Материал: электив персонал Задачи для решения на ПЗ № 3

Внимание! Если размещение файла нарушает Ваши авторские права, то обязательно сообщите нам

Задача 1. В цехе фармацевтического предприятия, работающем в трехсменном режиме, находятся 60 аппаратов. Установленная для наладчиков норма обслуживания составляет 10 аппаратов на одного человека. Планируемые для наладчиков невыходы на работу составляют 10%.

Определить явочную и списочную численность наладчиков.

Решение: Расчет ведется методом с использованием нормы обслуживания. Явочная численность:

Чяв = = = 18 чел,

где Чапп – число аппаратов, Чапп = 60 апп;

n – количество смен, n = 3;

Нобсл – норма обслуживания, Нобсл = 10 апп.

Списочная численность:

Чсп = Чяв х Ксп, где

Ксп – коэффициент пересчёта явочной численности в списочную;

Ксп = 1 + = 1 + 10/100 = 1,1

Чсп = 18 * 1,1 = 19,8 ≈ 20 чел.

Ответ: явочная численность – 18 человек, списочная – 20 человек.

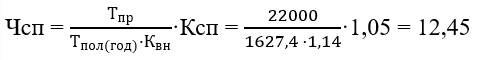
Задача 2. В плановом году технологическая трудоемкость производственной программы цеха по производству инфузионных растворов фармацевтического предприятия составит 22000 нормо-часов. Условия труда в данном цехе вредные. Планируемые невыходы на работу производственных рабочих равны 5%, а предполагаемое выполнение ими норм должно составить 114%.

Определить требуемую в плановом году списочную численность производственных рабочих цеха по производству инфузионных растворов фармацевтического предприятия.

Решение: Расчет списочной численности ведется методом с использованием трудоемкости производственной программы:

, где

Тпр – технологическая трудоемкость производственной программы, Тпр = 22000 нормо-часов;

Квн – коэффициент выполнения норм времени рабочим, Квн = 114% = 1,14;

Ксп – коэффициент пересчета явочной численности в списочную.

Ксп = 1 + = 1 + 5/100 = 1,05

Тпол(год) – полезный фонд времени одного рабочего в год.

Для вредных условий норма рабочего времени в неделю (смену) 36 (7,2) часов, а полезный фонд времени одного рабочего в год 1627,4 часа.

Тсокр.раб.дня = 7

Тпол(год) = 227*7,2 – 7 = 1627,4 часов

или 13 чел.

Ответ: списочная численность равна 13 человек.

Задача 3. В цехе по приготовлению растворов для инъекций и инфузий фармацевтического предприятия установлено 8 аппаратов. Характеристика и продолжительность выполнения работ по обслуживанию аппаратов приведены в таблице:

Виды работ по обслуживанию аппарата

Время выполнения

операции, мин

Количество операций

за смену

Настройка аппарата

10

7

Загрузка

5

2

Контроль технологического процесса

40

3

Выгрузка

5

2

Очистка

30

2

Коэффициент сменности работы оборудования Ксм = 1,18, коэффициент пересчета явочной численности в списочную Ксп =1,1, время на дополнительные операции по обслуживанию аппаратов – 1,2 часа, потери рабочего времени в течение смены – 0,6 часов, условия труда вредные.

Используя приведенные данные, определить списочную численность производственных рабочих цеха по приготовлению растворов для инъекций и инфузий фармацевтического предприятия.

Решение: Расчет списочной численности ведется методом с использованием норм обслуживания:

, где

Чапп = 8; Ксп = 1,1; Ксм = 1,18;

Нобсл – норма обслуживания:

Нобсл = = = 1,158

tедi – время необходимое для выполнения одной операции по i-ому виду работ, часы;

npi – количество операций по i-ому виду работ, выполняемых за рабочую смену;

Тд = 1,2 ч – время необходимое для выполнения дополнительных работ;

n = 5 – количество видов работ по обслуживанию оборудования.

Потери раб. времени в теч. смены – 0,6 ч, условия вредные:

Тпол = 227·6,6 – 7 = 1491,2 ч.

Отсюда:

Чсп = = = 8,97 или 9 чел.

Ответ: списочная численность равна 9 человек.

Задача 4. Фармацевтическое предприятие состоит из трех производственных цехов, к которым относятся цех синтеза лекарственных субстанций, таблеточный цех и цех по производству инфузионных растворов. Значения ряда показателей, характеризующих некоторые особенности функционирования указанных цехов в плановом году, представлены ниже в таблице:

Наименование цеха фармацевтического предприятия

Технологическая трудоемкость производственной программы цеха, нормо-часы

Планируемые невыходы основных рабочих цеха на работу, %

Выполнение норм времени основными рабочими цеха, %

1. Цех синтеза лекарственных субстанций

210000

7,5

112,5

2. Таблеточный цех

155000

6,8

110,4

3. Цех по производству инфузионных растворов

168000

6,2

116,8

Условия труда во всех цехах являются вредными.

Определить требуемую в плановом году списочную численность основных производственных рабочих в каждом из трех цехов и на фармацевтическом предприятии в целом.

Решение: Расчет списочной численности ведется методом с использованием трудоемкости производственной программы:

, где

Тпр – технологическая трудоемкость производственной программы,

Тпр1 = 210 000 нормо-часов;

Тпр2 = 155 000 нормо-часов;

Тпр3 = 168 000 нормо-часов;

Квн – коэффициент выполнения норм времени рабочим,

Квн1 = 112,5% = 1,125;

Квн2 = 110,4% = 1,104;

Квн3 = 116,8% = 1,168;

Ксп – коэффициент пересчета явочной численности в списочную.

Ксп = 1 +

Ксп1 = 1 + 7,5/100 = 1,075

Ксп2 = 1 + 6,8/100 = 1,068

Ксп3 = 1 + 6,2/100 = 1,062

Тпол(год) – полезный фонд времени одного рабочего в год.

Для вредных условий норма рабочего времени в неделю (смену) 36 (7,2) часов, а полезный фонд времени одного рабочего в год 1627,4 часа.

Тсокр.раб.дня = 7

Тпол(год) = 227*7,2 – 7 = 1627,4 часов.

Чсп1 = = 123,3 ≈ 124 чел.

Чсп2 = = 92,1 ≈ 93 чел.

Чсп3 = = 93,9 ≈ 94 чел.

Чсп.общ = Чсп1 + Чсп2 + Чсп3 = 124 + 93 + 94 = 311 чел.

Ответ: списочная численность в цехе синтеза лекарственных субстанций составила 124 человека, в таблеточном цехе – 93 человека, в цехе по производству инфузионных растворов – 94 человека, а на фармацевтическом предприятии в целом – 311 человек.

Задача 5. В отчетном году в цехе по производству антибиотиков фармацевтического предприятия технологическая трудоемкость производственной программы, на основе которой устанавливается списочная численность основных производственных рабочих, составляла 124300 нормо-часов. В этом цехе условия труда являются вредными, планируемые невыходы основных рабочих на работу равны 4,2%, а нормы времени в среднем выполняются на 114,2%. В соответствии с утвержденными в цехе по производству антибиотиков трудовыми нормативами установлено, что оптимальное соотношение между списочной численностью основных, вспомогательных и прочих рабочих составляет соответственно 80% : 16% : 4%, а общее количество рабочих (основных, вспомогательных и прочих) должно быть равным 70% от списочной численности всего промышленно-производственного персонала данного цеха. В плановом году в результате совершенствования технологии производства, замены физически изношенных и морально устаревших видов оборудования на новую и высокопроизводительную технику и более полной загрузки имеющихся производственных мощностей в цехе по производству антибиотиков технологическая трудоемкость производственной программы должна уменьшиться на 5,5%.

Определить списочную численность промышленно-производственного персонала цеха по производству антибиотиков фармацевтического предприятия в отчетном и плановом годах, а также ее абсолютное и относительное изменение за рассматриваемый период времени.

Решение: Расчет списочной численности ведется методом с использованием трудоемкости производственной программы:

, где

Тпр.отч – технологическая трудоемкость производственной программы в отчетном году, Тпр.отч = 124 300 нормо-часов.

Квн – коэффициент выполнения норм времени рабочим, Квн = 114,2% = 1,142.

Ксп – коэффициент пересчета явочной численности в списочную:

Ксп = 1 + = 1 + 4,2/100 = 1,042.

Для вредных условий норма рабочего времени в неделю (смену) 36 (7,2) часов, а полезный фонд времени одного рабочего в год 1627,4 часа.

Тсокр.раб.дня = 7

Тпол(год) = 227*7,2 – 7 = 1627,4 часов.

В отчетном году:

Чсп.осн.раб = = 69,7 ≈ 70 чел.

Чсп.осн.раб. : Чсп.вспом.раб. : Чсп.проч.раб. = 80 : 16 : 4, следовательно:

Чсп.вспом.раб. = 16*(70/80) = 14 чел;

Чсп.проч.раб. = 4*(70/80) = 3,5 ≈ 4 чел.

Чсп.общ.раб. = Чсп.осн.раб.+Чсп.вспом.раб.+Чсп.проч.раб. = 70 + 14 + 4 = 88 чел.

Чсп.пром.произв.перс. = 100*(88/70) = 125,7 ≈ 126 чел.

В плановом году:

Тпр.план – планируемая технологическая трудоемкость производственной программы:

Тпр.план = Тпр.отч – 5,5% = Тпр.отч*0,945 = 124 300*0,945 = 117 463,5 нормо-часов.

Чсп.осн.раб = = 65,9 ≈ 66 чел.

Чсп.осн.раб. : Чсп.вспом.раб. : Чсп.проч.раб. = 80 : 16 : 4, следовательно:

Чсп.вспом.раб. = 16*(66/80) = 13,2 ≈ 14 чел;

Чсп.проч.раб. = 4*(66/80) = 3,3 ≈ 4 чел.

Чсп.общ.раб. = Чсп.осн.раб.+Чсп.вспом.раб.+Чсп.проч.раб. = 66 + 14 + 4 = 84 чел.

Чсп.пром.произв.перс. = 100*(84/70) = 125,7 ≈ 120 чел.

Абсолютное изменение рассчитывается как разность значения списочной численности за отчетный и плановый год:

∆абс. = Чсп.отч – Чсп.план = 126 – 120 = 6 чел.

Относительное изменение рассчитывается как отношение показателя списочной численности отчетного года к показателю планового года:

∆отн = Чсп.отч/Чсп.план = 126/120 = 1,05 или 105%.

Ответ: списочная численность промышленно-производственного персонала в отчетном году – 126 человек, в плановом году – 120 человек, ее абсолютное изменение равно 6 человек, т.е. по сравнению с отчетным годом численность персонала уменьшилась на 6 человек.