Материал: Эластичность спроса по доходу

Внимание! Если размещение файла нарушает Ваши авторские права, то обязательно сообщите нам

Эластичность спроса по доходу

Содержание

Введение

. Эластичность спроса по доходу

. Кривые Энгеля

Заключение

Список использованных источников

Введение


В связи с тем, что практически вся экономика строиться на взаимодействии спроса и предложения, в микроэкономике большое внимание уделяется исследованию теории потребительского спроса. Обладая знаниями о фундаменте этой науки, можно увереннее исследовать сложные и более противоречивые явления. Кроме того, теория потребительского спроса помогает анализировать и предугадывать выбор потребителя при изменении тех или иных условий, что позволяет фирмам, нацеленным на увеличение собственной прибыли, функционировать эффективнее. Особенно важным становиться умение анализировать поведение потребителя в свете развивающегося экономического кризиса. В условиях кризиса, с одной стороны приходиться проводить более активную и гибкую политику фирмы в связи с изменениями факторов производства, а с другой, более важной, требуется точно знать, как кризис отразиться на предпочтениях потребителя и успеть вовремя и правильно отреагировать. Так как во время кризисных явлений меняется доход покупателей и именно из-за этого меняется потребление товаров и услуг, помочь анализу могут кривые Энгеля.

Актуальность данной работы состоит в том, что она может дать практический навык построения и дальнейшего исследования кривых Энгеля для изучения изменений спроса, а так же помочь в изучении потребительского спроса в зависимости от изменения дохода.

Цель настоящей работы состоит в отражении сущности эластичности спроса по доходу и кривых Энгеля.

Для достижения сформулированной цели необходимо решить следующие задачи:

рассмотреть сущность эластичности спроса по доходу;

показать формулы расчета коэффициентов эластичности спроса по доходу;

изучить сущность кривых Энгеля, показать алгоритм их построения.

Структура работы включает в себя введение, два раздела, заключение, список использованных источников.

Объектами исследования являются эластичность спроса по доходу и кривая Энгеля.

Предметом исследования является практическое применение эластичности спроса по доходу и кривой Энгеля.

Во введении дается общая характеристика контрольной работы: актуальность, цель, задачи исследования.

В первом разделе рассматривается эластичность спроса по доходам, позволяющая оценить влияние данного показателя на спрос. Приводятся формулы расчета коэффициентов эластичности спроса по доходу на нормальные и инфериорные товары, товары первой необходимости и предметы роскоши.

Во втором разделе рассматривается сущность кривых Энгеля, а также дается графическое представление кривых Энгеля для нормального товара, инфериорного блага, и для товаров, потребление которых не зависит от уровня дохода.

В заключении содержится выводы, сделанные в процессе исследования.

1. Эластичность спроса по доходу


Существенное значение на эластичность спроса оказывает доход потребителей.

Для рассмотрения воздействия денежного дохода на спрос необходимо выделить две группы товаров: товары высшей категории (нормальные товары) и товары низшей категории.

Рисунок 1 - Изменение и спроса на нормальные товары и товары низшей категории

Большинство товаров относится к категории товаров высшей категории (нормальные блага) - автомобили, электротехника, недвижимость, новая одежда, высококачественные продукты питания и т.д. Спрос на данные товары изменяется в прямой зависимости от изменения денежного дохода.

К категории товаров низшей категории (инфериорные блага) можно отнести такие товары, как хлеб, картофель, макароны, подержанные вещи. Спрос на эти товары изменяется в обратной зависимости от изменения денежного доход.

Мера реакции одной величины на изменение другой называется эластичностью.

Эффект влияния изменения дохода на величину спроса измеряется эластичностью спроса по доходу.

Эластичность спроса по доходу представляет собой степень изменения величины спроса в зависимости от изменения дохода покупателей при прочих равных условиях [1, с. 94].

Коэффициент эластичности спроса по доходу показывает, на сколько процентов изменится объем спроса на товар при однопроцентном изменении величины дохода домохозяйств.

Коэффициент эластичности спроса по доходу используется при исчислении потребительской корзины, определении структуры потребления людей с различным уровнем доходов, расчетах степени изменения потребления того или иного блага при изменении уровня дохода и т. д.

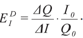
Эластичность спроса по доходу рассчитывается как:

          (1)

(англ., income) - обозначим доходы покупателей.

                                                                     (2)

Это точечный коэффициент эластичности спроса по доходу (используется при небольших изменениях дохода). Коэффициент эластичности спроса по доходу может быть выражен через производную от функции спроса:

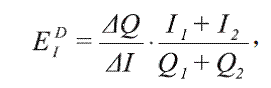
Когда рассматриваемые изменения ΔQ и ΔI оказываются значительными, значения коэффициента эластичности при использовании начальных и конечных величин спроса и дохода могут существенно расходиться. Тогда лучше определять дуговую эластичность:

                                                 (3)

где I1 - первоначальный доход,- конечный доход,- первоначальный объем спроса,- конечный объем спроса.

Как ранее отмечалось, большинство товаров относятся к категории нормальных товаров: увеличение дохода приводит к росту спроса на них. Так как объем спроса и доход изменяются в одном направлении, для нормальных товаров характерна положительная эластичность по доходу:

                  (4)

Некоторые товары, такие как маргарин, относятся к инфериорным товарам: увеличение дохода потребителей ведет к уменьшению спроса на них. Для инфериорных товаров объем спроса и доход изменяются в разных направлениях. Инфериорные товары характеризуются отрицательной эластичностью по доходу:

                (5)

Кроме того, для разных нормальных товаров эластичность по доходу существенно различается. Товары первой необходимости, такие как продукты питания, характеризуются низкой эластичностью по доходу, так как потребители, вне зависимости от размеров доходов, вынуждены приобретать их. Предметы роскоши, такие как драгоценности, характеризуются высокой эластичностью по доходу, так как при снижении доходов потребители с легкостью могут отказаться от покупки столь дорогих товаров.

           (6)

                    (7)

Таким образом, нормальные блага имеют положительную эластичность спроса по доходу. Товары низшей категории (их называют также худшими, или малоценными, или низшими благами) имеют отрицательную эластичность спроса по доходу. Товары высшей категории, или предметы роскоши, имеют эластичность спроса по доходу больше единицы.

Рыночные эксперименты и опросы обычно используются фирмами, чтобы получить информацию о том, как реагирует объем спроса на изменение цены и других факторов спроса.

Вопросы покупателям об их доходах могут быть использованы, чтобы осуществлять рекламные кампании в тех средствах массовой информации, которые смотрят, слушают или читают лица, вероятнее всего не желающие купить данный товар.

Недостаток этого метода в том, что действительные результаты могут и не совпасть с ответами на вопросы. Есть также трудности в получении представительной выборки. Если выборка не представительна, то результаты будут малополезны.

Самые хитроумные методы установления функции спроса предполагают использование статистики. Статистические методы - это способы интерпретации собранных данных, таких как цены и количества продаваемых товаров.

Первый шаг, который требуется, чтобы установить функцию спроса статистическим методом, это выделение переменных и причинно-следственных связей между ними. Например, исследователь может выдвинуть гипотезу, что объем покупок товара Х зависит от его цены - Р, цены на комплиментарный товар - Pc, цены на заменитель - Ps и среднего потребительского дохода - I. После этого необходимо предположить, как объем покупок товара Х в месяц - Qx зависит от его цены и других факторов. Можно, например, предположить линейную зависимость.

Это означает, что функция спроса может быть выражена следующим линейным уравнением:

                                          (8)

Буквы a, b, c, d,e называются коэффициентами спроса. Они показывают, насколько изменится Qx при каждом изменении переменной. Например, коэффициент переменной I говорит, что на каждый доллар изменения в доходе потребителя объем покупок товара X изменится на b единиц.

Когда коэффициенты оценены, предположения об их знаках (плюс или минус) могут быть приняты или отвергнуты.

На рисунке 2 показаны оценки некоторых эластичностей спроса по доходу для США. Для товаров первой необходимости, таких как продукты питания и одежда, спрос по доходу неэластичен, тогда как блага высшей категории, такие как авиа полеты или зарубежные путешествия, имеют эластичный спрос по доходу.

Что является товарами первой необходимости, а что относится к предметам роскоши, зависит от уровня дохода. Для людей с низким доходом пища и одежда могут быть предметами роскоши.

Поэтому уровень дохода является фактором, влияющим на эластичность спроса по доходу.

Рисунок 3 демонстрирует влияние эластичности спроса по доходу на примере эластичности спроса на продукты питания по доходу для 20 стран. В странах с низким уровнем дохода, таких как Танзания и Индия, эластичность спроса по доходу высокая, тогда как для стран с высоким уровнем доходов, таких как США, низкая. Рост дохода на 10% вызывает возрастание спроса на продукты питания в Индии на 7.5%, тогда как в США только на 10%.

Рисунок 2 - Некоторые реальные оценки эластичности спроса по доходу

Рисунок 3 - Эластичности спроса на продукты питания в 20 странах

Таким образом, подводя итог, можно сделать следующие выводы:

показатель эластичности представляет собой коэффициент, характеризующий степень наклона кривых спроса, то есть степень реакции потребителей зависимости от изменения какой‐либо величины.

коэффициент эластичности спроса по доходу показывает, на сколько процентов изменится объем спроса на товар при изменении дохода покупателя на 1%.

Значение коэффициента эластичности спроса по доходу трудно переоценить. Экономисту он говорит о многом. Чем выше коэффициент эластичности по доходу, тем быстрее развивается данная отрасль экономики, тем перспективнее она считается. Более того, от этой, с виду рядовой и скромной категории порой зависит судьба развития государств и народов.

2. Кривые Энгеля


Понятие кривых Энгеля появилось в XIX веке. Изучая структуру бюджетов рабочих семей, Эрнст Энгель вывел несколько видов кривых, которые сейчас экономической литературе носят название «кривых Энгеля, и представляют собой функциональную зависимость равновесного объема потребления от дохода потребителя.

Кривые Энгеля показывают величину расходов на товары в зависимости от роста дохода и полезны при определении степени влияния на спрос дохода и изменений относительных цен.

Кривая Энгеля выводится из кривых «доход - потребление», и представляет собой соотношение между денежным доходом покупателя и количеством приобретенного товара. На рисунке 4(б) представлена кривая Энгеля - графическое представление спроса на одно из благ как функции от дохода при неизменности цен всех благ из потребительского набора и при прочих равных условиях.

Рисунок 4 - Кривая Энгеля

Кривая Энгеля строится путём перенесения оптимальных значений с верхнего графика на нижний.

На рисунке 5 графически изображена кривая Энгеля для нормального товара. Точки А, В и С соответствуют точкам равновесия Е1, Е2 и Е3, перенесенным с графика кривой «доход - потребление». Путем соединения всех точек, соответствующих различному доходу и связанному с ним равновесному объему покупок товара Х получается Кривая Энгеля.

Для нормального товара Кривая Энгеля имеет положительный наклон, в связи с тем, что рост дохода всегда ведет к увеличению объема потребления данного товара. Нормальные товары подразделяются на товары роскоши, а также на товары первой и второй необходимости [2, с. 151].

Рисунок 5 - Кривая Энгеля для нормального товара

На рисунке 6, в виде графика, представлена кривая Энгеля для инфериорного блага (товара низкого качества). Как видно из графика, первоначально, при низких уровнях дохода, потребитель увеличивал спрос на первое благо с увеличением дохода, то есть сначала оно было нормальным. Но, начиная с некоторого уровня дохода потребитель сокращает потребление первого блага и тратит свой возросший доход на наиболее ценные, с точки зрения покупателя, товары и работы (услуги).

эластичность спрос энгель алгоритм

Рисунок 6 - кривая Энгеля для инфериорного блага

Если отношение предпочтения потребителя оказывается квазилинейным, то кривая Энгеля представляется вертикальной линией.

Экономический смысл квазилинейности заключается в том, что потребление определенного товара не зависит от величины дохода. Потребитель продолжает потреблять одно и то же количество этого товара, как при увеличении, так и при снижении дохода (рисунок 7).

Рисунок 7 - Кривая Энгеля для товаров, потребление которых не зависит от уровня дохода

Таким образом, кривые Энгеля отражают лишь часть вариантов выбора потребителя, т.к. они показывают возможные изменения расходов на покупку определенных товаров и услуг только при изменении доходов.

Используя данное свойство кривых Энгеля, можно предугадывать поведение потребителя.

В случае, если требуется построить для дальнейших исследований сами кривые, можно пойти обратным путем - основываясь на информации об изменениях в доходе потребителя и его расходах, вычертить новые графики.

Заключение


На основании результатов работы можно сделать следующие выводы:

Эффект влияния изменения дохода на величину спроса измеряется эластичностью спроса по доходу. Подобно любой эластичности, это - отношение двух процентных изменений; в данном случае - процентного изменения количества к процентному изменению дохода. Блага на нормальные, товары низшей категории и товары высшей категории в зависимости от величины эластичности спроса по доходу. Нормальные блага положительную эластичность спроса по доходу. Товары низшей категории (их называют также худшими, или малоценными, или низшими благами) имеют отрицательную эластичность спроса по доходу. Товары высшей категории, или предметы роскоши, имеют эластичность спроса по доходу больше единицы.