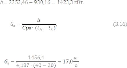
Количество воды, необходимой для снятия избытка тепла процесса, вычисляется по формуле:
где Срв – теплоемкость воды, принимается равной 4,187 кДж/(кг·К); tН и tК – начальная и конечная температура соответственно охлаждающей воды, °С; принимаем соответственно 20 и 40 °С.
Подставляя значения, получим
Таблица 3.7– Тепловой баланс реактора
Компонент |
Расход, |
Температура, °С |
Теплоемкость, |
Количество тепла, |
|
кг/с |
кДж/(кг·град) |
кДж/с |
|||
Приход |
|
|
|
|
|
∑C3 |
0,012 |
70,00 |
2,514 |
2,16 |
|
Изобутан |
0,049 |
70,00 |
2,406 |
8,26 |
|
Н-бутан |
0,294 |
70,00 |
2,362 |
48,64 |
|
Бутен-1 + бутен-2 |
0,907 |
70,00 |
2,331 |
148,02 |
|
Изобутилен |
1,187 |
70,00 |
2,330 |
193,54 |
|
∑C5 |
0,002 |
70,00 |
2,272 |
0,39 |
|
Свежий метанол |
0,638 |
70,00 |
2,610 |
116,51 |
|
Циркулирующий |
2,074 |
70,00 |
2,610 |
379,00 |
|
Вода |
0,002 |
70,00 |
4,187 |
0,53 |
|
Тепло реакции |
- |
- |
- |
1456,41 |
|
Итого |
5,166 |
|
|
2353,46 |
|
Расход |
|
|
|
|
|
МТБЭ |
1,754 |
70,00 |
2,511 |
308,20 |
|
Непрореагировавший |
2,074 |
70,00 |
2,610 |
379,00 |
|
метанол |
|||||
|
|
|
|
||
Непрореагировавший |
0,059 |
70,00 |
2,330 |
9,68 |
|
изобутилен |
|||||
|
|
|
|
||
∑C3 |
0,012 |
70,00 |
2,514 |
2,16 |
|
Изобутан |
0,049 |
70,00 |
2,406 |
8,26 |
|
Н-бутан |
0,294 |
70,00 |
2,362 |
48,64 |
|
Бутен-1 + бутен-2 |
0,907 |
70,00 |
2,331 |
148,02 |
|
∑C5 |
0,002 |
70,00 |
2,272 |
0,39 |
|
Изооктилен |
0,006 |
70,00 |
2,129 |
0,84 |
|
Третбутанол |
0,007 |
70,00 |
2,771 |
1,44 |
|
Потери |
- |
- |
- |
23,53 |
|
Итого |
5,166 |
|
|
930,16 |
|
|
|
36 |
|
|
3.2.3 Геометрические размеры реактора
Общий массовый расход сырьевой смеси равен (таблица 3.4) 18595,8 кг/ч. Объемный расход сырьевой смеси GОБ = 27,25 м3/ч. Требуемая объемная скорость подачи сырья в реактор синтеза составляет ω = 1,5 ч-1.
Таким образом, необходимый объем реакционной зоны вычисляется по формуле
|
V |
GoБ |
|
|
|||
|
|
|
|
||||
|
|
p |
w |
(3.17) |
|||
|
|
|
|
||||
V |
27,25 |
|
18,2м2 |
|
|||
|
|
|
|||||
p |
1,5 |
|
|
|
|
|
|
|
|
|
|
|
|
||
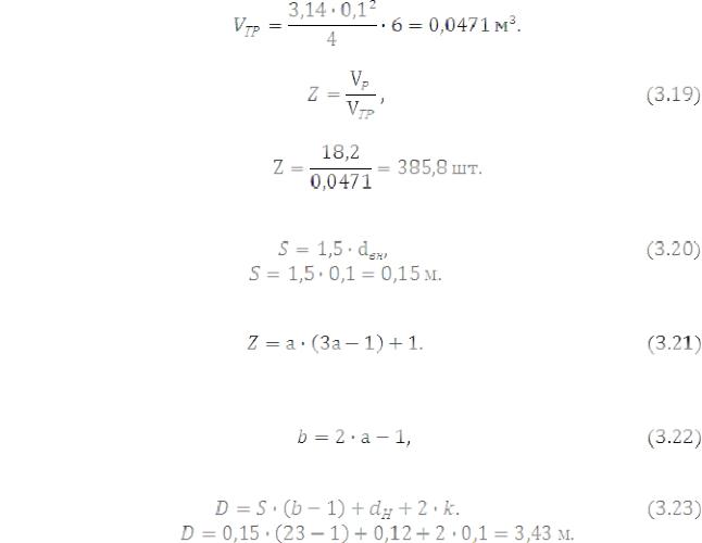
Принимаем шестиугольное расположение труб в реактор. Принимаем следующие параметры реактора:
-внутренний диаметр трубок dВН = 0,1 м;
-толщина стенок δ = 0,01 м;
-наружный диаметр трубок dН = 0,12 м;
-кольцевой зазор между крайними трубками и корпусом k = 0,01 м;
-длина трубок l = 6 м.
Схема размещения труб в решетке приведена на рисунке 3.2.
Рисунок 3.2 – Схема размещения труб в решетке реактора Объем одной трубки вычисляется по формуле
V |
3,14 d2 |
l. |
вн |
||
|
||
Tp |
4 |
(3.18) |
|
||
|
37 |
|
Необходимое количество трубок определяется по формуле
Примем с запасом количество трубок в реакторе равным Z = 400 штук. Шаг трубок определяется по формуле
Связь между числом трубок на стороне наибольшего шестиугольника (а) и общим числом трубок (Z) выражается соотношением
При количестве трубок Z = 400, а = 12,04, округляем до а = 12 шт. Число труб, расположенных на диагонали наибольшего шестиугольника,
определяется по формуле

















.
Диаметр аппарата вычисляется по формуле
Принимаем стандартное значение диаметра D = 3,5 м.
Уточненное значение кольцевого зазора между крайними трубками и корпусом с учетом нового значения диаметра реактора составит k = 0,03 м.
Список литературы
1 Танатаров М.А., Ахметшина М.Н., Фасхутдинов Р.А. и др. Технологические расчеты установок переработки нефти: учеб. пособие для вузов. – М.: Химия, 1987. – 352 с.
3 Сарданашвили А. Г., Львова А. И. Примеры и задачи по технологии переработки нефти и газа.-2-е изд., - М.: Химия, 1980. – 256с.
5Кузнецов А.А., Кагерманов С.М. и др. Расчеты процессов и аппаратов нефтеперерабатывающей промышленности. – Л.: Химия, 1974. – 343 с.
6Дубовкин Н.Ф. Справочник по теплофизическим свойствам углеводородных топлив и их продуктов сгорания. – М.-Л.: Госэнергоиздат,
1962. – 288 с.
7Флореа О., Смигельский О. Расчеты по процессам и аппаратам химической технологии. – М.: Химия, 1971. – 448 с.
8Батунер Л.М. Процессы и аппараты органического синтеза и биохимической технологии. - Л., Химия, 1966. – 520с.
38
9 Варгафтик Н.Б. Справочник по теплофизическим свойствам газов и жидкостей. - М.: Физматгиз, 1963. – 708с.
10Козлов Б.И. Процессы алкилирования изомеризации и полимеризации
внефтепереработке. – М.: Химия, 1990. – 65 с.
11Ахметов С.А. Технология глубокой переработки нефти и газа. –Уфа:
Гилем 2002. – 672 с.
12Мириманян А.А., Вихман А.Г., Мкртпычев А.Л. Нефтепереработка и нефтехимия. – 2006. - №4. - С. 22-31.
13Интернет-ресурс www.chemistry.ssu.samara.ru
14Кузора И.Е., Томин В.П., Микишев В.А. и др. Технологии производства компонентов современных автомобильных бензинов // Химия и технология топлив и масел. – 2008. - №2. - С. 33.
15Стыценко В.Д., Лавриненко А.А., Надра В.А. и др. Перспективы улучшения экологических и эксплуатационных свойств моторных топлив // Химия и технология топлив и масел. – 2008. - №5. - С. 52.
16Ахметов С.А., Ишмияров М.Х., Кауфман А.А. Технология переработки нефти, газа и твердых горючих ископаемых: учеб. пособие. – СПб.: Недра, 2009. – 832 с.
17Капустин В.М., Кукес С.Г., Бертолусини Р.Г. Нефтеперерабатывающая промышленность США и бывшего СССР. – М.: Химия, 1995. – 304 с.
18Интернет-ресурс http://www.bmcompany.ru/ru/products/bioethanol/field_ of_application401.html. Высоко-кислородные добавки (оксигенаты) к топливу.
|
СОДЕРЖАНИЕ |
|
|
Введение |
1 |
1 |
Расчет процесса алкилирования изобутана олефинами |
2 |
2 |
Расчет процесса изомеризации углеводородов |
18 |
3 |
Расчет процесса синтеза метил-трет-бутилового эфира (МТБЭ) |
27 |
Редактор М.Е. Галина
Подписано в печать 01.-8.11. Бумага офсетная. Формат 60х84 1/16. Гарнитура «Таймс». Печать трафаретная. Усл. печ. л. 2,4. Уч.-изд. л. 2,2. Тираж 60. Заказ .
Издательство Уфимского государственного нефтяного технического университета Адрес издательства:
450062, Республика Башкортостан, г. Уфа, ул. Космонавтов, 1
39