Материал: ФХ лр37

Внимание! Если размещение файла нарушает Ваши авторские права, то обязательно сообщите нам

Работа №37

Определение термодинамических функций реакций, протекающих в окислительно-восстановительных элементах

Цель работы: ознакомиться с методикой составления гальванических элементов, содержащих окислительно-восстановительные электроды, изучить влияние температуры на ЭДС элемента, а также рассчитать изменения термодинамических функций в процессе протекания электрохимической реакции.

Литература: Практикум 1986, с.286-296, 310-313; метод. пособие 4724, А.М. Мерецкий, В.В. Белик, Основы электрохимической термодинамики. - М., 2011, с. 15-27, 54-62, 67-90, 145-148; метод. пособие Балицкий В.Н. Равновесные электрохимические процессы в гальванических элементах. -М., 1997, пособие 3931, с.1-19 (лаб.работа 4).

Теоретическая часть

Проводниками 1-го рода являются металлы в твердом и расплавленном состоянии, сульфиды и карбиды ряда металлов, графит. В таких проводниках перенос электричества осуществляется за счет движения электронов (электронная проводимость).

Проводники 2-го родя (электролиты) – химические соединения, которые находясь в твердом, растворенном или расплавленном состоянии проводят электрический ток. Носителями тока выступают ионы вещества – катионы и анионы (ионная проводимость).

Электродом (полуэлементом) называется электрохимическая система, включающая как минимум две контактирующие проводящие фазы, одна из которых является металлом (проводником 1-го рода), полупроводником или ионной мембраной, а другая - раствором или расплавом электролита (проводником 2-го рода).

Под обтатимыми электродами понимают электроды, на которых при изменении направления электрического поля (тока) на противоположное протекает та же самая по химической природе электродная полуреакция, но в обратном направлении.

Обратимый электрод 1-го рода - электрохимическая система, состоящая из металла (неметалла), помещенного в раствор, содержащий ионы того же металла (неметалла).

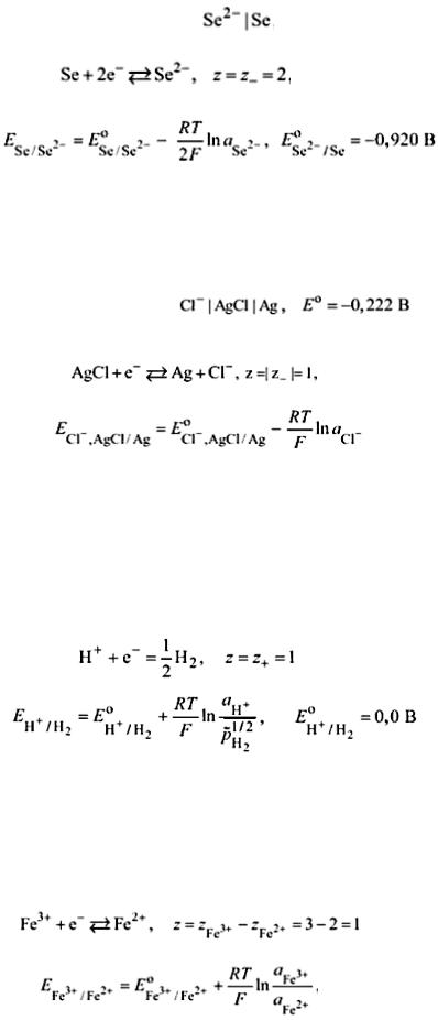
Электрод, обратимый по катиону: электродная полуреакция:

уравнение Нернста:

Электрод, обратимый по аниону: электродная полуреакция:

уравнение Нернста:

Электроды 2-го рода представляют собой металлическую пластинку, покрытую слоем малорастворимого соединения этого металла и помещенную в раствор электролита, который содержит анионы, одноименные с анионом малорастворимого соединения.

Хлорсеребрянный электрод: электродная полуреакция:

уравнение Нернста:

Газовые электроды состоят из металлического проводника, который контактирует одновременно и с электрохимически активным газм, пропускаемым через раствор электролита, и с самим раствором, содержащим ионы, природа которых соответствует продуктам окисления или восстановления этого газа на электроде

Водородный электрод: электродная полуреакция:

уравнение Нернста:

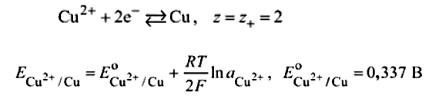
Окислительно-восстановительные электроды представляют собой инертный проводящий материал, погруженный в раствор, содержащий окисленную и восстановленную форму одного и того же элемента.

Элетрод: электродная полуреакция:

уравнение Нернста:

Гальваническим элементом называют электрохимическую систему,

которая вырабатывает электрическую энергию в результате самопроизвольно происходящих в ней химических превращений.

Электродный потенциал – ЭДС электрохимической цепи, составленной из электрода в сравнении.

Стандартный электродный потенциал – ЭДС электрохимической цепи, составленной из стандартного водородного электрода (слева) и исследуемого электрода (справа) при активности потенциалопределяющих веществ раной единице.

Термодинамические функции химической энергии:

Энергия Гиббса

,

где Е – электродвижущая сила гальванического элемента, z – число электронов, участвующих в элементарном акте электрохимической реакции, F – константа (число) Фарадея.

При положительной ЭДС элемента (

изменение энергии Гиббса

реакции, протекающей в гальваническом элемента,

 

Изменение энтропии

 

где (

 

 

)

(

 

)

 

 

 

 

 

температурный коэффициент ЭДС.

 

 

 

Изменение энтальпии

 

 

 

 

 

 

 

,

где Т – температура протекания электрохимической реакции Электрохимическая форма уравнения Гиббса-Гельмгольца:

( )

Задача

В гальваническом элементе обратимо протекает реакция:

ЭДС этого гальванического элемента зависит от температуры по уравнению:

1.Напишите уравнения реакций, протекающих на электродах.

2.Приведите условную запись элемента и определите тип каждого электрода элемента.

3.Рассчитайте ЭДС элемента при температуре 70оС.

4.Определите изменение энергии Гиббса ΔG, изменение энтропии ΔS, изменение энтальпии ΔH и выделяющуюся или поглощающуюся теплоту Q для процесса, протекающего в гальваническом элементе при температуре 298К.

5.Сравните рассчитанные в п. 4 изменения термодинамических функций с табличными данными, используя табл. 44 (А. А. Равдель. Краткий справочник физико-химических величин.)

 

 

 

 

Решение

 

1)

На катоде:

 

̅

 

1,36B

 

 

 

ноде

 

 

̅

0,222B

2)

| |

| |

|

 

электрод газовый второго электрод рода

3)При температуре 343К:

4)При температуре 298К

 

 

 

 

 

ж

к ж

(

 

)

 

В/К

 

 

 

 

 

(

 

)

Дж/К

 

 

 

 

 

 

 

 

ж

к ж

 

 

 

 

ж

к ж

 

 

 

происходит нагрев элемента

 

 

5) По справочным данным при температуре 298К

*

к ж

+

 

0

0

-126,78

 

 

 

 

 

 

 

 

 

мол

 

 

 

 

 

 

 

*

 

 

ж

 

+

42,55

222,98

96,23

 

 

мол

 

 

 

 

 

 

 

 

 

 

 

*

к ж

+

 

0

0

-109,54

 

 

мол

 

 

 

 

 

 

 

 

 

 

 

 

 

 

 

 

к ж

 

 

 

(

к ж)

 

 

 

 

 

 

 

 

 

 

ж

(

Дж/К)

 

 

 

 

 

 

 

 

 

 

 

 

 

 

кДж

 

 

 

(

к ж)

Как видим, различия между рассчитанными значениями и справочными данными несущественны