Материал: Фінансово-економічні розрахунки

Внимание! Если размещение файла нарушает Ваши авторские права, то обязательно сообщите нам

Фінансово-економічні розрахунки

Міністерство освіти і науки України

Національний авіаційний університет

Інститут інформаційно-діагностичних систем

Кафедра прикладної математики







Курсова робота

з дисципліни «Фінансова математика»

Виконала:

студентка ІІДС-351

Добровольська Анна

Перевірив:

Гумінський Віктор Валентинович





Київ 2015

Вступ

Дана курсова робота присвячена детальному вивченню методів проведення статистичних розрахунків у такій найважливішій сфері діяльності, як фінанси та їх оборот на фінансових ринках. Ринкова економіка кожної розвинутої держави ґрунтується на функціонуванні, постійному розвитку та активній взаємодії різних типів ринків, а саме матеріальних ринків вироблення продукції й надання послуг, ринків праці та всіх складових фінансового ринку.

При сучасному рівні розвитку світової економіки функціонування економіки кожної окремої країни зараз уже неможливе без високорозвиненого фінансового ринку. Навіть таке загальне визначення фінансового ринку, як системи економічних та правових відносин, пов’язаних з купівлею-продажем (залученням-розміщенням) або випуском в обіг різних видів фінансових активів, уже містить у собі твердження про те, що сучасна економічна система невід’ємна від поняття фінансового ринку, тому що існування та обіг матеріальних активів неможливі без існування й обігу фінансових активів.

Поняття та вільне оперування фінансовими розрахунками, розуміння сутності різних фінансових інструментів та вміння вільно оперувати фінансовими розрахунками є необхідними якостями сучасного спеціаліста з економічних дисциплін.

Постановка задачі

•        Термін платежу по векселю складає 2 роки. Дохід операції обліку повинна бути рівна 10% річних по ставці простих відсотків. Обчислити потрібне значення облікової ставки.

•        Депозитний сертифікат дисконтного типу номіналом 50000 гр.од., ціна якого обраховується з використанням облікової ставки, був куплений за півроку до його погашення і проданий через 3 місяці. Значення ринкових облікових ставок в моменти купівлі і продажу складають 40 і 30 % річних відповідно. Обрахувати дохід від операції купівлі - продаж і її дохід у вигляді річної ставки простих відсотків.

•        В пенсійний фонд щорічно в кінці року будуть вноситись суми 50000 гр.од., на котрі нараховуються складні відсотки по ставці 8% річних . Визначити суму, накопичену в фонді за 20 років.

•        Існує зобов’язення сплатити 100 млн. гр.од. через 5 років. Сторони згодились змінити умови погашення боргу наступним чином: через 2 роки виплачуються 30 млн. гр..од., а залишившийся борг - через 4 роки після першої виплати. Визначити суму остаточного платежу. При розрахунках застосувати ставку відсотків - 12 % річних.

•        Вклад в сумі 500000 гр.од. покладений в банк на півроку с щомісячним нарахуванням складних відсотків по ставці 16% річних. При рівні інфляції, що складає 10% в місяць, знайти реальний дохід вкладника.



Розділ I.Теоретичні відомості

.1 Фінансово-економічні розрахунки

Фінансово-економічні розрахунки (ФЕР, інша назва - фінансова математика) - це область знань, яка дає цілісну концепцію кількісного фінансового аналізу умов та результатів кредитно-фінансових угод, пов'язаних з наданням фінансових коштів на різних умовах. Потоки фінансових платежів мають місце при здійсненні інвестиційних операцій, кредитних, розрахункових і при використанні різних фінансових інструментів. Скрізь, де виникає задача приведення у відповідність розмірів та термінів платежів з часом проведення розрахунків і умовами фінансових угод, потрібно застосовувати методи фінансової математики, тобто фінансово-економічні розрахунки.

Потреба в застосуванні методів ФЕР виникає тоді, коли в обчислен- нях повинні бути враховані три параметри: вартісні характеристики (суми платежів та позичок), часові дані (дати і терміни виплат, тривалість піль- гових періодів, відстрочки платежів та. ін.), а також процентні ставки. Зрештою головна роль ФЕР полягає в тому, що вони дозволяють ефек- тивно здійснити інвестиційну діяльність, проводити проектний аналіз, управління фінансами та фінансовими активами. Фінансово-економічні розрахунки є достатньо специфічними мето- дами саме фінансової математики. У багатьох випадках методи фінансо- вої математики не можуть застосовуватися для інших сфер дослідження. Однією з проблем нашого суспільства виступає низька фінансова грамотність населення. Зараз у нашій економіці з’являється багато нових фінансових інструментів, нових фінансових інститутів індивідуального та сумісного інвестування, що потребує оволодіння новими знаннями для потенційних інвесторів щодо методів фінансових розрахунків.

На практиці методи фінансової математики досить широко застосо- вуються в банківській справі, у страхуванні, в роботі інвестиційних та торгових організацій, а також при аналізі роботи фінансових установ, процесів на біржах і валютних ринках. Застосування фінансово-економічних розрахунків дозволяє вирішувати задачі, які агреговано можуть бути представлені так: розрахунок кінцевих сум грошей, які знаходяться на депозитах, кредитних рахунках та в цінних паперах; визначення взаємозалежності між окремими параметрами фінансової операції та параметрів, виходячи з первісної інформації; визначення альтернативних напрямків вкладень або еквівалентних умов проведення операції; аналіз наслідків зміни умов фінансової операції; розробка планів виконання фінансових операцій; розрахунок показників дохідності фінансових активів та вартості фінансових ресурсів; розрахунок різних загальних показників аналізу фінансової операції, які дозволяють порівнювати різні фінансові операції між собою та робити обґрунтований вибір найкращої. Джерелами інформації є фінансові звіти, статистичні масиви даних щодо фінансових операцій, статистична інформація щодо процентних ставок, курсів валют, фінансових індексів, цін та інших критеріїв здійснення фінансових розрахунків.

1.2 Сутність процентних платежів

Найважливішою категорією фінансової математики є категорія відсотків, або процентних грошей. Вартість грошей протягом часу змінюється. Капітал повинен приносити дохід його власнику як при вкладеннях, що здійснюються самим власником, так і при таких вкладеннях, коли власник надає свій вільний капітал іншим суб'єктам. У будь-якій фінансовій угоді обумовлюються умови надання капіталу в борг. Відсоток є відображенням зміни вартості грошей у часі.

Причому це не тільки плата за користування позиковими коштами, а й показник прибутковості будь-якого вкладення капіталу. Таким чином, відсоток, або процентні гроші, - це сума, що сплачується за користування коштами, або абсолютна величина доходу з капіталу.

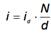
Відношення процентних грошей, отриманих на одиницю часу, до величини капіталу називають процентною ставкою: (1.1) Позначимо ставку у відсотках річних як і. Нехай є Р - початковий капітал, I - сума доходу, яку інвестор бажає одержати від свого капіталу, n - строк фінансової операції в роках. Якщо дохід I отримано за d днів, то процентна ставка обчислюється так:  (1.2)де N - число днів у році (360 чи 365 днів). Для вибору числа днів для розрахунку використовується: німецька практика - під річною базою розуміють 360 днів, а тривалість місяця приймається рівною 30 дням; французька практика - під базою розуміють 360 днів, а кількість днів у місяці відповідає календарному; англійська практика - річна база 365 (366) днів, а кількість днів у місяці відповідає календарному. Дохід, який може бути отриманий з капіталу при відомій процентній ставці, обчислюється так:  (1.3) Якщо не сказано нічого іншого, то процентна ставка завжди відображається у відсотках річних, але якщо зазначено, що прибутковість складає, скажімо, 10% за три місяці, то таку ставку для порівняння зі ставками, вираженими у відсотках річних, необхідно перевести в річні відсотки. Співвідношення таке:  (1.4) де, - ставка за період; N - число днів в році (360 чи 365 днів); d - число днів, тобто період, за який відома дохідність, яку варто перевести в річні відсотки . Щодо моменту виплати відсотки розділяються на звичайні й авансові. Звичайні (декурсивні - postnumerando) відсотки нараховуються наприкінці періоду щодо вихідної величини коштів. Дохід виплачується наприкінці періоду фінансової операції. Найчастіше використовується саме цей метод нарахування відсотків. Якщо ж відсотки виплачуються в момент здійснення фінансової угоди щодо кінцевої суми, то такі процентні виплати є авансовими (антисипативними - prenumerando). Такий спосіб нарахування відсотків ще називають урахуванням і найчастіше застосовують при угодах з дисконтними цінними паперами. Базою розрахунку при цьому є кінцева сума капіталу разом з нарахованими на неї відсотками.

1.3 Визначення нарощеної суми на основі простої процентної та облікової ставки

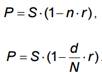
Практика сплати відсотків заснована на теорії нарощення коштів. Якщо нарощення йде по арифметичній прогресії, то використовується проста процентна ставка, якщо по геометричній, то - складна процентна ставка. Нехай є Р - початковий капітал, I - сума доходу, яку інвестор бажає одержати від свого капіталу. Нарощення вихідної суми Р здійснюється за рахунок нарахування відсотків за процентною ставкою і. Нарощення відбувається протягом n періодів (років), нарахування відсотків - раз на рік. Базова формула для визначення нарощеної суми за простою процентною ставкою:  (1.5) Якщо термін угоди не дорівнює цілому числу років, то:  (1.6) Якщо встановлена дискретна ставка, то:  (1.7) Формули нарощення (1.1)-(1.7) застосовуються при декурсивному нарахуванні відсотків. Якщо ж використовується антисипативний спосіб, то тоді застосовується не процентна, а облікова ставка r. Розрахунок нарощеної суми здійснюється так:

(1.8)

1.4 Визначення дисконтованих сум на основі простої процентної та облікової ставки

Зворотний процесу нарощення є процес дисконтування. Термін дисконтування вживається у фінансовій практиці дуже широко. Най частіше під цим терміном розуміється спосіб визначення суми Р на деякий момент за умови, що в майбутньому при нарахуванні на неї відсотків вона могла б скласти нарощену суму S. Суму Р, що отримана шляхом дисконтування нарощеної суми S, називають сучасною, або приведеною, сумою. За допомогою дисконтування у фінансових розрахунках ураховується фактор часу.

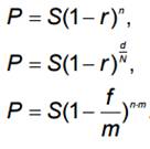
У кредитній практиці під дисконтуванням також розуміють спосіб надання кредиту, коли відсотки за обліковою ставкою нараховуються на суму, що підлягає погашенню наприкінці терміну позички. Тому розрізняють математичне і банківське дисконтування. При математичному дисконтуванні вирішується задача, що є зворотною визначенню нарощеної суми. Задача формулюється так: яку суму треба дати в борг сьогодні (інвестувати) на n років, щоб при нарахуванні на неї відсотків за ставкою i одержати нарощену суму S? Якщо в операції використовується проста процентна ставка, то формули для математичного дисконтування будуть такі:

(1.9).

Якщо мова йде про банківське дисконтування, то формули визначення дисконтованих сум при використанні простої облікової ставки такі:

(1.10)

1.5 Визначення нарощеної суми на основі складної процентної та облікової ставки

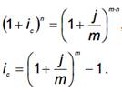
Крім простих відсотків, у фінансовій практиці широко використовується складна ставка відсотка. Основна відмінність складних відсотків від простих полягає в тому, що в кожен період нарахування відсотків змінюється база подальшого нарахування доходу, тому що сума нарахованих відсотків додається до первісної суми. Тому процес нарощення капіталу відбувається значно швидше. Механізм нарощення первісного капіталу з використанням складних відсотків називається капіталізацією. Розрізняють річну капіталізацію (відсотки нараховуються й додаються до первісної суми раз на рік), піврічну, квартальну, місячну та щоденну. У цьому випадку нарахування відсотків також може здійснюватися декурсивним і антисипативним способами. Розглянемо декурсивний спосіб нарахування складних відсотків. Базова формула визначення нарощеної суми при використанні складної процентної ставки така: . (1.11) Якщо термін угоди не дорівнює цілому числу років, то: . (1.12) Для складних відсотків принципове значення має період нарахування відсотків. Нехай m - число разів нарахування відсотків за рік. Тоді формулу (1.11) треба змінити так:  (1.13) де j - номінальна річна процентна ставка. Виділяють поняття ефективної процентної ставки, тобто такої, котра показує реальну дохідність операції за рік. Тобто ефективна ставка складних відсотків - це така ставка, яка дозволяє отримати такий же дохід, як і при m- разовому нарахуванні відсотків за номінальною ставкою j.

Позначимо ефективну ставку як ic.

(1.14)

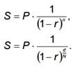
Ефективна ставка більше номінальної. При використанні складних відсотків нарощення може відбуватися й антисипативним методом. Загальна формула визначення нарощеної суми така:

(1.15)

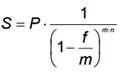
де r - облікова ставка складного відсотка. Якщо нарахування відсотків відбувається кілька разів на рік, тоді:

(1.16)

де f - номінальна облікова ставка складного відсотка.

1.6 Визначення дисконтованих сум на основі складної процентної та облікової ставки

Дисконтування, тобто визначення первісної вартості за допомогою складної процентної ставки, є найбільш поширеним методом у фінансо- вій математиці щодо приведення платежів майбутніх періодів до сучас- ного моменту часу. Знання принципу цього виду дисконтування дозволяє з легкістю вирішувати складні фінансові задачі, в яких потоки платежів розтягнуті в часі. Наприклад, здійснення оцінки дохідності фінансових інвестицій або знаходження дохідності чи вартості облігації. Формула для знаходження дисконтованої суми на основі складної процентної ставки, як і в разі використання простої процентної ставки, може бути отримана шляхом перетворення формул нарощення. Якщо в операції застосовувалася складна процентна ставка, то формули для математичного дисконтування будуть такі:

(1.17)

Банківське дисконтування при використанні складної облікової ставки здійснюється за такими формулами:

(1.18) .

1.7 Дії з безперервними відсотками

процентний обліковий ставка відсоток

Нарахування відсотків на первинний капітал, або дисконтування нарощених сум, може проводитися так часто, що цей процес можна розглядати як безперервний. У цьому випадку використовуються безперервні відсотки. Суть безперервних відсотків полягає в тому, що кількість періодів нарощення або дисконтування наближається до нескінченності, а часовий інтервал між періодами - до нуля. Безперервні відсотки використовуються при обґрунтуванні й виборі інвестиційних проектів, при кількісному аналізі складних економічних процесів. Безперервне нарощення процентів проводиться за допомогою особливого виду процентної ставки, яка називається силою зростання. Сила зростання є відносним приростом нарощеної суми в нескінченно малому проміжку часу, тобто

(1.19)

Вона може бути постійною або змінною величиною. Постійна сила зростання При використанні дискретної номінальної ставки нарощена сума визначається за допомогою виразу:  (1.20) . Чим більше величина m, тим менші часові проміжки між періодами нарахування відсотків (вони наближаються до нуля