Материал: Физика из Чертова

Внимание! Если размещение файла нарушает Ваши авторские права, то обязательно сообщите нам

Задача 15.25

Две бесконечные параллельные плоскости находятся на расстоянии d=0,5 см друг от друга. На плоскостях равномерно распределены заряды с поверхностными плотностями δ1=0,2мкКл/м2 и δ2= -0,3 мкКл/м2. Определить разность потенциалов U между плоскостями.

Дано:

d=0,5см=5*10-3м

δ1=0,2мкКл/м2=2*10-7Кл/м2

δ2= -0,3 мкКл/м2=-3*10-7Кл/м2

Найти:

U-?

Решение:

Согласно принципу суперпозиции, поля, создаваемые каждой заряженной плоскостью в отдельности, накладываются друг на друга, причем каждая заряженная плоскость создает электрическое поле независимо от присутствия другой заряженной плоскости (рис. 1).

δ1 δ2

Рис. 1

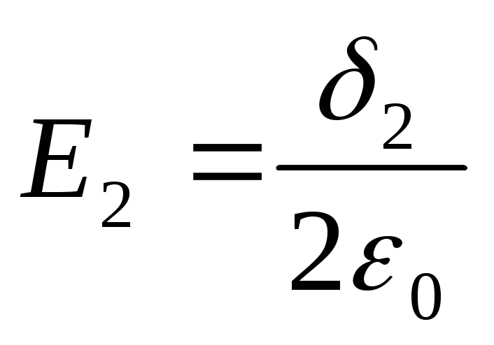
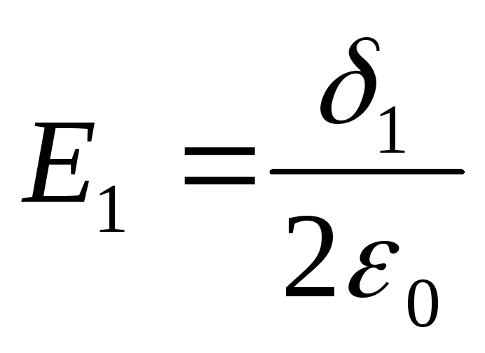
Напряженности однородных электрических полей, создаваемых первой и второй плоскостями, соответственно равны:

и

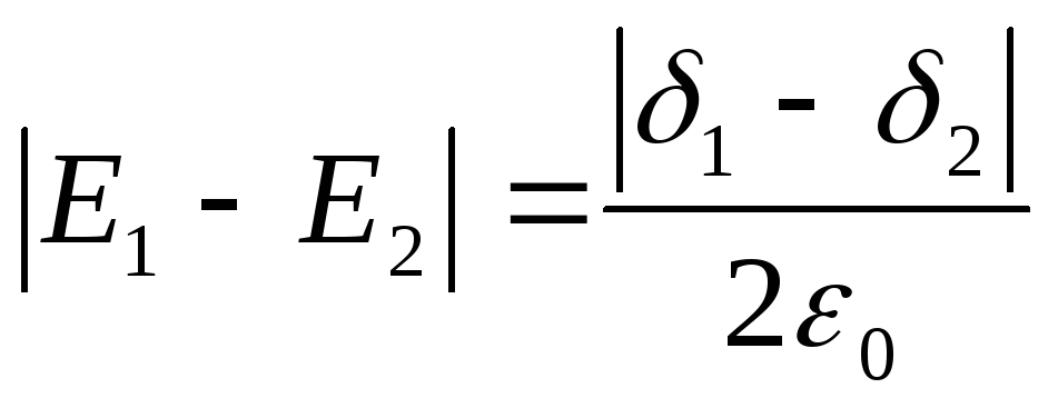
Плоскости делят все пространство на три области: I, II и III. Как видно из рисунка, в первой и третьей областях электрические силовые линии обоих полей направлены в одну сторону и, следовательно, напряженности суммарных полей E(I) и E(III) в первой и третьей областях равны между собой и равны сумме напряженностей полей, создаваемых первой и второй плоскостями:

E(I) = E(III) =E1+E2 =

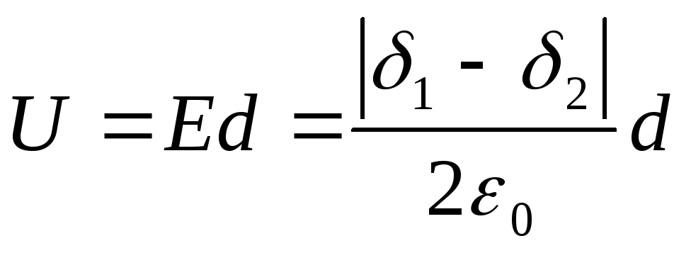
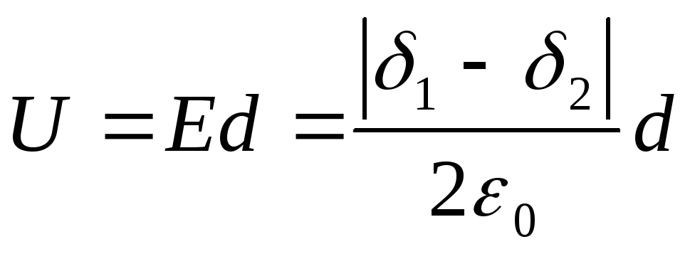
Во второй области (между плоскостями) электрические силовые линии полей направлены в противоположные стороны и, следовательно, напряженность поля E(II) равна разности напряженностей полей, создаваемых первой и второй плоскостями:

E(II)=

Таким образом,

Проверяем размерность:

Вычисление:

Ответ: U=140В

Задача 15.26

Две бесконечные параллельные плоскости находятся на расстоянии d=1см друг от друга. Плоскости несут равномерно распределенные по поверхностям заряды с плотностями δ1=0,2мкКл/м2 и δ2=0,5 мкКл/м2. Найти разность потенциалов U пластин.

Дано:

d=1см=10-2м

δ1= 0,2мкКл/м2=2*10-7Кл/м2

δ2= 0,5 мкКл/м2=5*10-7Кл/м2

Найти:

U-?

Решение:

См. также задачу 15.25

Проверяем размерность:

Вычисление:

Ответ: U=170В