Интерференцией света называют пространственное перераспределение энергии светового излучения при наложении двух или нескольких световых волн. Условием интерференции волн одной и той же частоты является их когерентность, т.е. сохранение неизменной разности фаз за время, достаточное для наблюдения. В частности монохроматические волны когерентны и могут интерферировать.
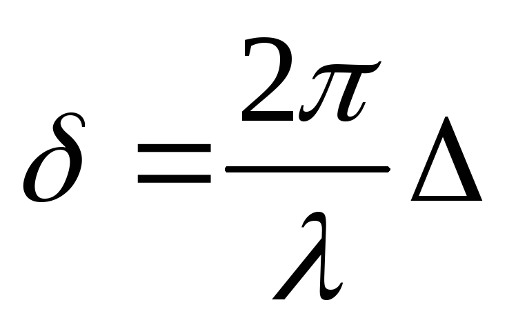
Оптическая
разность хода
.
Условие
максимума:
– оптическая разность хода равно целому
числу длин волн.
Условие
минимума
– оптическая разность хода равна
нечетному числу полуволн.
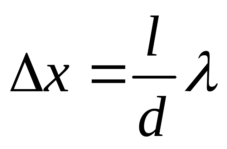
Расстояние
между интерференционными полосами
равно ширине интерференционных полос
и равно
.
Интерференция в тонких пленках:
В отражённом свете:
условие
максимума
;
условие
минимума
.
В проходящем свете:
условие
максимума
;
условие
минимума
.
Кольца Ньютона:
В отражённом свете:
условие
максимума
,
радиусы светлых колец
;
условие
минимума
,
радиусы темных колец
.
В проходящем свете:
условие
максимума
,
радиусы светлых колец
;
условие
минимума
,
радиусы темных колец
.
Явления, возникающие при распространении света в среде с резко выраженными неоднородностями, получили название дифракции света.
Принцип Гюйгенса-Френеля:
Во-первых: следуя Гюйгенсу, Френель считал, что при распространении волн, создаваемых источником SО, можно заменить источник эквивалентной ему системой вторичных источников и возбуждаемых ими вторичных волн. В качестве этих источников можно выбрать малые участки любой замкнутой поверхности S, охватывающей SО.
Во-вторых: Френель предположил, что вторичные источники когерентны между собой, поскольку эквивалентны одному и тому же источнику SО. Поэтому в любой точке вне вспомогательной поверхности S волны, реально распространяющиеся от источника SО, должны являться результатом интерференции всех вторичных волн.
В-третьих:
Френель предположил, что для поверхности
S,
совпадающей с волновой поверхностью,
мощности вторичного излучения равных
по площади участков одинаковы. Кроме
того, каждый вторичный источник излучает
свет преимущественно в направлении
внешней нормали
.
Наконец, Френель предполагал, что в том
случае, когда часть поверхности S
покрыта непрозрачными экранами, вторичные
волны излучаются только открытыми
участками поверхности S.
Площади
зон Френеля
не зависит от номера зоны Френеля. Это
означает, что мощности излучения
вторичных волн каждой зоны Френеля
равны.
Радиусы
границ зон Френеля:
.
Если оставить только центральную зону открытой (E – амплитуда световой волны, когда все зоны Френеля открыты; E1 – амплитуда световой волны, когда открыта первая зона Френеля):
амплитуда
световой волны возрастет в 2 раза
;
интенсивность световой волны возрастёт в 4 раза (поскольку интенсивность пропорциональна квадрату амплитуды).
Дифракция Френеля:
дифракция
на круглом отверстии

дифракция
от круглого диска
– в центре максимум (светлое пятно).
Дифракция Фраунгофера:
дифракция на щели:
– дифракционный
минимум;
– дифракционный
максимум.
дифракция на дифракционной решётке:
– главные
максимумы;
– главные
минимумы.
Дифракция рентгеновских лучей:
– формула
Вульфа-Брэггов.
Ф5.1.1-1
|
Т |
1.
2. 2dn* 3. 2dn1 4. 2dn2 |
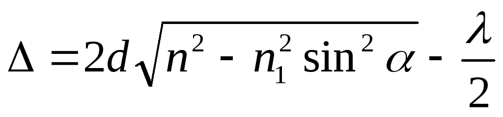
Оптическая
разность хода может быть выражена
формулой:
,
где величина
возникает при отражении от более плотной
среды, то есть когда
.
По условию угол падения равен 0 и
,
тогда
,
а отсутствие полуволны в оптической
разности хода имеет место из-за отражения
от оптически менее плотной среды.
Ответ: 2
Ф5.1.1-2

Правильный ответ 5.
Ф5.1.2-1
|
При интерференции двух когерентных волн с длиной волны 2 мкм интерференционный минимум наблюдается при разности хода, равной… |
1. 1 мкм* 2. 2 мкм 3. 4 мкм 4. 0 мкм |
При
интерференции двух когерентных волн
разность хода лучей может быть выражена
формулой:
,
где k
– целое число,
- длина волны в среде. Для интерференционного
максимума число k
является четным и равно
,
для интерференционного минимума число
k
является нечетным и равно
.
Исходя из этого, имеем
.
Для минимума k
должно быть нечетным числом, а значит
и Δ тоже должно иметь нечетное значение.
Нечетное значение имеет только
.
Ответ: 1
Ф5.1.2-2

Правильный ответ 1.
Ф5.1.3-1
|
Д |
1. максимум интерференции, так как разность хода равна нечетному числу полуволн 2. минимум интерференции, так как разность хода равна четному числу полуволн 3. максимум интерференции, так как разность хода равна четному числу полуволн* 4. минимум интерференции, так как разность хода равна нечетному числу полуволн |
Ф5.1.3-2
|
Д |
1: минимум интерференции, так как разность хода равна нечетному числу полуволн* 2: минимум интерференции, так как разность хода равна четному числу полуволн 3: максимум интерференции, так как разность хода равна нечетному числу полуволн 4: максимум интерференции, так как разность хода равна четному числу полуволн |
При
интерференции двух когерентных волн
разность хода лучей может быть выражена
формулой:
,
где k
– целое число,
-
скорость волны в вакууме. Для
интерференционного максимума
число k
является четным
и равно
,
для интерференционного минимума
число k
является нечетным
и равно
.
.
Т.к. k=5
– нечетно, то в точке А наблюдается
минимум интерференции.
Ответ: 1
Ф5.1.3-3
|
Е |
1: 0* 2: π/2 3: π 4: 2π |
Разность
фаз двух когерентных волн
.
Разность хода лучей двух когерентных
источников света
,
где k
– целое число,
- скорость волны в вакууме.
.
Для интерференционного максимума
число k
является четным
и равно
,
для центрального максимума число m=0,
т.о. k=0
и
.
При
интерференции двух когерентных волн
разность хода лучей может быть выражена
формулой:
,
где k
– целое число,
-
скорость волны в вакууме. Для
интерференционного максимума
число k
является четным
и равно
,
для интерференционного минимума
число k
является нечетным
и равно
.
.
Т.к. k=4
– четно, то в точке А наблюдается максимум
интерференции.