3.1 Исходные данные
Принятые исходные данные для расчета реактора представлены в таблице 3.1, состав сырья (бутен-изобутиленовой фракции) - в таблице 3.2, варианты заданий для расчета реактора синтеза МТБЭ - в таблице 3.3.
Таблица 3.1 – Исходные данные для расчета реактора
Параметр |
Единица |
Значение |
Температура процесса, t |
°С |
70 |
Давление процесса, Р |
МПа |
0,75 |
Количество дней работы установки |
- |
330 |
Производительность по МТБЭ, GМТБЭ |
т/год |
50000 |
Производительность по МТБЭ, GМТБЭ |
кг/ч |
6313,1 |
Конверсия изобутилена, ХИБ |
доля масс. |
0,95 |
Доля изобутилена на образование изооктилена, ХИБИО |
доля масс. |
0,005 |
Доля изобутилена на образование третбутанола, ХИБТБ |
доля масс. |
0,005 |
Соотношение метанол : изобутилен (мольное), К |
- |
4 |
Селективность процесса по изобутилену (на МТБЭ), S |
- |
0,99 |
Таблица 3.2 – Состав БИФ (бутен-изобутеновой фракции)
Компонент |
% масс. |
∑C3 |
0,5 |
Изобутан |
2 |
Н-бутан |
12 |
Бутен-1 + бутен-2 |
37 |
Изобутилен |
48,4 |
∑C5 |
0,1 |
Итого |
100 |
3.2Расчет процесса синтеза МТБЭ 3.2.1 Материальный баланс реактора
Обозначим количество изобутилена, поступающего в реактора как GИБ. Тогда количество конвертированного изобутилена составит
где ХИБ – конверсия изобутилена, доля масс. (таблица 3.1).
Количество образовавшегося МТБЭ составит:
где S – селективность процесса по изобутилену (на МТБЭ); ММТБЭ и МИБ – молекулярные массы МТБЭ и изобутена соответственно, г/моль.
31
Таблица 3.3 – Варианты заданий для расчета реактора синтеза МТБЭ
Вариант |
Производительность |
Количество дней |
Температура |
|
реактора, т/год по МТБЭ |
работы |
процесса, °С |
||
|
||||
|
|
|
|
|
1 |
25000 |
325 |
60 |
|
2 |
27500 |
330 |
65 |
|
3 |
30000 |
335 |
70 |
|
4 |
32500 |
340 |
75 |
|
5 |
35000 |
325 |
80 |
|
6 |
37500 |
330 |
60 |
|
7 |
40000 |
335 |
65 |
|
8 |
42500 |
340 |
70 |
|
9 |
45000 |
325 |
75 |
|
10 |
47500 |
330 |
80 |
|
11 |
50000 |
335 |
60 |
|
12 |
52500 |
340 |
65 |
|
13 |
55000 |
325 |
70 |
|
14 |
57500 |
330 |
75 |
|
15 |
60000 |
335 |
80 |
|
16 |
62500 |
340 |
60 |
|
17 |
65000 |
325 |
65 |
|
18 |
67500 |
330 |
70 |
|
19 |
70000 |
335 |
75 |
|
20 |
72500 |
340 |
80 |
|
21 |
75000 |
325 |
60 |
|
22 |
77500 |
330 |
65 |
|
23 |
80000 |
335 |
70 |
|
24 |
82500 |
340 |
75 |
|
25 |
85000 |
325 |
80 |
|
26 |
87500 |
330 |
60 |
|
27 |
90000 |
335 |
65 |
|
28 |
92500 |
340 |
70 |
|
29 |
95000 |
325 |
75 |
|
30 |
97500 |
330 |
80 |
Подбираем значение GИБ таким образом, чтобы количество образовавшегося МТБЭ совпадало со значением, представленным в таблице 3.1. В ходе подбора определили, что GИБ = 4271,6 кг/ч. Таким образом,
Количество образовавшегося МТБЭ составит
32
что совпадает с табличным значением.
Количество непрореагировавшего изобутилена определяется по формуле
Количество углеводородной фракции, поступающей в реактор,
где 0,484 – содержание изобутилена в исходном сырье, доля мас. (таблица 3.2).











































.
Массовое соотношение метанол : изобутилен определится как





)
где К – мольное соотношение метанол : изобутилен (табл. 3.1); ММЕТ – молекулярная масса метанола, г/моль.
Количество метанола на входе в реактор:
Количество метанола, пошедшего на образование МТБЭ:




































.
Количество непрореагировавшего метанола на выходе из реактора:
Количество воды, пошедшей на образование третбутилового спирта:
где МВОДА – молекулярная масса воды, г/моль; ХИБТБ - доля изобутилена,
пошедшего на образование третбутанола, доля мас. (таблица 3.1).
Количество образовавшегося третбутанола:
где МТБ – молекулярная масса третбутанола, г/моль.
Количество образовавшегося изооктилена:
где ХИБИО – доля изобутилена, пошедшая на образование изооктилена, доля мас.
.
Материальный баланс реактора представлен в таблице 3.4.
33
Таблица 3.4 – Материальный баланс реактора
Компонент |
% масс. |
т/год |
т/сут |
кг/ч |
кг/с |
Приход |
|
|
|
|
|
∑C3 |
0,24 |
349,5 |
1,1 |
44,1 |
0,012 |
Изобутан |
0,95 |
1398,0 |
4,2 |
176,5 |
0,049 |
Н-бутан |
5,70 |
8387,9 |
25,4 |
1059,1 |
0,294 |
Бутен-1 + бутен-2 |
17,56 |
25862,6 |
78,4 |
3265,5 |
0,907 |
Изобутилен |
22,97 |
33831,1 |
102,5 |
4271,6 |
1,187 |
∑C5 |
0,05 |
69,9 |
0,2 |
8,8 |
0,002 |
Метанол |
52,50 |
77328,3 |
234,3 |
9763,7 |
2,712 |
Вода |
0,04 |
51,7 |
0,2 |
6,5 |
0,002 |
Итого |
100,0 |
147279,0 |
446,3 |
18595,8 |
5,166 |
Расход |
|
|
|
|
|
МТБЭ |
33,95 |
50000,0 |
151,5 |
6313,1 |
1,754 |
Непрореагировавший метанол |
40,16 |
59146,5 |
179,2 |
7468,0 |
2,074 |
Непрореагировавший изобутилен |
1,15 |
1691,6 |
5,1 |
213,6 |
0,059 |
∑C3 |
0,24 |
349,5 |
1,1 |
44,1 |
0,012 |
Изобутан |
0,95 |
1398,0 |
4,2 |
176,5 |
0,049 |
Н-бутан |
5,70 |
8387,9 |
25,4 |
1059,1 |
0,294 |
Бутен-1 + бутен-2 |
17,56 |
25862,6 |
78,4 |
3265,5 |
0,907 |
∑C5 |
0,05 |
69,9 |
0,2 |
8,8 |
0,002 |
Изооктилен |
0,11 |
160,7 |
0,5 |
20,3 |
0,006 |
Третбутанол |
0,14 |
212,4 |
0,6 |
26,8 |
0,007 |
Итого |
100,0 |
147279,0 |
446,3 |
18595,8 |
5,166 |
3.2.2 Тепловой баланс реактора
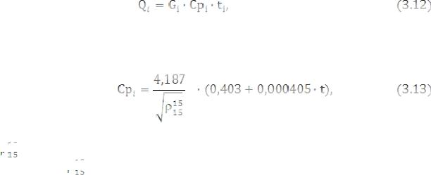
Суть теплового баланса реактора заключается в определении количества несбалансированного тепла, образующегося в ходе процесса и в расчете количества водяного конденсата, необходимого для снятия избытка тепла процесса синтеза МТБЭ. Количество вносимого в реактор или уносимого из реактора тепла определится по формуле
где Gi – расход i-го компонента, кг/с; Сpi – теплоемкость i-го компонента, кДж/(кг·град); ti – температура, °С.
Для углеводородных компонентов сырья и продуктов реакции теплоемкость определим по формуле
где 



– относительная плотность нефтепродукта. Значение 


определим по формуле
34
где 


- относительная плотность нефтепродукта при 20 °С. Является справочной величиной.
Значения плотностей углеводородных компонентов сырья представлены в таблице 3.5.
Таблица 3.5 – Плотности углеводородных компонентов сырья
Компонент |
Плотность, ρ420 |
Плотность, ρ1515 |
∑C3 |
0,5100 |
0,5162 |
Изобутан |
0,5573 |
0,5633 |
Н-бутан |
0,5789 |
0,5847 |
Бутен-1 + бутен-2 |
0,5945 |
0,6002 |
Изобутилен |
0,595 |
0,6007 |
∑C5 |
0,6262 |
0,6317 |
Диизобутилен |
0,7149 |
0,7199 |
Значения теплоемкости метанола, третбутанола и МТБЭ являются справочной величиной.
Потери тепла в реакторе принимаются равными 1 % от входящего тепла. Реакция синтеза МТБЭ протекает с выделением тепла. Тепловой эффект
реакции определяется по формуле
где НПРОД и НС – теплоты образования продуктов реакции и исходного сырья соответственно, кДж/моль.
Ввиду малой доли побочных реакций в ходе процесса их влиянием на тепловой эффект пренебрегаем. Теплоты образования метанола, изобутилена и МТБЭ приведены в таблице 3.6.
Таблица 3.6 – Теплоты образования компонентов
Компонент |
|
МТБЭ |
Метанол |
Изобутилен |
|
|
|
|
|
Теплота образования, |
кДж/моль |
-291 |
-201 |
-16,92 |
Таким образом, согласно реакции, по которой протекает процесс, тепловой эффект реакции составит
Мольное количество образовавшегося МТБЭ составит
Таким образом, количество тепла, выделившееся в ходе синтеза МТБЭ составит
Тепловой баланс реактора представлен в таблице 3.7.
Из таблицы 3.7 видно, что разность входящего и уходящего тепла равняется
35