Материал: el_lab3

Внимание! Если размещение файла нарушает Ваши авторские права, то обязательно сообщите нам

P1 = f(P2):

Механическая характеристика n = f(MT):

Выводы:

Регулировочная характеристика асинхронного двигателя n = f(f) представляет собой возрастающую линейную зависимость.

Рабочие характеристики:

n = f(P2) представляет собой убывающую зависимость, близкую к линейной;

MТ = f(P2), s = f(P2), η = f(P2) представляют собой возрастающие зависимости, близкие к линейным;

Iл = f(P2), P1 = f(P2) представляют собой зависимости, близкие к квадратичным;

cos φ = f(P2) представляет собой зависимость сложного вида.

Механическая характеристика n = f(MT) представляет собой убывающую зависимость, близкую к линейной.

6

Часть 2

Испытание генератора постоянного тока

Цель работы: Ознакомиться с устройством, принципом действия, основными характеристиками и методами испытаний генераторов постоянного тока.

Паспортные данные генератора постоянного тока:

Наименование параметра

Значение

 

 

Тип

ПЛ-062

 

 

Мощность, Вт

90

 

 

Номинальное напряжение питания обмотки якоря, В

220

 

 

Номинальное напряжение питания обмотки возбуждения, В

220

 

 

Номинальная частота вращения, об/мин

1500

 

 

Номинальный ток якоря, А

0,76

 

 

КПД, %

57

 

 

Масса, кг

4,4

 

 

Схема для снятия характеристики холостого хода генератора с независимым возбуждением:

Еост=4,1 В

7

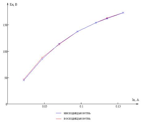
Результаты снятия характеристики холостого хода генератора с независимым возбуждением представлены в таблице 1.

Таблица 1

Iв, А

0,022

0,047

0,07

0,095

0,12

0,135

0,157

 

 

 

 

 

 

 

 

Eявозр, В

46,6

87,8

113

137

154

163

173

 

 

 

 

 

 

 

 

Eяубыв, В

45

85

114

137

154

162

173

 

 

 

 

 

 

 

 

Характеристика холостого хода генератора с независимым возбуждением Ея = f(Iв):

8

Схема для снятия внешней характеристики генератора с параллельным возбуждением:

Результаты снятия внешней характеристики генератора с параллельным возбуждением представлены в таблице 2.

Таблица 2

U, В

139

126

113

96

79

66,5

50

 

 

 

 

 

 

 

 

I, А

0,111

0,16

0,23

0,29

0,33

0,34

0,36

 

 

 

 

 

 

 

 

Внешняя характеристика генератора с параллельным возбуждением U = f(I):

9

Результаты снятия внешней характеристики генератора с независимым возбуждением представлены в таблице 3.

Таблица 3

U, В

138

131

123

113

103

92

80

 

 

 

 

 

 

 

 

I, А

0

0,077

0,156

0,254

0,351

0,446

0,55

 

 

 

 

 

 

 

 

Внешняя характеристика генератора с независимым возбуждением U = f(I):

Выводы:

Из характеристики холостого хода генератора независимого возбуждения Ея = f(Iв) видно, что график представляет собой часть петли гистерезиса, находящуюся в первом квадранте.

Из внешних характеристик генератора с параллельным возбуждением U = f(I) и генератора с независимым возбуждением U = f(I) видно, что вторая характеристика имеет убывающий линейный характер, в то время, как первая имеет вид ниспадающей кривой.

10