Материал: Фінансово-економічні розрахунки

Внимание! Если размещение файла нарушает Ваши авторские права, то обязательно сообщите нам

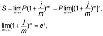
(1.21)

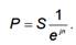
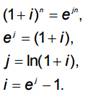
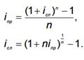
де е - основа натуральних логарифмів. Тоді вираз для визначення нарощеної суми за n років при безперервному нарахуванні відсотків матиме такий вигляд: . (1.22) Безперервна і дискретна ставки зв'язані між собою:  (1.23)

Формула для визначення сучасної вартості при безперервному нарахуванні відсотків така:  (1.24) При безперервному нарахуванні процентні та облікові ставки рівні. Безперервна облікова ставка називається силою дисконту.

1.8 Розрахунок нарощених сум в умовах інфляції

Інфляційні процеси, які характерні для економіки багатьох країн, вимагають, щоб вони враховувалися у фінансових розрахунках. Особливо необхідно звертати увагу на дію інфляції при обчисленні сум і визначенні дійсної ставки відсотків. Зовнішніми ознаками інфляції є, перш за все, зростання цін і, як наслідок, зниження купівельної спроможності грошей. Позначимо індекс цін Ip, а купівельну спроможність грошей через Id, тоді Id = 1/Ip. Оскільки індекс купівельної спроможності грошей є величиною оберненою індексу цін, то відношення нарощеної суми грошей до індексу цін (S/Iр) характеризує реальну купівельну спроможність нарощеної суми. Оскільки темп приросту цін ( ) в основному відповідає темпу приросту інфляції, то річний індекс цін складе величину 1 . За n років при збереженні передбачуваного середньорічного темпу зростання інфляції індекс цін буде дорівнювати n 1 .

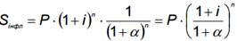
Таким чином, нарощена сума за термін n років з урахуванням її знецінення в результаті інфляції визначається за формулою:

(1.25)

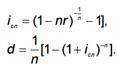
Відношення є множником нарощення, що враховує середньорічні темпи інфляції. Величина множника нарощення залежить головним чином від зміни банківської ставки і темпу приросту інфляції. Якщо темп приросту інфляції рівний ставці відсотків, що нараховуються, то купівельна спроможність нарощеної суми буде дорівнювати купівельній спроможності первинної суми, тобто Sінфл P . У цьому випадку вкладник у деякій мірі нейтралізує інфляційний чинник. Якщо i, то отримана нарощена сума не компенсує втрату купівельної спроможності капіталу в результаті інфляції. У даному випадку банківську ставку називають негативною ставкою. Тільки в разі, коли i , може спостерігатися реальне зростання купівельної спроможності вкладеного в банк капіталу.

Таку процентну ставку називають позитивною. З метою зменшення дії інфляції й компенсації втрат від зниження купівельної спроможності грошей використовують різні методи. Один з них - індексація процентної ставки.

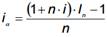
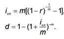
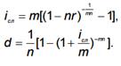
Сутність цього методу полягає в тому, що процентна ставка корегується відповідно до темпу інфляції. Величина корегування обумовлюється в контракті. Ставку, скореговану на інфляцію, умовно можна назвати брутто-ставкою. Множник нарощення за брутто-ставкою визначається, виходячи з номінальної банківської процентної ставки і поправного множника. Позначимо брутто-ставку символом i , тоді  (1.26)

де In - індекс інфляції; - термін кредиту;- номінальна процентна ставка.

1.9 Поняття щодо еквівалентних процентних ставок

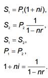
Види ставок вирішують, по суті, однакові задачі визначення зміни вартості капіталів протягом часу. У зв'язку з цим у фінансових операціях можливо здійснити вибір таких процентних чи облікових ставок, при використанні яких фінансові результати будуть однаковими. Ставки, що забезпечують однакові фінансові результати операцій, називаються еквівалентними, або релятивними (відносними). Наприклад, рівноцінні фінансові результати можуть бути одержані при рівності множників нарощення й дисконтування:

(1.29)

Розв'язавши даний вираз i або r, вираз для визначення еквівалентних ставок. Такий же принцип використовується і для визначення еквівалентних ставок в інших випадках. Для випадку (1.29) вираз для еквівалентних ставок виходить таким:

(1.30)

Якщо термін операції не рівний цілому числу років, а визначається як , то:

(1.31)

Якщо часова база у ставок, для яких треба знайти еквівалентну, була різна (360 або 365 днів), то треба врахувати це при розрахунках. Дуже важливим завданням є визначення еквівалентних простих і складних ставок. При нарахуванні один раз на рік вираз матиме такий вигляд

(1.32)

Еквівалентність простої процентної ставки із складною ставкою при нарахуванні відсотків m разів на рік:

(1.33)

Еквівалентність складної процентної ставки і простої облікової ставки:

[ (1.34)

Еквівалентність номінальної складної процентної ставки при нара- хуванні m разів на рік і простої облікової ставки:

 (1.35)

Еквівалентність номінальної складної процентної ставки і складної облікової ставки:

 (1.36)

Еквівалентність номінальної складної процентної ставки при нара- хуванні m разів на рік і складної облікової ставки:

 (1.37)

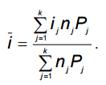
1.10 Середні процентні ставки

Розглядаючи принцип еквівалентності процентних ставок, необхідно звернути увагу й на розрахунок середніх процентних ставок, тому що для декількох процентних ставок їх середнє значення є еквівалентною величиною. У випадку якщо нарахування на суму капіталу проводиться з використанням різних ставок у різні періоди часу (або якщо нарахування здійснюється на однакові суми), то усереднення ставок проводиться за формулою середньої арифметичної зваженої, в якій вагами служать періоди часу, в які діяла та чи інша ставка:

, (1.38)

де - середня ставка; j - періоди дії ставки ij. ;- кількість періодів, у які діяли різні ставки.

Якщо необхідно знайти середню ставку серед ставок, які застосовуються до різних сум у різні періоди, то визначення такої середньої буде проводиться також з використанням формули середньої зваженої, але вагами виступатиме добуток суми Pj на термін дії ставки за цією сумою nj :

(1.39)

Розрахунок середньої простої облікової ставки здійснюється за таким же принципом. Якщо у фінансових операціях використовуються складні ставки, то їх усереднення треба проводити за формулою середньої геометричної:

, (1.40)

де i…ik - ставки складних відсотків;1 n2 … nk N - інтервали часу, протягом яких проводиться нарахування за складними відсотками.

Розділ ІІ. Виконання завдань

•        Термін платежу по векселю складає 2 роки. Дохід операції обліку повинна бути рівна 10% річних по ставці простих відсотків. Обчислити потрібне значення облікової ставки.

Розв’язок:

Принцип еквівалентності ставок використовується при порівнянні ставок, які застосовуються в різноманітних угодах, визначенні ефективності фінансово-кредитних операцій, беззбитковій заміні одного виду відсоткових ставок іншими.

Виведення формул еквівалентності ставок у всіх випадках базується на рівності взятих попарно відповідних множників нарощення.

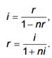
Розглянемо умови, за яких нарощення відсотків за простою ставкою відсотків (і) призведе до таких самих результатів, що і нарахування цих грошей за простою обліковою ставкою (d) при зафіксованих однакових початковій величині (Р) і строках (n). Очевидно, має виконуватися умова, за якої нарощені суми для цих відсоткових ставок будуть однакові, тобто S1 = S2, де S1 - це нарощена сума, при визначенні якої використовувалась проста ставка відсотків (i), а S2 - це нарощена сума, при визначенні якої використовувалась проста облікова ставка (d). Прирівняємо множники нарощення за цими ставками (1 + in) = (1 - nd)-1. З цього рівняння можна вивести співвідношення між простою ставкою відсотків і простою обліковою ставкою.

Формула простої облікової ставки, що еквівалентна простій ставці відсотків, має такий вигляд:  , . Отже, облікова ставка , 0.083, тобто 8%

•        Депозитний сертифікат дисконтного типу номіналом 50000 гр.од., ціна якого обраховується з використанням облікової ставки, був куплений за півроку до його погашення і проданий через 3 місяці. Значення ринкових облікових ставок в моменти купівлі і продажу складають 40 і 30 % річних відповідно. Обрахувати дохід від операції купівлі - продаж і її дохід у вигляді річної ставки простих відсотків.

Розв’язок:

Доход банку від здійснення даної операції з депозитним сертифікатом визначається як курсова різниця між цінами його продажу та купівлі на ринку, що визначаються за формулами :


Дохід, який визначається як різниця між цінами продажу та купівлі складе:

Д = 46 250 - 40 000 = 6 250 грн.

Дохідність даної операції з ощадним сертифікатом, визначена за формулою ефективної ставки простих відсотків складе:


•        В пенсійний фонд щорічно в кінці року будуть вноситись суми 50000 гр.од., на котрі нараховуються складні відсотки по ставці 8% річних . Визначити суму, накопичену в фонді за 20 років.

Розв’язок:

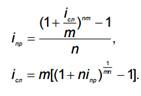
У формулі нижче, i - це фактична відсоткова ставка за період. FV і PV представляють майбутнє та поточне значення суми.  представляє кількість періодів.

Ось найбазовіша формула: складних відсотків

Наведене рівняння обраховує майбутнє значення (FV) для поточного інвестованого значення (PV), яке наростало зі сталою відсотковою ставкою (i) за n періодів.

При відкладанні у накопичувальні фонди з річною ставкою 8%, за перший рік сума зросте до 50000*(1+8/100)=54000 (гр.од)

Наступного року до даної суми додається ще 50000 грн. В результаті, за другий рік сума збільшиться до (50000+54000)*(1+8/100) =112320 (гр.од).

Отже за 20 років : P20=2 646 970* (1+8/100) = 2 858 728 (гр.од.)
В результаті: Це і є сума накопичена за 20 років

•        Існує зобов’язення сплатити 100 млн. гр.од. через 5 років. Сторони згодились змінити умови погашення боргу наступним чином: через 2 роки виплачуються 30 млн. гр..од., а залишившийся борг - через 4 роки після першої виплати. Визначити суму остаточного платежу. При розрахунках застосувати ставку відсотків - 12 % річних.

Розв’язок:

За ставкою складних відсотків порахуємо борг 30 млн. гр.од. через 2 роки під 12% річних:FV=PV*(1+r)n; FV2= (1,12)2*30= 1,2544*30=37,632 млн.гр.од.

За ставкою складних відсотків порахуємо борг 70 млн. гр.од через 4 роки під 12% річних::FV=PV*(1+r)n; FV4= (1,12)4*70= 110,146355

Отже, сума остаточного платежу = 147,778355 млн.гр.од.

•        Вклад в сумі 500 000 гр.од. покладений в банк на півроку с щомісячним нарахуванням складних відсотків по ставці 16% річних. При рівні інфляції, що складає 10% в місяць, знайти реальний дохід вкладника.

Розв’язок:

Номінальну суму вкладу з процентами визначаємо за формулою:

Індекс інфляції, розрахований за півроку складе:


Відповідно, сума вкладу з процентами з точки зору її купівельної спроможності, буде дорівнювати:

Таким чином, реальний дохід (збиток) вкладника складе:  Д (З) = 305 571.235 - 500 000 = - 194 428,765 грн., що означає реальне знецінення доходу вкладника.

Висновок

Дана курсова робота сформувала в мені чіткі знання щодо всіх специфічних властивостей саме фінансових розрахунків у різних сферах економіки.

Я детально ознайомилася з методами розрахунків щодо фінансових операцій, пов’язаних з нарощенням або дисконтуванням фінансів, щодо фінансових рент, щодо кредитних операцій і методів погашення кредитів у сучасній банківській практиці, щодо інвестиційних операцій і методів оцінки їх ефективності.

Ці знання потрібні для подальшого вивчення всіх фінансових дисциплін й можуть широко використовуватися на практиці. Розвиток фінансової грамотності й навичок вільного оперування фінансами зараз є необхідними якостями спеціаліста з кожної економічної спеціальності.