляризацией света

Интерференция света — явление взаимного усиления или ослабления света до полной темноты (гашения) при наложении двух его волн, которые имеют одинаковые частоты колебаний.

Дисперсия света (разложение света) — это явление зависимости абсолютного показателя преломления вещества от длины волны света (частотная дисперсия), а также, от координаты (пространственная дисперсия), или, что то же самое, зависимость фазовой скорости света в веществе от длины волны (или частоты).

Дифракция – явление нарушения целостности фронта волны, вызванное резкими неоднородностями среды.

Поляризация — для электромагнитных волн это явление направленного колебания векторов напряженности электрического поля E или напряженности магнитного поля H.

В результате интерференции солнечных лучей в пленке бензина происходит усиление определенных волн, и ослабевание других, что и дает эффект радужных пятен.

Ответ: 1

Ф5.1.4-2

Постоянно меняющаяся радужная окраска мыльных пузырей объясняется…

1: интерференцией света*

2: дисперсией света

3: дифракцией света

4: поляризацией света

Интерференция света – явление взаимного усиления или ослабления света до полной темноты (гашения) при наложении двух его волн, которые имеют одинаковые частоты колебаний.

Дисперсия света (разложение света) – это явление зависимости абсолютного показателя преломления вещества от длины волны света (частотная дисперсия), а также, от координаты (пространственная дисперсия), или, что то же самое, зависимость фазовой скорости света в веществе от длины волны (или частоты).

Дифракция – явление нарушения целостности фронта волны, вызванное резкими неоднородностями среды.

Поляризация – для электромагнитных волн это явление направленного колебания векторов напряженности электрического поля E или напряженности магнитного поля H.

В результате интерференции солнечных лучей в мыльном пузыре происходит усиление определенных волн, и ослабевание других, что и придает радужную окраску пузырям.

Ответ: 1

Ф5.1.4-3

Волновой фронт точечного источника, разбитый на зоны одинаковой площади представляют собой…

1. дифракцию от двух щелей

2. зоны Френеля*

3. кольца Ньютона

4. дифракцию Фраунгофера

Принцип Гюйгенса-Френеля заключается в следующем:

1. При распространении волн, создаваемых источником S0, можно заменить источник эквивалентной ему системой вторичных источников и возбуждаемых ими вторичных волн. В качестве этих источников можно выбрать малые участки любой замкнутой поверхности S, охватывающей S0.

2. Вторичные источники когерентны между собой, поскольку эквивалентны одному и тому же источнику S0. Поэтому в любой точке вне вспомогательной поверхности S волны, реально распространяющиеся от источника S0, должны являться результатом интерференции всех вторичных волн.

3. Для поверхности S, совпадающей с волновой поверхностью, мощности вторичного излучения равных по площади участков одинаковы. Кроме того, каждый вторичный источник излучает свет преимущественно в направлении внешней нормали n.

В том случае, когда часть поверхности S покрыта непрозрачными экранами, вторичные волны излучаются только открытыми участками поверхности S.

Ответ: 2

Ф5.1.4-4

При прохождении параллельного пучка белого света через дифракционную решетку наблюдается его разложение в спектр. Это явление объясняется…

1: дифракцией света*

2: интерференцией света

3: дисперсией света

4: поляризацией света

Ответ: 1

Ф5.1.5-1

Если закрыть n открытых зон Френеля, а открыть только первую, то амплитудное значение вектора напряжённости электрического поля …

1. уменьшится в 2 раза

2. увеличится в n раз

3. не изменится

4. увеличится в 2 раза*

Для каждой открытой зоны Френеля амплитуда уменьшается монотонно: E1 > E2 > … > Em-1 > Em > Em+1. Фазы колебаний, возбуждаемых соседними зонами отличаются на π – т.е. находятся в противофазе. Поэтому: E = E1 – E2 + E3 – E4 + …. Вследствие монотонности амплитуду средней равна средней между соседними или: . . Если оставить только центральную зону открытой, то амплитуда вырастет в 2 раза, а интенсивность в 4 раза. Если поставить на пути световой волны пластинку, которая перекрывала бы все четные или нечетные зоны, то интенсивность света резко возрастает. Такая пластинка называется зонной пластинкой.

Ответ: 4

Ф5.1.6-1

На дифракционную решетку падает излучение одинаковой интенсивности с длинами волн λ1 и λ2. Укажите рисунок, иллюстрирующий положение главных максимумов, создаваемых дифракционной решеткой, если λ1 > λ2? (J – интенсивность, φ – угол дифракции).

1:

2:

3:

4:

Интенсивность потока, прошедшего дифракционную решетку , где - угол дифракции. При , значит, интенсивность при одинакова для обоих излучений. Условия главных максимумов дифракционной решетки: , откуда при .

Ответ: 4

Ф5.1.6-2

На дифракционную решетку падает излучение одинаковой интенсивности с длинами волн λ1 и λ2. Укажите рисунок, иллюстрирующий положение главных максимумов, создаваемых дифракционной решеткой, если λ1 > λ2? (J – интенсивность, φ – угол дифракции).

1. .

2.

3. *

Ф5.1.6-3

Имеются 4 решетки с различными постоянными d, освещаемые одним и тем же монохроматическим излучением различной интенсивности. Какой рисунок иллюстрирует положение главных максимумов, создаваемых дифракционной решеткой с наибольшей постоянной решетки? (J – интенсивность света, φ - угол дифракции).

1*: *

2:

3:

4:

Условия главных максимумов дифракционной решетки: , откуда чем больше , тем меньше .

Ответ: 1

Ф5.1.6-4

Одна и та же дифракционная решетка освещается различными монохроматическими излучениями с разными интенсивностями. Какой рисунок соответствует случаю освещения светом с наименьшей частотой? (J – интенсивность света, φ – угол дифракции).

1*:

2:

3:

4:

Условия главных максимумов дифракционной решетки: , откуда чем меньше , тем больше .

Ответ: 1

Ф5.1.6-5

Одна и та же дифракционная решетка освещается различными монохроматическими излучениями с разными интенсивностями. Какой рисунок соответствует случаю освещения светом с наибольшей частотой? (J – интенсивность света, φ – угол дифракции).

1:

2:

3:

4: